Preprint
Review

This version is not peer-reviewed.

Assessing Seismic Vulnerability Methods for RC-Frame Buildings in Pre- and Post-Earthquake

A peer-reviewed article of this preprint also exists.

Submitted:

14 September 2024

Posted:

16 September 2024

You are already at the latest version

Abstract
In metropolitan regions, which are particularly vulnerable to seismic damage, numerous reinforced concrete (RC) buildings are being constructed. Public safety has been an important consideration to safeguard and protect people, buildings, and infrastructure from the potential effects of earthquakes. The assessment of seismic vulnerability within urban areas encompassed an analysis of both building vulnerability and the scale of seismic hazards prevalent in the locality. This assessment aimed to ascertain the likelihood of building damage resulting from ground motion induced by an earthquake of a specific magnitude. In recent decades, considerable efforts have been made to develop and improve methods for assessing earthquake damage to reinforced concrete (RC) buildings. These efforts included the creation of seismic hazard and seismic risk indices that were used to quantify the potential destruction of individual building components or the entire building. This scholarly review article presents an in-depth analysis and concise summary of the primary techniques (including qualitative or empirical, quantitative, analytical, and experimental test methods) devised for appraising the seismic vulnerability of reinforced concrete frame buildings, pre- and post-earthquake occurrences. It is a valuable reference for policymakers, engineers, researchers, and specialists engaged in earthquake risk mitigation efforts.
Keywords: 
;  ;  ;  ;  ;  ;  

1. Introduction

Ancient civilizations, including the Greeks, Chinese, and Romans, had already begun to observe and record seismic activity before the advent of modern scientific methods in recent decades [1]. Although the destructive potential of earthquakes was acknowledged, the level of scientific knowledge required to assess the associated risk was insufficient [2]. Damage inflicted by natural disasters such as earthquakes has increased significantly on a global scale in recent decades [3,4,5]. The 2008 Sichuan earthquake was distinguished by its extensive economic devastation and substantial human casualties [6,7,8,9,10,11,12,13]. This seismic activity caused the displacement of over 17,923 individuals and claimed the lives of approximately 69,226 individuals. In addition, approximately 124 billion U.S. dollars were directly affected economically.
The 2011 Tohoku earthquake in Japan resulted in significant economic devastation amounting to $140 billion, in addition to 20,475 fatalities and the displacement of 1.108 million individuals [14,15,16,17,18,19]. The Van earthquake in 2011 incurred a financial loss of 2.2 billion dollars for Turkey [20,21,22,23,24], whereas the Sikkim earthquake in India was estimated to have caused a loss of 1.7 billion dollars in the same year [25,26,27,28]. The 2015 Gorkha earthquake and its strong aftershocks have caused severe destruction of lives and property near the epicenter in Barpak, Gorkha [29,30,31,32,33,34]. The total impact of the main quake and subsequent aftershocks caused over 9,000 deaths, more than 22,000 injuries, and the destruction of 500,000 buildings. The Northridge earthquake that occurred in 1994 in California, United States [35,36,37,38,39,40,41,42,43,44], caused an estimated $14 billion in insured earthquake loss, the highest sum ever recorded.
Although the financial ramifications of economic losses in other regions may be considerably diminished in comparison to Japan and the United States, the effect on the domestic economy may be more substantial [45]. Seismologists have shown significant interest in the seismic evaluation of existing buildings and infrastructure, primarily due to the documented vulnerability and suboptimal performance observed on a global scale over the past decade. As a result, an increasing focus has been placed on the assessment of seismic vulnerability of buildings via the enhancement of assessment methodologies [46,47,48,49,50,51,52,53,54]. Seismology distinguished itself as a scientific discipline during the late 18th and early 19th centuries by achieving notable progress [55]. The Modified Mercalli Intensity Scale (MMI) was a measure of intensity that aided in the comprehension of the environmental and building effects of earthquakes [56].
The evaluation methods utilized for a specific structure are contingent upon a multitude of parameters or factors [57] and typically determined evaluation protocols for a specific building. The parameters under consideration pertained directly to the building system, encompassing aspects such as seismic capacity, soil characteristics, regularity in plan and height, and limitations in field data collection. These attributes contributed to a detailed representation or an accurate estimation of the building system’s response. The differentiation between building integrity and safety resulting from seismic degradation became apparent through the implementation of building code policies following significant seismic events. The criteria about the building framework, seismic resilience, soil conditions, vertical and horizontal uniformity, and the field data collection process, all of which are subjected to specific limitations. Their objective was to accurately portray or estimate the building system’s behavior.
Put differently, they evaluated the likelihood of encountering significant losses over a specified timeframe due to seismic hazards. As an economic indicator, these losses are quantified and must be incorporated into the building integrity evaluation before any seismic event. Indirect recognition of the variation in building safety and integrity caused by earthquake deterioration is achieved via construction identification methodologies, which are commonly applied in the aftermath of significant seismic incidents. In addition to being essential for risk mitigation strategies, the development of a damage model for a particular region was valuable for predicting the financial repercussions of future earthquakes. For a national authority’s emergency response and disaster preparedness, a damage prediction model able to estimate the impact on the built environment and essential infrastructure in each scenario (e.g., a large historical earthquake) could be of the utmost importance [58]. To determine the extent and severity of damage, post-earthquake protection mitigation strategies typically consisted of a thorough visual inspection, in-depth building evaluations, and nondestructive testing techniques. Field survey inspections yielded significant insights into the performance of buildings, encompassing the detection of potentially hazardous areas, frail components, and building irregularities [59,60,61].
The exploration into the seismic vulnerability of reinforced concrete (RC) frame buildings encompassed several key objectives: (1) to evaluate the seismic susceptibility of reinforced concrete (RC) frame buildings. This involved conducting a thorough analysis of their seismic response, potential building degradation, and the likelihood of various levels of damage. Professionals and engineers sought to comprehend these susceptibilities to enhance safety and reduce potential dangers for occupants and buildings. (2) to mitigate the potential for fatalities and property damage caused by seismic activity. The subject matter at hand pertained to retrofitting mitigation strategies. As a result, the evaluation of building susceptibility to seismic activity has emerged as a significant area of focus due to the advancements in seismic assessment methodologies. Seismic investigation and assessment were a crucial component of any crisis management program. The hazard assessment identified potential susceptibilities to seismic hazards that may arise during the relief phase and contributed to the development of emergency preparations [62,63,64].
However, it is crucial to incorporate comprehensive vulnerability into a standardized quantitative assessment framework when contemplating it. To predict damage, researchers have developed a range of methodologies for evaluating the building integrity, capacity, and response characteristics of buildings that are susceptible to seismic activity. These methodologies fall into three primary categories: experimental, analytical, or quantitative, and empirical or qualitative methods.
Empirical or qualitative vulnerability methods, such as nonlinear static and dynamic analyses, facilitated comprehensive modeling of building behavior when subjected to fluctuating levels of ground motion intensity. Furthermore, these methods employed the extent of damage as a means of inquiry to gather data on post-event building damage that was derived from statistical investigations. Analytical or quantitative methods, such as probabilistic seismic hazard analysis and fragility analysis, utilized limit states and mechanical properties or quality of the buildings to generate information regarding the likelihood and severity of damage in the event of seismic hazard scenarios. Experimental testing methods, including laboratory experiments and tremble table tests, provided valuable data that could be utilized to validate and enhance the accuracy of analytical and numerical models.
This review article comprehensively examined and investigated experimental, analytical, quantitative, empirical, or qualitative testing methodologies employed for assessing the seismic vulnerability of reinforced concrete (RC) frame buildings. Through a comparative analysis of methodologies employed before and following an earthquake, policymakers, experts, engineers, and scholars may acquire significant knowledge regarding the significance, constraints, and potential of analytical or quantitative and empirical or quantitative and experimental methods. Ultimately, this knowledge can contribute to enhancing urban infrastructure in regions susceptible to earthquakes [65]. These methods are broadly classified into three main categories: empirical or qualitative, analytical, or quantitative, and experimental methods presented in Figure 1.

2. Methodologies

It is undeniable that regions with high levels of seismic activity have suffered significant economic and human losses because of buildings collapsing and massive damage. The insufficient seismic performance of these buildings can be attributed to various issues, such as failure to comply with building codes about seismic activity during construction, lax adherence to construction methods, and the use of inferior materials. Ensuring the availability of necessary resources and tools to minimize the impact of earthquakes is crucial for advancing our understanding and assessment of seismic risk.
This section explores the introduction of three efficient methods for assessing the seismic susceptibility of reinforced concrete (RC) frame buildings, both pre-and post-earthquake events: analytical or quantitative, experimental, and empirical or qualitative methods. This review paper aims to clarify the advantages, disadvantages, and possible synergies of different methods of seismic vulnerability assessment by thoroughly analyzing empirical, qualitative, analytical, and experimental methods. To effectively improve the ability of reinforced concrete buildings to withstand earthquakes and reduce the negative impacts on urban infrastructure and communities, it is crucial to fully understand the advantages and disadvantages of each method.

