Submitted:
13 September 2024
Posted:
16 September 2024
You are already at the latest version
Abstract
Keywords:
1. Introduction
2. Background
2.1. Current State of Research
2.1.1. Classification of Privacy-Enhancing Tools
- Indistinguishability “makes it impossible to unambiguousy distinguish an entity from another entity”. For example, if a bad snooper is able to distinguish one particular user from another, they can track the user’s activities to violate their privacy; A VPN can prevent this.
- Confidentiality is the requirement to keep personal data “protected from unintended disclosure”. Encryption keeps users’ data and information protected from unintended disclosure, even if leaked.
- Deniability is “the ability to plausibly deny a fact, possession or transaction” and “is the direct opposite of accountability”. For example, when an online user employs a private search engine, no one can link him/her to their searches, enhancing deniability.
- Unlinkability “indicates that an entity cannot be linked to another entity where the entities need not necessarily be of the same class”. For example, when an online user makes use of a private browser, he/she cannot be linked to another piece of data (such as, for instance, personal identity and/or other visited sites).
2.1.2. Adoption of Privacy-Enhancing Tools
2.2. Current Study
3. Study 1: Experts
3.1. Materials and Methods
3.2. Results and Discussion
3.3. Conclusion
4. Study 2: Lay Users
4.1. Materials and Methods
4.1.1. Research Design and Procedure
4.1.2. Instrumentation and Participants
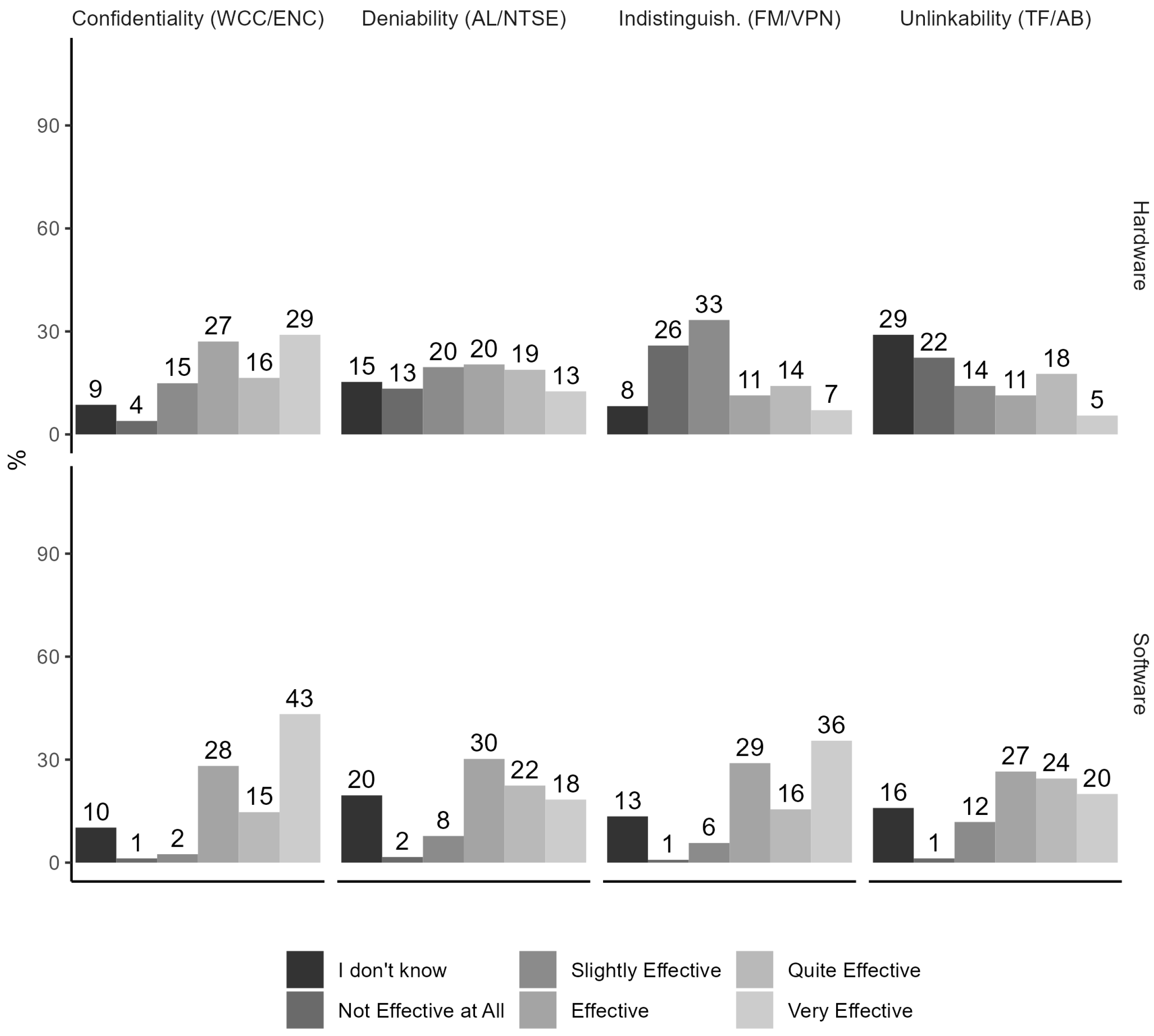