2.1. Empirical or Qualitative Method

Contemporary research often focuses on discussing empirical or qualitative methodologies such as damage probability matrices (DPMs), vulnerability index techniques, continuous vulnerability curves, and rapid visual screening methods [66]. The field of earthquake engineering and seismic risk evaluation has a strong historical foundation that dates to the early 1970s. During this time, empirical or qualitative methodologies were developed and refined, mostly using macroseismic intensities as a basis. The understanding of how buildings respond to seismic forces was mostly derived from anecdotal knowledge and observations of past earthquakes, as there were few systematic studies or extensive databases documenting earthquake-related damage.
The seismic event known as the San Fernando earthquake, which took place in California in 1971, played a pivotal role in shaping and progressing empirical or qualitative methodologies within the field [67]. The collection of comprehensive damage data after the disaster led to remarkable progress in understanding the response of different building types and construction methods to seismic loads. After major earthquakes, conducting damage surveys became a common practice that provided important insights into building performance, infrastructure, and vital services [68].
Today, empirical, or qualitative methods have become an indispensable part of seismic risk assessment and are used alongside sophisticated engineering assessments and numerical simulations. They helped to improve disaster preparedness, land use planning, and prioritization of seismic retrofits, thus increasing the resilience of communities to earthquakes. Despite the advantages of empirical or qualitative methods, challenges such as limited data availability, earthquake characteristics variations, and building response uncertainties are still limited. However, the review study on empirical or qualitative methods highlights these challenges as opportunities for advances in data collection, innovative sensor technologies, and the incorporation of machine learning to improve the reliability and robustness of empirical or qualitative seismic hazard assessment.

2.1.1. Damage Probability Matrices

Qu and Sun [69,70] established a vulnerability probability matrix by analyzing sample data from typical earthquake-prone regions. This analysis followed earthquake damage inspections conducted after the 2013 Lushan earthquake in China. The focus was on investigating and analyzing the damage characteristics of adobe and timber (AT), brick wood (BW), wooden roof truss structures (WRTS), and reinforced concrete (RC) frame buildings. In another seismic event, a magnitude 7.9 earthquake struck Wenchuan County, Sichuan Province, China, on May 12, 2008, causing significant damage to many buildings. Subsequently, the China Earthquake Administration coordinated a multinational team of experts and scholars to conduct an on-site assessment of building damage caused by the earthquake. This effort resulted in the collection of extensive inspection data for reinforced concrete (RC), masonry structures (MS), bottom frame seismic wall masonry (BFM), and brick wood (BW), as compiled by Li and Chen [7,48].
An empirical vulnerability database and a damage matrix model for typical buildings were developed based on the varying intensity regions of the Wenchuan earthquake. Various research approaches were employed to analyze the fragility and susceptibility of these buildings, contributing to the global enhancement of seismic resilience and the revision of building design codes. However, much of the research primarily focused on the empirical susceptibility characteristics of specific building categories during specific earthquakes. There were ambiguities and uncertainties noted in aspects like dynamic modulus, hazard models, and parameter configurations in theoretical and risk analyses. Moreover, a pattern emerged towards standardization in the process of identifying vulnerability parameters when employing ground peak acceleration (PGA) values. This trend posed difficulties in fully understanding the seismic vulnerability of various buildings in the area by solely examining the seismic damage of a single construction type during a specific earthquake occurrence.
The damage probability matrix used for loss and risk analysis by Miano [71] showed a correlation between seismic intensity and the likelihood of building damage for specific building types. Whitman [72] introduced the concept of damage probability matrices to anticipate the destruction of buildings caused by tectonic plates. This methodology allocated a precise probability of a specific building type encountering a particular level of damage at a given magnitude of an earthquake. Braga [73] was credited with developing the initial iteration of a damage probability matrix in Europe. The damage probability matrix was developed based on observations of building damage in Italy following the 1980 Irpinian earthquake. The authors utilized the binomial distribution to model damage distributions across different classes in response to varying seismic intensities. One advantage of the binomial distribution was its requirement of a single parameter within the 0 to 1 range. However, a disadvantage of the damage probability matrix was its dependence on a single parameter for both mean value and standard deviation.
Buildings were divided into three hazard categories (A, B, and C), and a damage probability matrix (DPM) was created for each category based on the modified Mercalli scale (MSK), which linked building types to observed damage levels. The underlying concept of a DPM was that a given building type had an equal chance of experiencing any level of damage when subjected to a specific earthquake intensity. It is important to highlight that the damage ratio here refers to the ratio of repair expenses compared to replacement costs.
Giovinazzi and Lagomarsino [74] introduced a new macroseismic methodology for deriving damage probability functions based on the EMS-98 macroseismic scale. This scale offered qualitative delineations such as "few," "many," and "most" within the context of five damage levels (V to XII), spanning various classes indicating decreasing susceptibility. Table 1 presents damage matrices that visually represent the distribution of structures across different levels of damage, with varied degrees of severity.
Damage Probability Matrices (DPMs) are useful methods for assessing the seismic susceptibility of reinforced concrete (RC) frame buildings, both pre- and post-earthquake events. Their importance has increased in recent years due to their capacity to accurately represent the relationship between seismic intensity and the probability of building damage. DPMs provide a systematic method for assessing the vulnerability of RC-framed buildings to earthquakes by combining empirical data, analytical analysis, and experimental tests. During the period before an earthquake occurs, engineers use DPMs (Damage Probability Matrices) to create fragility curves. These curves show the likelihood of different levels of damage (such as small, moderate, or extensive) occurring based on seismic intensity factors like peak ground acceleration and spectral acceleration.
The fragility curves are derived by statistically analyzing historical earthquake records, conducting on-site investigations, and doing experimental trials. They allow engineers to assess the vulnerability of reinforced concrete (RC) framed buildings under different seismic hazard scenarios. Following an earthquake, Damage Probability Matrices (DPMs) play a crucial role in swiftly assessing the extent of damage and determining the order of importance for emergency response and recovery actions. Through the process of comparing the observed damage to pre-determined fragility curves, individuals involved may quickly assess the magnitude of the damage, assess the safety of the building, and allocate resources for immediate response and repair of the building. In addition, DPMs enable the improvement of vulnerability models by including observed damage patterns, hence increasing the accuracy of future assessments, and assisting in decision-making related to retrofitting and mitigation options.
DPMs, or damage probability matrices, are frequently employed to evaluate seismic risk in reinforced concrete frame buildings. Nevertheless, they possess some disadvantages such as:
  • Simplified representation: Damage Probability Matrices (DPMs) streamline the complex behavior of buildings during seismic events by categorizing them into distinct damage states according to specified attributes, such as building qualities, ground motion intensity, and building materials. This oversimplification can result in crucial factors that can impact the true extent of earthquake damage being overlooked.
  • Restricted precision: The accuracy of DPMs is limited due to their dependence on empirical data and assumptions to predict the probability of different levels of damage. These assumptions may not accurately reflect the performance of reinforced concrete buildings during actual seismic events, leading to inaccuracies about the expected probabilities of damage.
  • Dependence on input parameters: The accuracy of DPMs relies heavily on input data like as building attributes, seismic hazard levels, and soil conditions. Fluctuations or unidentified elements in these parameters might significantly impact the dependability of vulnerability assessments based on DPM.
  • Inability to capture dynamic interactions: DPMs cannot accurately capture the dynamic interactions that occur between building elements, nonlinear behavior, and secondary effects like shaking or soil-structure interactions. Instead, they primarily focus on the static response of the structure to seismic loads. This constraint can result in either underestimating or overestimating the actual magnitude of harm.
This section concluded by analyzing the theoretical foundations, methodological approaches, and practical applications of DPMs. It also aimed to clarify the advantages, disadvantages, and prospective contributions of DPMs in enhancing the seismic resilience of urban infrastructures and communities. Gaining a comprehensive understanding of the function of DPMs (Damage Probability Matrices) in assessing seismic hazards is crucial for researchers, engineers, experts, and policymakers who are engaged in earthquake risk management and urban planning. This understanding allows for informed decision-making and the development of proactive methods to mitigate the impact of earthquakes in buildings.

2.1.2. The Vulnerability Index Method (VIM)

The Vulnerability Index Method (VIM), often known as the Italian method, has been extensively utilized. It assesses both the physical and non-physical elements of a building to determine its vulnerability to earthquakes. This estimate is based on comprehensive surveys of observable damages [76]. This method is indirect because it determines a vulnerability index and shows a correlation between damage and seismic intensity through post-earthquake surveys and statistical analyses that are only useful for comprehensive seismic assessments. In 2007, the National Earthquake Defense Group (GNDT), an Italian organization, adopted a method for evaluating the susceptibility of buildings to both pre-and post-earthquakes [77]. This approach employs simplified mathematical techniques for subjectively assessing the condition of existing buildings. It has been implemented in various cities and nations, such as China, Ecuador, Colombia, Spain, Italy, and Croatia [78,79,80] and it also has been applied in many cities in Peru, including Lima, Chiclayo, Jaén, La Libertad, Cajamarca, and Ayacucho, and is widely used as it qualitatively categorizes the vulnerability of a building based on an index derived from its building and physical characteristics [81].
Although the Italian vulnerability index method was considered valid, it can be considered unreliable as it relies on the observation of parameters. The available data may have limitations or inaccuracies due to the absence of comprehensive typologies and advanced parameters that could offer a more analytical depiction of a building’s vulnerability. However, the method remains suitable for assessing the vulnerability of numerous buildings and infrastructure within an urban setting. The method relies on field surveys to gather data and information concerning key parameters that influence and govern building vulnerability namely: (1) foundation type, (2) material quality, and (3) plan and elevation configuration. There are a total of eleven parameters that were identified and computed as a vulnerability index for each building, wherein each parameter was categorized into four classes denoting escalating vulnerability by quality conditions, namely K i or Cvi: A, B, C, and D. Each parameter assessed a distinct factor that influenced the seismic performance of the building, specifically identifying the most suitable vulnerability class that described it. Each parameter was assigned a weight, Pi, ranging from 0.5 for the least significant parameters to 2.0 for the parameters with the highest influence on the building’s vulnerability.
The seismic vulnerability index, Iv*, obtained from Equation (1), ranged from 0 to 500. However, it was subsequently normalized using a weighted sum to a range of 0 to 100 and was now represented by the symbol IV. The vulnerability index of each building at a global level was assessed using the following formula in Equation (1):
I V * = i = 1 8 C v i × ρ i
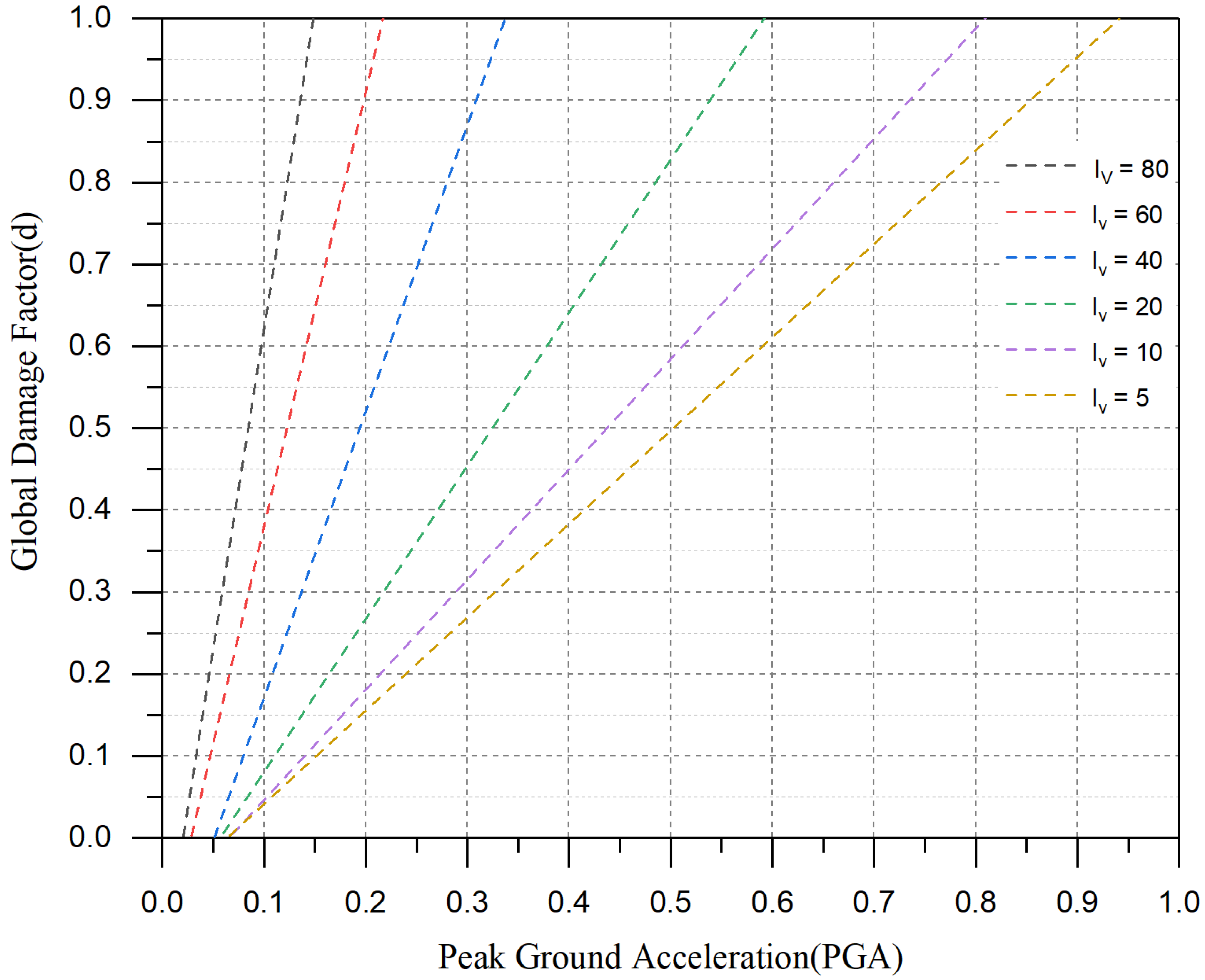
Historical earthquake records are employed to fine-tune vulnerability functions, which define the correlation between the vulnerability index (Iv*) and a universal damage factor (d) for buildings of identical types under similar macroseismic intensity or peak ground acceleration (PGA). The damage factor, ranging from 0 to 1, measured the ratio of repair expenses to replacement costs. Damage was deemed negligible when peak ground acceleration (PGA) values fell below a specific threshold. The damage factor then increased linearly until it reached a PGA that caused a collapse. At this point, it was assigned a value of 1 as shown in Figure 2.
Vulnerability index methodologies enabled the evaluation of vulnerability characteristics unique to the analyzed building stock, instead of solely depending on typological classifications to delineate risk [83]. It is worth noting that the method still relies on expert judgment in evaluating structures. Uncertainty exists in the coefficients and weights used to calculate the seismic vulnerability index, which is usually disregarded. To conduct a comprehensive evaluation of building vulnerability on a wide scale, say at the national level, a significant number of buildings that are representative of the nation’s whole building stock must be assessed. These evaluations also need to relate to census data. It would take an inordinate amount of time to calculate hazard indices for a large section of the building stock, though, in nations where such data is not easily available. Obtaining a large dataset of input data is essential when using a risk or loss assessment model at the national level.
The Geographic information system (GIS) currently enables the analysis of extensive data to determine the vulnerability of buildings by examining the statistics of individual parameters [84]. Georeferenced data was smoothly incorporated into a Geographic Information System (GIS), enabling swift access to results and assessment techniques. Consequently, the Italian vulnerability index method was utilized to evaluate the seismic vulnerability of historical masonry buildings in the city center of the Croatian coastal region. The findings predominantly indicated moderate to heightened levels of vulnerability. This stemmed from these buildings being constructed with unsecured masonry lacking reinforcement. Additionally, they exhibited insufficient connections between walls and ceilings, with inadequate horizontal and vertical alignment of walls, and poorly integrated non-building components.
Moreover, variations in height and floor plan were considered. To enhance result analysis, all collected data was integrated into a GIS platform using ArcGIS software. This integration involved merging geo-referenced visual data with specific parameters from each approach, leading to the creation of a hazard map. The seismic vulnerability index method employed in this research focused on modeling eleven parameters derived from previously identified hazard classes (Low, Moderate, and High). These eleven criteria for each parameter were instrumental in identifying the primary building system and its significant earthquake-related deficiencies. Specifically, these parameters are summarized and presented in Table 2 below:

2.1.3. The RISK_UE and GNDT Method

Over the past few decades, Italy has devised a hazard index methodology through the National Group of Defense from Earthquakes (GNDT). This method comprises two tiers: "GNDT Level I" categorizes building types and establishes hazard classifications (A, B, C, and D), while "GNDT Level II" draws from Benedetti’s work alongside the GNDT’s efforts [85,86] method. This methodology required extensive collection of data and information to evaluate building damage. The field study aimed to obtain a thorough understanding of the key factors influencing and regulating the vulnerability of the building.
The RISK_UE project also referred to as the European Macroseismic project, received funding from the European Commission. Its objective was to devise sophisticated techniques for evaluating seismic risk scenarios in various European cities, including Barcelona, Bitola, Bucharest, Catania, Nice, Sofia, and Thessaloniki. Among the vulnerability assessment methods developed and successfully applied in all these cities, the vulnerability index method was chosen. As detailed in Faccioli and GNDT [87,88], the "Catania Project" evaluated the risk associated with reinforced concrete (RC) frames and masonry buildings through a modified vulnerability index method. Certain adjustments were made to the original vulnerability index method as per the ATC-21 guidelines. The vulnerability scores of buildings were determined using rapid screening techniques [89,90,91,92].
Like the primary method, the vulnerability result was computed by combining the weighted values of eleven parameters or variables. Nonetheless, the values for the remaining variables or parameters, obtained from historical or contemporary construction practices in the region, were estimations rather than direct on-site assessments. Consequently, a minimum and maximum value for Iv* was defined for each building. The vulnerability assessments for historical masonry buildings were refined using data from earthquake-induced damage in Friuli (1976) and Abruzzo (1984). The link between damage severity and maximum ground acceleration was established using the correlation proposed by Guagenti and Petrini [93]. Table 3 presents a summary and tabulation of the vulnerability assessment conducted using the vulnerability index, specifically through methods such as RISK-UE, European Macroseismic, and GNDT methods, for several case studies.
The Vulnerability Index Method (VIM) has gained recognition in recent years for its ability to provide a thorough and standardized framework for assessing the seismic susceptibility of buildings. The assessment provided a thorough evaluation of a building’s vulnerability to seismic hazards by considering both building and non-building elements, as well as socio-economic aspects. The VIM facilitated a proactive evaluation of seismic risk both pre- and post-earthquakes by integrating building characteristics (such as building age, height, and construction quality) with site-specific seismic hazard data. The VIM employed statistical analysis and data-driven modeling to develop vulnerability indices that precisely depicted the probability and potential consequences of harm to RC-framed buildings made of reinforced concrete in several earthquake scenarios.
The utilization of VIM facilitated the prompt evaluation and ranking of relief measures in the aftermath of a seismic disaster. Through the comparison of the observed degree of damage with pre-calibrated danger indices, individuals may promptly evaluate the magnitude of the damage, identify buildings that are prone to damage, and allocate resources for emergency actions and reconstruction. Furthermore, the VIM method facilitated the detection of areas with a high risk of damage and allowed for the creation of specific retrofitting and mitigation plans to enhance the durability of urban infrastructure.

3. Quantitative or Analytical Methods

Within the realm of assessing reinforced concrete (RC) frame buildings, the most prominent quantitative or analytical methods discussed include Hybrid methods, Capacity spectrum methods (CSM), and Fully displacement-based methods. Echevarría [105] stated that these methods offered more intricate algorithms that had a clearer and more immediate physical significance. This characteristic facilitated the performance of sensitivity analyses and streamlined the calibration of numerous attributes of the entities involved in the analysis. This delineated four mitigation strategies for addressing mathematical models utilizing analytical or quantitative methods: linear static analysis, linear dynamic analysis, pushover, and non-linear dynamic analysis. Cardinal [78] explored hybrid methodologies that integrated damage probability matrices and vulnerability functions derived from post-earthquake damage statistics. These methodologies also incorporated numerical algorithms based on mathematical models specific to the building typologies under investigation.
Hybrid models were especially important when there was adequate data on post-earthquake damage of a specific intensity level for the analyzed geographical area. Mathematical simulations are used to extrapolate results and fill in the gaps in the matrices and functions. Furthermore, it is crucial to acknowledge that the data obtained after the earthquake are used to calibrate the mathematical model for specific intensity levels. The Capacity spectrum methods involved determining seismic performance points for each building type in a certain earthquake scenario. The performance point was determined at the intersection of the building’s capacity curves with the seismic action curves. The Capacity spectrum served as the basis for several globally recognized methods in evaluating seismic risks.

3.1. The Vulnerability Analytical or Quantitative/Fragility Curves and Damage Prediction Models (DPMs) Derived by Analytical Methods

In the past, seismic vulnerability curves and damage probability matrices were often developed based on observable damage data [106]. However, there are new proposals for the use of computational studies as another possible approach to control the challenges of the above approaches. Simulations were employed to create fragility curves [107] (also known as seismic vulnerability curves) and damage probability matrices for various categories of reinforced concrete (RC) frame buildings. This process was deemed crucial for forecasting damage probabilities that could affect building performance, thereby informing rehabilitation and retrofitting strategies for these buildings. Ground motion significantly influences the behavior of buildings. The likelihood of building damage was assessed through non-linear dynamic analysis, utilizing multiple ground motions to estimate building response and economic losses.

3.2. Applying the Nonlinear Analysis to Weight the Modeling Parameters

The weighting of parameters was established through non-linear time history analysis (NL-THA) and non-linear static analysis (NL-SA) to derive intensity-duration attenuation (IDA) and probability of occurrence attenuation (POA) curves. The significance of each parameter was determined by quantifying building vulnerability, specifically by assessing the maximum upper displacement. This methodology enabled the estimation of factors influencing the physical vulnerability of buildings and their impact on response behavior during earthquakes [108]. In seismic vulnerability research, the transition of maximum displacement from linear to non-linear states, culminating in failure, served as an indicator of damage severity. The evolution of building behavior across three hazard classes (low, moderate, and high) during this transition from the most critical parameter state to the optimal state was elucidated, with emphasis on seismic loading. The process of quantifying the seismic vulnerability index using NL-THA is detailed in Figure 3.
A similar method was employed to assess the seismic susceptibility of various reinforced concrete (RC) frame configurations, encompassing bare frames, and infilled frames designed solely for vertical load support [109,110]. The building models utilized in this investigation reflected typical architectural designs and construction methodologies. The virtual representation of the buildings adhered to design codes, relevant guidelines, and industry standards prevalent during construction. Evaluating the seismic response of the designed prototype buildings involved non-linear dynamic analyses such as IDA and POA, incorporating ground motions of diverse intensities, both artificial and natural acceleration curves. The seismic susceptibility of these buildings was appraised using the European Macroseismic Scale. Previous studies predominantly relied on incremental dynamic analysis (IDA) to develop fragility curves for buildings [65].
Vona [111] employed two distinct analytical methods, namely nonlinear static analysis (NSA) and nonlinear dynamic analysis (NDA), to investigate the seismic response of moment-resisting concrete frames (MRCF) using fragility curves. The study highlighted the NDA as the most appropriate approach to consider. Anvarsamarin [112] evaluated the collapse performance of three building models with different story heights (6, 12, and 18 stories) as reinforced concrete moment-resisting frames (RC-MRF). By utilizing fragility curves and incorporating soil-building interaction as a seismic uncertainty parameter, the estimation was formulated. Tajammolian [113] explored the seismic performance of asymmetric steel buildings when isolated using a Triple Concave Friction Pendulum (TCFP) as a seismic bearing element.
Fragility curves were developed following IDA analysis with input from 45 sets of synthetic seismic data, and damage probabilities were calculated based on HAZUS-2003 damage states. Nazari [114] investigated the seismic vulnerability of RC-shear wall buildings in Vancouver using non-linear time history analysis (NLTHA) on 20 sets of synthetic earthquake data. The authors subsequently generated fragility curves to assess the damage extent following ASCE41 guidelines [115,116,117]. Dumova-Jovanoska [118] developed vulnerability curves and damage probability matrices for reinforced concrete (RC) buildings. The relationships between earthquake damage intensity were established through analytical modeling of representative reinforced concrete (RC) buildings followed by dynamic nonlinear analysis [119]. The evaluation of structural damage was conducted utilizing the damage index and assigning discrete damage states to buildings. It was presumed that the likelihood of damage occurrence adheres to a normal probability distribution.
A primary disadvantage of constructing analytical susceptibility curves is the substantial computational and time expenses linked with this process. Therefore, creating such curves for diverse regions or countries with distinct design features presents a formidable challenge. However, it is noteworthy that analytical vulnerability curves are frequently utilized alongside empirical damage probability matrices (DPMs) and vulnerability curves derived from observed damage data.

3.3. General Evaluation of Quantitative or Analytical Methods

When evaluating quantitative or analytical methods for assessing the seismic susceptibility of reinforced concrete (RC) frame buildings, several variables are essential to ensure their effectiveness and reliability. The importance of accuracy and precision in anticipating susceptibility and distinguishing between buildings with different levels of vulnerability cannot be overstated. Validation using actual seismic data is crucial for verifying accuracy while showcasing the potential to make accurate predictions in real-world scenarios is also significant. When doing sensitivity analysis to analyze the influence of parameters and verify the accuracy of results, having sufficient processing power is crucial, particularly for extensive evaluations or post-earthquake assessments where prompt decision-making is vital.
The approaches can be easily applied to other building kinds, materials, and geographical locations due to their versatility and malleability. By incorporating uncertainty analysis, it becomes possible to measure the reliability and enhance the process of decision-making. To gain a thorough comprehension of vulnerability, it is necessary to use various interdisciplinary approaches that merge expertise from civil engineering, seismology, and seismic risk assessment. The outcomes should be displayed in a comprehensible style, facilitating stakeholders in making well-informed decisions.
Furthermore, the model assumptions are resilient to guarantee the dependability of evaluations, and the approaches should be consistently enhanced and upgraded to integrate advancements in research and technology. Researchers and professionals can identify the positive aspects, limitations, and areas that need improvement when assessing the susceptibility of reinforced concrete (RC)-framed buildings to earthquakes, both pre- and post-seismic events. This procedure ultimately improves the ability of these buildings to withstand seismic risks.

4. Experimental Methods

In this review article, the significance of the experimental method in technological domains is noteworthy among the various discussed methods. These approaches often involve substantial costs due to the infrastructure needed for testing. One method for assessing the vulnerability of existing reinforced concrete (RC) frame buildings, as proposed by Ngenge [120] involved a series of experiments conducted on two fully built reinforced concrete (RC) frame buildings. The porticos were constructed with four levels, adhering to the architectural principles, and building techniques prevalent in European nations between the 1950s to 1970s. One of the porticos included a masonry enclosure, whereas the other lacked one. The lateral stresses were applied using pseudo-dynamic tests, with accelerations of 218, 288, and 373 cm/s2. The discovered findings facilitated the assessment of the vulnerability of uncomplicated frames and can serve as a foundation for fine-tuning mathematical models.
The ambient vibration method, suggested by Alhamad [121], is an alternative experimental method. This method was cost-effective in comparison to alternative experimental methods and is appropriate for areas with minimal seismic activity. This method utilizes the building reactions to ambient vibrations caused by an external source, which are measured using instruments, to estimate the behavior of similar buildings when exposed to seismic forces. A common criticism within building engineering regarding the ambient vibration method is the notably low level of vibration generated by the excitation source, which is not representative of the building response during earthquakes. Table 4 outlines the advantages and disadvantages of empirical, analytical, and experimental methodologies.

5. Conclusion

Experimental, analytical, and pre-earthquake seismic vulnerability assessments for reinforced concrete RC-framed buildings require a comprehensive methodology that incorporates the following:
Empirical or qualitative methods utilize historical data and observational studies to provide significant insights into the performance of buildings during previous seismic occurrences. Nevertheless, the effectiveness of these methods is frequently constrained by the availability and quality of data, as well as their inability to account for future uncertainty. Quantitative or analytical methods offer a systematic framework for forecasting seismic susceptibility using mathematical modeling and engineering principles. Although these methods provide flexibility and scalability, they face hurdles in terms of complexity, ambiguity, and validation using real-world data. By combining empirical or qualitative methods with analytical or quantitative methodologies, one can maximize their advantages while minimizing their drawbacks. Empirical data can be used to provide information and confirm the validity of analytical models, hence improving their correctness and dependability. On the other hand, analytical methods can enhance empirical data by revealing the fundamental systems that control earthquake reactions and vulnerability.
Collaboration among several fields, including civil engineering, seismology, geotechnical engineering, and seismic risk assessment, is crucial for the development of improved approaches for assessing seismic hazards. Researchers and practitioners can enhance the assessment of seismic vulnerability in RC-framed structures by utilizing knowledge and resources from several disciplines. Integrating experimental, empirical, and analytical methodologies, with the help of interdisciplinary collaboration, is crucial for improving our understanding of seismic susceptibility and strengthening the resilience of reinforced concrete (RC)-framed buildings to seismic hazards both pre-and post- and post-earthquakes. Ongoing research, innovation, and exchange of knowledge are crucial for improving and optimizing these methods, which will help create a safer and more resilient built environment worldwide.

Supplementary Materials

The following supporting information can be downloaded at the website of this paper posted on Preprints.org, Figure S1: The procedure of seismic risks and seismic vulnerability index assessment; Figure S2: Vulnerability index functions corresponding to the damage factor (d) and peak ground acceleration (PGA) across various vulnerability indices; Figure S3: A flowchart to estimate vulnerability index (SVI); Table S1: The damage model of a seismic vulnerability class, as defined within the framework; Table S2: The parameter qualification values for reinforced concrete buildings; Table S3: Case studies employing the Vulnerability Index method, utilizing both GNDT and RISK-UE methodologies; Table S4: The advantages and disadvantages of empirical, analytical, and experimental methods.

Author Contributions

Investigation, Conceptualization, Data curation, Formal analysis, Methodology, Visualization, Writing—original draft, Writing—review & editing, Mabor Achol Samuel.; Project administration, Supervision, Writing—review & editing, Ergang Xiong.; Visualization, Writing—review & editing, Mahmood Haris.; Writing—review & editing, Lekeufack Beco Chenadaire.; Writing—review & editing, Yupeng Xie.; Writing—review & editing Yufei Han. All authors have read and agreed to the published version of the manuscript.

Funding

This research received no external funding.

Institutional Review Board Statement

Not applicable.

Informed Consent Statement

Not applicable.

Data Availability Statement

Supplementary data for this review article can be found at (data provided as Supplementary Materials).

Acknowledgments

This review research received no specific grant from funding agencies in the public, commercial, or not-for-profit sectors.

Conflicts of Interest

The authors declare that they have no known competing financial interests or personal relationships that could have appeared to influence the work reported in this paper.

References

  1. Shabani, A.; Kioumarsi, M.; Zucconi, M. State of the Art of Simplified Analytical Methods for Seismic Vulnerability Assessment of Unreinforced Masonry Buildings. J. Eng. Struct. 2021, 239, 112280. [Google Scholar] [CrossRef]
  2. Kassem, M.; Mohamed Nazri, F.; Noroozinejad, Farsangi E. Development of Seismic Vulnerability Index Methodology for Reinforced Concrete Buildings Based on Nonlinear Parametric Analyses. J. Mex. 2019, 6, 199–211. [Google Scholar] [CrossRef] [PubMed]
  3. Smolka, A.; Allmann, A.; Hollnack, D. 3rd World Conference on Earthquake Engineering. The Principle of Risk Partnership and the Role of Insurance in Risk Mitigation.
  4. Laghi, V.; Palermo, M.; Trombetti, T. Seismic-Proof Buildings in Developing Countries. J. Front. Built Environ. 2017, 3–49. [Google Scholar] [CrossRef]
  5. Cao, X.Y.; Shen, D.; Feng, D.C. Seismic Retrofitting of Existing Frame Buildings Through Externally Attached Sub-Structures: State of the Art Review and Future Perspectives. J. Build. Eng. 2022, 57, 104904. [Google Scholar] [CrossRef]
  6. Tareen, H. The 2008 Sichuan Earthquake and Its Impacts on Economy. J. Europ. Scie. 2023, 19, 49. [Google Scholar] [CrossRef]
  7. Li, S.q.; Yu, T.; Chen, Y. Comparative Analysis of the Empirical Seismic Vulnerability of Typical Structures in Multiple Intensity Zones. J. Arch. Civil Eng. LXV. 2019, 168–183. [Google Scholar] [CrossRef]
  8. Miyamoto, H.K.; Gilani, A.S.; Wada, A. Reconnaissance Report of the 2008 Sichuan Earthquake, Damage Survey of Buildings and Retrofit Options.
  9. Shieh, S.; Deng, G. An emerging Civil Society: The impact of the 2008 Sichuan earthquake on Grass-Roots Associations in China. J. China.Journ. 2010, 65. [Google Scholar] [CrossRef]
  10. Robert, A.; Zhu, J.; Vergne, J. Crustal Structures in the 2008 Sichuan Earthquake from Seismologic and Gravimetric Data. J.Tectonophys. 2010, 491(1–4), 205–210. [Google Scholar] [CrossRef]
  11. Otani, Y.; Ando, K.; Atobe, K.; Haiden, A.; Kao, S.Y.; Shimanuki, M.; Yoshimoto, N.; Fukunaga, K. Comparison of Two Large Earthquakes: The 2008 Sichuan Earthquake and the 2011 East Japan Earthquake. J. Keio. Med. 2012, 61, 35–39. [Google Scholar] [CrossRef]
  12. Burchfiel, B.C.; Royden, L.H.; van der Hilst, R.D. A Geological and Geophysical Context for the Wenchuan Earthquake of 12 May 2008, Sichuan, People’s Republic of China. J. GSA.Today. 2008, 18, 7. [Google Scholar] [CrossRef]
  13. Cui, P.; Chen, X.Q.; Zhu, Y.Y. The Wenchuan Earthquake (May 12, 2008), Sichuan Province, China, and Resulting Geohazards. J. Nat. Hazar. 2011, 56, 19–36. [Google Scholar] [CrossRef]
  14. Koshimura, S.; Hayashi, S.; Gokon, H. The Impact of the 2011 Tohoku Earthquake-Tsunami Disaster and Implications to the Reconstruction. J. Soi. Founda. 2014, 54, 560–572. [Google Scholar] [CrossRef]
  15. Goto, K.; Ishizawa, T.; Ebina, Y. Ten Years After the 2011 Tohoku-Oki Earthquake and Tsunami: Geological and Environmental Effects and Implications for Disaster Policy Changes. J. Earth. Scie. Revi. 2021, 212, 103417. [Google Scholar] [CrossRef]
  16. Ozawa, S.; Nishimura, T.; Munekane, H. Preceding, Coseismic, and Postseismic Slips of the 2011 Tohoku Earthquake, Japan. J. Geophys. Res.Solid. Earth. 2012, 117, B07404. [Google Scholar] [CrossRef]
  17. Sugawara, D.; Imamura, F.; Goto, K. The 2011 Tohoku-oki Earthquake Tsunami: Similarities and Differences to the 869 Jogan Tsunami on the Sendai Plain. J. Pure. Appl. Geophys. 2013, 170, 831–843. [Google Scholar] [CrossRef]
  18. Mori, N.; Takahashi, T.; Hamaura, S.E. Nationwide Post-Event Survey and Analysis of the 2011 Tohoku Earthquake Tsunami. J. Costa. Eng. J. 2012, 54, 1250001-1–1250001–27. [Google Scholar] [CrossRef]
  19. Mori, N.; Takahashi, T.; Yasuda, T. Survey of 2011 Tohoku Earthquake Tsunami Inundation and Run-Up. J. Geophys Resea. Letters. 2011, 38, L00G14. [Google Scholar] [CrossRef]
  20. Ozmen, H.B.; Inel, M.; Cayci, B.T. Engineering Implications of the RC Building Damages After 2011 Van Earthquakes. J. Earthq.Struct. 2013, 5(3), 297–319. [Google Scholar] [CrossRef]
  21. Yazgan, U. October 23rd, 2011 Van Earthquake: Preliminary Reconnaissance Report: Structural and Geotechnical Aspects of the Damage. 15th World Conference on Earthquake Engineering (15WCEE).
  22. Zaré, M.; Van Nazmaza, B. Turkey Earthquake of 23 October 2011, Mw 7.2; An Overview on Disaster Management.
  23. Elliott, J.R.; Copley, A.C.; Holley, R. The 2011 Mw 7.1 Van (Eastern Turkey) Earthquake. J. Geophys Res. Solid Earth. 2013, 118, 1619–1637. [Google Scholar] [CrossRef]
  24. Çelebi, E.; Aktas, M.; Çaǧlar, N. October 23, 2011, Turkey/Van-Ercis Earthquake: Structural Damages in the Residential Buildings. J.Nat. Hazards. 2013, 65, 2287–2310. [Google Scholar] [CrossRef]
  25. Sharma, M.L.; Sinvhal, A.; Singh, Y. Damage Survey Report for Sikkim Earthquake of 18 September 2011. J.Seismo. Resea.Letters. 2013, 84(1), 49–56. [Google Scholar] [CrossRef]
  26. Kaushik, H.B.; Dasgupta, K.; Sahoo, D.R. Performance of Structures During the Sikkim Earthquake of 14 February 2006. J.Curr. Sci. 2006, 91, 4–25. [Google Scholar]
  27. Ravi Kumar, M.; Hazarika, P.; Srihari Prasad, G. Tectonic Implications of the September 2011 Sikkim Earthquake, and its Aftershocks. J. Curr. Sci. 2012, 102, 788–792. [Google Scholar]
  28. Martha, T.R.; Babu Govindharaj, K.; Vinod Kumar, K. Damage, and Geological Assessment of the 18 September 2011 Mw 6.9 Earthquake in Sikkim, India Using Very High-Resolution Satellite Data. J.Geoscie. Fronti. 2015, 6, 793–805. [Google Scholar] [CrossRef]
  29. Tiwari, R.K.; Paudyal, H. Gorkha Earthquake (MW7.8) and Aftershock Sequence: A Fractal Approach. J. Earthq. Scie. 2022, 35, 193–204. [Google Scholar] [CrossRef]
  30. Thapa, D.R.; Tao, X.; Fan, F. Aftershock Analysis of the 2015 Gorkha-Dolakha (Central Nepal) Earthquake Doublet. J. Heliyon. 2018, 4, e00678. [Google Scholar] [CrossRef] [PubMed]
  31. Malla, S.; Karanjit, S.; Dangol, P. Seismic Performance of High-Rise Condominium Building During the 2015 Gorkha Earthquake Sequence. J. Build. 2019, 9(2), 36. [Google Scholar] [CrossRef]
  32. Adhikari, L.B.; Gautam, U.P.; Koirala, B.P. The Aftershock Sequence of the 2015 April 25 Gorkha-Nepal Earthquake. J. Geophys. Journ. Interna. 2015, 203, 2119–2124. [Google Scholar] [CrossRef]
  33. Bhattarai, M.; Adhikari, L.B.; Gautam, U.P. Overview of the Large 25 April 2015 Gorkha, Nepal, Earthquake from Accelerometric Perspectives. J. Seismo. Resea. Letters. 2015, 86(6), 1540–1548. [Google Scholar] [CrossRef]
  34. Badal, P.; Motra, G. Post-2015 Earthquake Vulnerability of Typical RC Buildings in Kathmandu Valley. J. Struct. 2023, 57, 105111. [Google Scholar] [CrossRef]
  35. Dengler, L.A.; Dewey, J.W. An Intensity Survey of Households Affected by the Northridge, California, Earthquake of 17 January 1994. J. Seismo. Socie. Ameri. 1998, 88 2, 441–462. [Google Scholar] [CrossRef]
  36. Wald, D.J.; Heaton, T.H.; Hudnut, K.W. The Slip History of the 1994 Northridge, California, Earthquake was Determined from Strong-Motion, Teleseismic, GPS, and Leveling Data. J. Seismo. Socie. Ameri. 1996, 86(1B), S49–S70. [Google Scholar] [CrossRef]
  37. Stewart, J.P.; Bray, J.D.; Seed, R.B. Preliminary Report on the Principal Geotechnical Aspects of the January 17, 1994 Northridge Earthquake. 1994. [Google Scholar]
  38. Yeats, R.S.; Huftile, G.J. The Oak Ridge Fault System and the 1994 Northridge Earthquake. J. Nat. 1995, 373, 418–420. [Google Scholar] [CrossRef]
  39. Krishnan, S.; Ji, C.; Komatitsch, D. Case Studies of Damage to Tall Steel Moment-Frame Buildings in Southern California During Large San Andreas Earthquakes. J. Seismo. Socie. Ameri. 2006, 96(4A), 1523–1537. [Google Scholar] [CrossRef]
  40. Miller, D.K. Lessons Learned from the Northridge Earthquake. J. Eng. Struct. 1998, 20(4–6), 249–260. [Google Scholar] [CrossRef]
  41. Miller, D.K. Lessons Learned from the Northridge Earthquake. J. Le. Soudage. Dans. Le. Monde. 1994, 19(9), 845. [Google Scholar] [CrossRef]
  42. Anon. Lessons Learned from the Northridge Earthquake. Modern Steel Construction 1994, 34.
  43. Ohmachi, T. Lessons Learned from the 1994 Northridge, California Earthquake. J. Doboku. Gakkai. Ronbunshu. 1994, 492/W-23, 1–12. [Google Scholar] [CrossRef]
  44. Mahin, S.A. Lessons from Damage to Steel Buildings During the Northridge Earthquake. J. Eng. Struct. 1998, 20(4–6), 261–270. [Google Scholar] [CrossRef]
  45. Daniell, J.; Vervaeck, A. Damaging Earthquakes Database 2011-The Year in Review. Available online: www.earthquake-report.com.
  46. Li, S.Q.; Liu, H.B. Vulnerability Prediction Model of Typical Structures Considering Empirical Seismic Damage Observation Data. J. Earthq. Eng. 2022, 20, 5161–5203. [Google Scholar] [CrossRef]
  47. Li, S.Q.; Chen, Y.S.; Liu, H.B. Empirical Seismic Vulnerability Assessment Model of Typical Urban Buildings. J. Bull. Earthq. Eng. 2023, 21, 2217–2257. [Google Scholar] [CrossRef]
  48. Li, S.Q.; Chen, Y.S. Analysis of the Probability Matrix Model for the Seismic Damage Vulnerability of Empirical Structures. J. Nat. Haz. 2020, 104, 705–730. [Google Scholar] [CrossRef]
  49. Silva, V.; Crowley, H.; Varum, H. Evaluation of Analytical Methodologies Used to Derive Vulnerability Functions. J. Earthq. Eng. Struct. Dyn. 2014, 43(2), 181–204. [Google Scholar] [CrossRef]
  50. Michel, C.; Guéguen, P.; Lestuzzi, P. Comparison between Seismic Vulnerability Models and Experimental Dynamic Properties of Existing Buildings in France. J. Bull. Earthq. Eng. 2010, 8, 1295–1307. [Google Scholar] [CrossRef]
  51. Riuscetti, M.; Carniel, R.; Cecotti, C. Seismic Vulnerability Assessment of Masonry Buildings in a Region of Moderate Seismicity. J. Anna. Geophys. 2021, 40(5), 1405–1413. [Google Scholar] [CrossRef]
  52. Karic, A.; Atalić, J.; Kolbitsch, A. Seismic Vulnerability of Historic Brick Masonry Buildings in Vienna. J. Bull. Earthq. Eng. 2022, 20, 4117–4145. [Google Scholar] [CrossRef]
  53. Neves, F.; Costa, A.; Vicente, R. Seismic Vulnerability Assessment and Characterization of the Buildings on Faial Island, Azores. J. Bull. Earthq. Eng. 2012, 10, 27–44. [Google Scholar] [CrossRef]
  54. Liu, Y.; Zhang, X.; Liu, W. Seismic Vulnerability, and Risk Assessment at the Urban Scale Using Support Vector Machine and Geoscience Technology: A Case Study of the Lixia District in Jinan City, China. J. Geoma. Nat. Haza. Ris. 2023, 14(1), 2173663. [Google Scholar] [CrossRef]
  55. Bozorgnia, Y.; Campbell, K.W. From Engineering Seismology to Performance-Based Engineering, Chapter 5: Engineering Characterization of Ground Motion. CRC Press LLC. J. Earthq. Eng. 2004, 1, 976. [Google Scholar] [CrossRef]
  56. Rosti, A.; Del Gaudio, C.; Di Ludovico, M. Empirical Vulnerability Curves for Italian Residential Buildings. J. Bollettino. Di. Geofisica. Teorica ed. Applicata. 2020, 613, 357–374. [Google Scholar] [CrossRef]
  57. Masi, A.; Vona, M. Vulnerability Assessment of Gravity-Load Designed RC Buildings: Evaluation of Seismic Capacity through Non-Linear Dynamic Analyses. J. Eng. Struct. 2012, 45, 257–269. [Google Scholar] [CrossRef]
  58. Bird, J.F.; Bommer, J.J. Evaluating Earthquake Losses Due to Ground Failure and Identifying Their Relative Contribution. J. Eng. Geol. 2004, 75(2), 147–179. [Google Scholar] [CrossRef]
  59. Shabani, A.; Kioumarsi, M.; Zucconi, M. State of the Art of Simplified Analytical Methods for Seismic Vulnerability Assessment of Unreinforced Masonry Buildings. J. Eng. Struct. 2021, 239, 112280. [Google Scholar] [CrossRef]
  60. Kassem, M.; Mohamed Nazri, F.; Farsangi, E.N. Development of a Uniform Seismic Vulnerability Index Framework for Reinforced Concrete Building Typology. J. Build. Eng. 2022, 47, 103838. [Google Scholar] [CrossRef]
  61. Khan Mohammadi, M.; Eshraghi, M.; Ghafarian Mashhadinezhad, M. Post-Earthquake Seismic Assessment of Residential Buildings following Sarpol-E Zahab (Iran) Earthquake (Mw7.3)—Part 2: Seismic Vulnerability Curves Using Quantitative Damage Index. J. Soil. Dyn. Earthq. Eng. 2023, 173, 108120. [Google Scholar] [CrossRef]
  62. Elyamani, A.; Roca, P. A Review of The Study of Historical Structures Using Integrated Investigation Activities for Seismic Safety Assessment. Part II: Model Updating and Seismic Analysis. J. Scie. Cult. 2018, 4(1), 29–51. [Google Scholar] [CrossRef]
  63. Bernardini, C.; Maio, R.; Boschi, S. The Seismic Performance-Based Assessment of a Masonry Building Enclosed in Aggregate in Faro (Portugal) Using a New Target Structural Unit Approach. J. Eng Struct. 2019, 191, 386–400. [Google Scholar] [CrossRef]
  64. Maio, R.; Santos, C.; Ferreira, T.M. Investigation Techniques for the Seismic Response Assessment of Buildings Located in Historical Centers. J. Interna. Journ. Architec. Herit. 2018, 12(7–8), 1245–1258. [Google Scholar] [CrossRef]
  65. Kassem, M.; Mohamed Nazri, F.; Noroozinejad Farsangi, E. The Seismic Vulnerability Assessment Methodologies: A State-of-the-Art Review. J. Ain. Shams. Eng. Journ. 2020, 11(4), 849–864. [Google Scholar] [CrossRef]
  66. Calvi, G.M.; Pinho, R.; Magenes, G. Development of Seismic Vulnerability Assessment Methodologies Over the Past 30 Years. J. ISET. Earthq. Techno. 2006, 43(3), 75–104. [Google Scholar] [CrossRef]
  67. Biglari, M.; Formisano, A.; Hashemi, B.H. Empirical Fragility Curves of Engineered Steel and RC Residential Buildings after Mw 7.3 2017 Sarpol-E-Dahab Earthquake. J. Bull. Earthq. Eng. 2021, 19, 2671–2689. [Google Scholar] [CrossRef]
  68. Rosti, A.; Del Gaudio, C.; Di Ludovico, M. Empirical Vulnerability Curves for Italian Residential Buildings. J. Bollettino. di Geofisica. Teorica ed. Applicata. 2020, 61(3), 357–374. [Google Scholar] [CrossRef]
  69. Qu, Z.; Dutu, A.; Zhong, J. Seismic Damage to Masonry-Infilled Timber Houses in the 2013 M7.0 Lushan, China, Earthquake. J. Earthq. Spectra. 2015, 31, 3. [Google Scholar] [CrossRef]
  70. Sun, B.; Spencer, B.F.; Yan, P. Analysis of the Seismic Vulnerability of Buildings in the Lushan Ms7.0 Earthquake in the Sichuan Province of China. J. Earthq. Eng. 2022, 26(2), 764–792. [Google Scholar] [CrossRef]
  71. Miano, A.; Jalayer, F.; Forte, G. Empirical Fragility Assessment Using Conditional GMPE-Based Ground Shaking Fields: Application to Damage Data for 2016 Amatrice Earthquake. J. Bull. Earthq. Eng. 2020, 18, 6629–6659. [Google Scholar] [CrossRef]
  72. Whitman, R.V.; Reed, J.W.; Hong, S.-T. Earthquake Damage Probability Matrices. In Proceedings of the Fifth World Conference on Earthquake Engineering, Rome, Italy.
  73. Braga, F.; Dolce, M.; Liberatore, D. Southern Italy November 23, 1980 Earthquake: A Statistical Study on Damaged Buildings and an Ensuing Review of the MSK-76 Scale: In Proceedings of the 7th European Conference on Earthquake Engineering. J. Earthq. Eng. 1982, 7, 431–450. https://hdl.handle.net/11573/459303.
  74. Giovinazzi, S.; Lagomarsino, S. A Macroseismic Method for the Vulnerability Assessment of Buildings 13th World Conference on Earthquake Engineering.
  75. Grünthal, G. European Macroseismic Scale 1998 (EMS-98). Cahiers du Centre Européen de Géodynamique et de Séismologie. 1998, 15.
  76. Maio, R.; Estêvão, J.M.C.; Ferreira, T.M. Cost-Benefit Analysis of Traditional Seismic Retrofitting Strategies Integrated in the Renovation of Stone Masonry Buildings. J. Eng. Struct. 2020, 206(1), 110050. [Google Scholar] [CrossRef]
  77. Moradi, S.M.; Nekoei-Moghadam, M.; Abbasnejad, A. Risk Analysis and Safety Assessment of Hospitals against Disasters: A Systematic Review. J. Educa. Health. Promot. 2021, 10, 412. [Google Scholar] [CrossRef]
  78. Cardinali, V.; Tanganelli, M.; Bento, R. A Hybrid Approach for the Seismic Vulnerability Assessment of the Modern Residential Masonry Buildings. J. Internat. Journ. Disas. Risk. Reduct. 2022, 79, 103193. [Google Scholar] [CrossRef]
  79. Leggieri, V.; Mastrodonato, G.; Uva, G. GIS Multisource Data for the Seismic Vulnerability Assessment of Buildings at the Urban Scale. J. Build. 2022, 12(5), 523. [Google Scholar] [CrossRef]
  80. Nikolić, Ž.; Runjić, L.; Ostojić Škomrlj, N. Seismic Vulnerability Assessment of Historical Masonry Buildings in Croatian Coastal Area. J. Appl. Sci. 2021, 11, 5997. [Google Scholar] [CrossRef]
  81. Ferreira, T.M.; Rodrigues, H.; Vicente, R. Seismic Vulnerability Assessment of Existing Reinforced Concrete Buildings in Urban Centers. J. Sustain. 2020, 12(5), 1996. [Google Scholar] [CrossRef]
  82. Guagenti, E.; Petrini, V. The Case of Old Buildings: Towards a Damage-Intensity Relationship. In Proceedings of the Fourth Italian National Conference on Earthquake Engineering, Milan, Italy; 1989; pp. 145–153. [Google Scholar]
  83. Garavaglia, E.; Angjeliu, G.; Cardani, G. Simplified Seismic Vulnerability Analysis of Historic Residential Buildings with Fragility Curves. J. Procedia. Struct. Integ. 2023, 44, 155–162. [Google Scholar] [CrossRef]
  84. Zanazzi, E.; Coïsson, E.; Ferretti, D. GIS Analysis of the Seismic Damage on Historical Masonry Spires. J. Intertnat. Arch. Photogramm. Remote Sens. Spatial Inf. Scie. 2019, XLII-2/W11, 1173–1179. [Google Scholar] [CrossRef]
  85. Benedetti, D.; Benzoni, G.; Parisi, M.A. Seismic Vulnerability and Risk Evaluation for Old Urban Nuclei. J. Earthq Eng Struct Dyn. 1988, 16(2), 183–201. [Google Scholar] [CrossRef]
  86. GNDT. Rischio Sismico Di Edifici Pubblici, Parte I: Aspetti Metodologici. In Proceedings of the CNR-Gruppo Nazionale per la Difesa dai Terremoti, Roma, Italy; 1993. [Google Scholar]
  87. Faccioli, E.; Pessina, V.; Calvi, G.M. A Study on Damage Scenarios for Residential Buildings in Catania City. J. Seismo. 1999, 3, 327–343. [Google Scholar] [CrossRef]
  88. Faccioli, E.; Pessina, V. The Catania Project–Earthquake Damage Scenarios for a High-Risk Area in the Mediterranean. CNR-Gruppo Nazionale per la Difesa dai Terremoti. 1999. [Google Scholar]
  89. Rapid Visual Screening of Buildings for Potential Seismic Hazards: A Handbook. Disaster Prevention and Management. J. Interna. Journ. 2003, 12(4), FEMA P-154. [CrossRef]
  90. FEMA P-154. Third Edition, Rapid Visual Screening of Buildings for Potential Seismic Hazards: A Handbook Applied Technological Council (ATC).
  91. Rapid Visual Screening of Buildings for Potential Seismic Hazards: Supporting Documentation. Disaster Prevention and Management. J. An Interna. Journ. 2003, 12(4), FEMA P-154. [Google Scholar] [CrossRef]
  92. FEMA P-155. FEMA-155: Rapid Visual Screening of Buildings for Potential Seismic Hazards: Supporting Documentation. Federal Emergency Management Agency. 2015. [Google Scholar]
  93. Guagenti, E.; Petrini, V. The Case of Old Buildings: Towards a Damage-Intensity Relationship. In Proceedings of the Fourth Italian National Conference on Earthquake Engineering, Milan, Italy; 1989; pp. 145–153. [Google Scholar]
  94. Basset-Salom, L.; Guardiola-Víllora, A. Seismic Vulnerability and Expected Damage in “Ground Zero Area” in El Cabanyal (Valencia). J. Internat. Journ. Architect. Herita. 2021, 15(11), 1623–1640. [Google Scholar] [CrossRef]
  95. Blyth, A.; Di Napoli, B.; Parisse, F. Assessment, and Mitigation of Seismic Risk at the Urban Scale: An Application to the Historic City Center of Leiria, Portugal. J. Bull. Earthq. Eng. 2020, 18, 2607–2634. [Google Scholar] [CrossRef]
  96. Salazar, L.G.F.; Ferreira, T.M. Seismic Vulnerability Assessment of Historic Constructions in the Downtown of Mexico City. J. Sustaina. 2020, 123, 1276. [Google Scholar] [CrossRef]
  97. Preciado, A.; Ramirez-Gaytan, A.; Santos, J.C. Seismic Vulnerability Assessment and Reduction at a Territorial Scale on Masonry and Adobe Housing by Rapid Vulnerability Indicators: The Case of Tlajomulco, Mexico. J. Internat. Journ. Disas. Risk. Reduct. 2020, 44, 101425. [Google Scholar] [CrossRef]
  98. Liu, Y.; So, E.; Li, Z. Scenario-Based Seismic Vulnerability, and Hazard Analyses to Help Direct Disaster Risk Reduction in Rural Weinan, China. J. Int. J. Disas. Risk. Reduct. 2020, 48, 101577. [Google Scholar] [CrossRef]
  99. Chieffo, N.; Formisano, A.; Miguel Ferreira, T. Damage Scenario-Based Approach and Retrofitting Strategies for Seismic Risk Mitigation: An Application to the Historical Centre of Sant’Antimo (Italy). J. Europ. Journ. of Environ. Civil Eng. 2021, 25(11), 1929–1948. [Google Scholar] [CrossRef]
  100. Lantada, N.; Pujades, L.G.; Barbat, A.H. Earthquake Risk Scenarios in Urban Areas: A Review with Applications to the Ciutat Vella District in Barcelona, Spain. J. Internat. Journ. Architect. Herita. 2018, 12(7–8), 1112–1130. [Google Scholar] [CrossRef]
  101. Cherif, S.; Chourak, M.; Abed, M.; Pujades, L. Seismic risk in the City of Al Hoceima (North of Morocco) Using the Vulnerability Index Method, Applied in the Risk-UE Project. J. Natur. Hazar. 2017, 85, 329–347. [Google Scholar] [CrossRef]
  102. Athmani, A.; Ferreira, T.M.; Vicente, R. Seismic Risk Assessment of the Historical Urban Areas of Annaba City, Algeria. J. Internat. Journ. Architect. Herita. 2018, 12(1), 47–62. [Google Scholar] [CrossRef]
  103. Khemis, A.; Athmani, A.; Ademović, N. Rapid Application of the RISK-UE LM2 Method for the Seismic Vulnerability Analysis of the Algerian Masonry Buildings. J. Internat. Journ. Architect. Herita. 2023. [Google Scholar] [CrossRef]
  104. Athmani, A.E.; Gouasmia, A.; Ferreira, T.M. Seismic Vulnerability Assessment of Historical Masonry Buildings Located in Annaba City (Algeria) Using Non-Ad-Hoc Data Survey. J. Bull. Earthq. Eng. 2015, 13, 2283–2307. [Google Scholar] [CrossRef]
  105. Echevarría, J.J.; Monroy, M.A. AplicaciÓN Del MÉTodo De ÍNdice De Vulnerabilidad (Benedetti & Petrini) Para EvaluaciÓN De Edificaciones De MamposterÍA No Reforzada En El Barrio Surinama.
  106. Naeim, F. Earthquake Engineering—From Engineering Seismology to Performance-Based Engineering. J. Earthq. Spectra. 2005, 21(2), 609–611. [Google Scholar] [CrossRef]
  107. Garavaglia, E.; Angjeliu, G.; Cardani, G. Simplified Seismic Vulnerability Analysis of Historic Residential Buildings with Fragility Curves. J. Procedia. Structur. Integr. 2023, 44, 155–162. [Google Scholar] [CrossRef]
  108. Ferreira, T.M.; Rodrigues, H.; Vicente, R. Seismic Vulnerability Assessment of Existing Reinforced Concrete Buildings in Urban Centers. J. Sustaina. 2020, 12(5), 1996. [Google Scholar] [CrossRef]
  109. Zhang, Q.; Bai, L.; Liang, X. Experimental Study on Seismic Behavior of Steel Tube Confined High-Strength Concrete Shear Walls. J. Vibroeng. 2016, 18(4), 2263–2277. [Google Scholar] [CrossRef]
  110. Bai, L.; Zhang, C.; Xiong, E. Investigations on the Shear Mechanism of Steel-Tube-Reinforced Concrete Shear Walls with a Low Shear-Span Ratio. J. KSCE Journ. Civil Eng. 2019, 23, 7–2996. [Google Scholar] [CrossRef]
  111. Vona, M. Fragility Curves of Existing RC Buildings Based on Specific Structural Performance Levels. J. Open. Journ. Civil Eng. 2014, 4(2), 120–134. [Google Scholar] [CrossRef]
  112. Anvarsamarin, A.; Rofooei, F.R.; Nekooei, M. Soil-Structure Interaction Effect on Fragility Curve of 3D Models of Concrete Moment-Resisting Buildings. J. Shock. Vibrat. 2018, 13. [Google Scholar] [CrossRef]
  113. Tajammolian, H.; Khoshnoudian, F.; Rezaei Rad, A. Seismic Fragility Assessment of Asymmetric Structures Supported on TCFP Bearings Subjected to Near-field Earthquakes. J. Struct. 2018, 13, 66–78. [Google Scholar] [CrossRef]
  114. Nazari, Y.R.; Saatcioglu, M. Seismic Vulnerability Assessment of Concrete Shear Wall Buildings Through Fragility Analysis. J. Build. Eng. 2017, 12, 202–209. [Google Scholar] [CrossRef]
  115. Pekelnicky, R.; Poland, C. ASCE 41-13: Seismic Evaluation and Retrofit Rehabilitation of Existing Buildings. SEAOC 2012 Convention Proceedings.
  116. Pekelnicky, R. SEAOC 2012 Convention Proceedings ASCE 41-13: Seismic Evaluation and Retrofit Rehabilitation of Existing Buildings. Proceedings of the SEAOC.
  117. Farghaly, A.A. Evaluation of Seismic Retrofitting Techniques Used in Old Reinforced Concrete Buildings. J. IOSR. Eng. 2014, 4(6), 01–07. [Google Scholar] [CrossRef]
  118. Gondaliya, K.M.; Amin, J.; Bhaiya, V. Seismic Vulnerability Assessment of Indian Code Compliant RC Frame Buildings. J. Vibrant. Eng. Technol. 2023, 11, 207–231. [Google Scholar] [CrossRef]
  119. Güven, İ.T. Seismic Vulnerability Indices for Ground in Derince-Kocaeli (NW Turkey). J. Environ. Earth. Sci. 2022, 81, 167. [Google Scholar] [CrossRef]
  120. Ngenge, J.P.L.; Wafi, A.M. Assessment of Plastic Hinge in RC Structures with and without Shear Walls Applying Pushover Analysis. J. Intern. Advan. Eng. Scie. Applicat. 2020, 1(1), 1–18. [Google Scholar] [CrossRef]
  121. Alhamad, O.; Eid, W. RC Problems and Solutions: A Literature Review. J. Construct. Mater. 2020, 2, 1-1. [Google Scholar] [CrossRef]
Disclaimer/Publisher’s Note: The statements, opinions, and data contained in all publications are solely those of the individual author(s) and contributor(s) and not of MDPI and/or the editor(s). MDPI and/or the editor(s) disclaim responsibility for any injury to people or property resulting from any ideas, methods, instructions, or products referred to in the content.
Figure 1. The procedure of seismic risks and seismic vulnerability index assessment.
Figure 1. The procedure of seismic risks and seismic vulnerability index assessment.
Preprints 118228 g001
Figure 2. Vulnerability index functions corresponding to the damage factor (d) and peak ground acceleration (PGA) across various vulnerability indices [82].
Figure 2. Vulnerability index functions corresponding to the damage factor (d) and peak ground acceleration (PGA) across various vulnerability indices [82].
Preprints 118228 g002
Figure 3. A flowchart to estimate vulnerability index (SVI).
Figure 3. A flowchart to estimate vulnerability index (SVI).
Preprints 118228 g003
Table 1. The damage model of a seismic vulnerability class, as defined within the framework [75].
Table 1. The damage model of a seismic vulnerability class, as defined within the framework [75].
Intensity of Damage Severity Damage Classification
1 2 3 4 5
V
VI Few
VII Few
VIII Many Few
IX Many Few
X Many Few
XI Many
XII Most
Table 2. The parameter qualification values for reinforced concrete buildings.
Table 2. The parameter qualification values for reinforced concrete buildings.
Number Parameter Qualifications Ki Weight Wi
A B C
1 Parameter of the Type and Organization of the Resisting System 0 1 2 4
2 Quality of the Resistance System 0 1 2 1
3 Conventional Resistance -1 0 1 1
4 Site and Ground Conditions 0 1 2 1
5 Diaphragms 0 1 2 1
6 Plan Configuration 0 1 2 1
7 Vertical Configuration 0 1 3 2
8 Connections between Elements 0 1 2 1
9 Structural Members with Low Ductility 0 1 2 1
10 Non-Structural Elements 0 1 2 1
11 State of Conservation 0 1 2 1
Table 3. Case studies employing the Vulnerability Index method, utilizing both GNDT and RISK-UE methodologies.
Table 3. Case studies employing the Vulnerability Index method, utilizing both GNDT and RISK-UE methodologies.
Case Study Type of Buildings Method Applied References
Spain-Valencia Masonry buildings RISK-UE, and European Macroseismic [94]
Portugal-Liera Masonry buildings GNDT II [95]
Mexico City Masonry buildings GNDT II, and RISK-UE [96]
Mexico-Tlajomulco Masonry buildings RISK-UE [97]
China (Weinan and Zhaogia) Masonry buildings RISK-UE, and European Macroseismic [98]
Italy-Sant’Antimo Masonry buildings GNDT II, RISK-UE, and European Macroseismic [99]
Spain-Barcelona Reinforced concrete (RC) and Masonry buildings RISK-UE, and European Macroseismic [100]
Morocco- AlHociema Reinforced concrete (RC) buildings RISK-UE, and European Macroseismic [101]
Algeria-Annaba Masonry Buildings GNDT II, European Macroseismic, and RISK-UE [102,103,104]
Table 4. The advantages and disadvantages of empirical, analytical, and experimental methods.
Table 4. The advantages and disadvantages of empirical, analytical, and experimental methods.
Methods Advantages Disadvantages
Experimental Analyze the efficacy of retrofit measures and validate analytical models under controlled conditions. This can be particularly costly, time-consuming, and resource-intensive when applied to scaled or enormous structures.
Capture the intricate interplay among structural components, materials, and loading conditions to enhance comprehension and forecast seismic behavior. Uncertainty or variability may result from the impact of variables such as the test configuration, boundary conditions, and material characteristics on experimental outcomes.
Conduct physical evaluations of complete building structures or components, obtaining precise measurements of their seismic response and susceptibility. Their capacity to faithfully replicate every facet of authentic seismic incidents is restricted, particularly when confronted with exceedingly high loading conditions or infrequent earthquake scenarios.
Empirical Utilizing empirical evidence and practical knowledge, they serve the purpose of validating theoretical frameworks and acquiring pragmatic understandings. Inaccuracy results from a heavy reliance on historical data and observations, which may not comprehensively account for all determinants of seismic vulnerability.
They are frequently easier to operate and require less specialized apparatus or knowledge. The extent to which empirical methods can be applied may be constrained to regions or contexts where adequate data is accessible.
Potentially fail to sufficiently consider uncertainties or fluctuations in building attributes and seismic incidents.
Analytical Offer a methodical and theoretically grounded strategy for modeling seismic susceptibility and facilitate in-depth research and prediction of building performance. Typically, substantial computational resources and proficiency in the fields of structural engineering and numerical modeling are necessary.
Particularized construction parameters, seismic conditions, and building types can lead to modifications and enhancements. Predictions may contain inaccuracies or uncertainties due to the oversimplification or idealization of real-world conditions induced by the assumptions made in analytical models.
Frequently, they offer valuable understanding regarding the fundamental mechanisms and principles that govern seismic response, thereby aiding in the formulation of design standards and retrofit mitigation approaches. Precisely quantifying non-linear or dynamic phenomena can pose challenges, particularly when dealing with exceptionally intricate or irregular structures.
Disclaimer/Publisher’s Note: The statements, opinions and data contained in all publications are solely those of the individual author(s) and contributor(s) and not of MDPI and/or the editor(s). MDPI and/or the editor(s) disclaim responsibility for any injury to people or property resulting from any ideas, methods, instructions or products referred to in the content.
Copyright: This open access article is published under a Creative Commons CC BY 4.0 license, which permit the free download, distribution, and reuse, provided that the author and preprint are cited in any reuse.
Prerpints.org logo

Preprints.org is a free preprint server supported by MDPI in Basel, Switzerland.

Subscribe

Disclaimer

Terms of Use

Privacy Policy

Privacy Settings

© 2026 MDPI (Basel, Switzerland) unless otherwise stated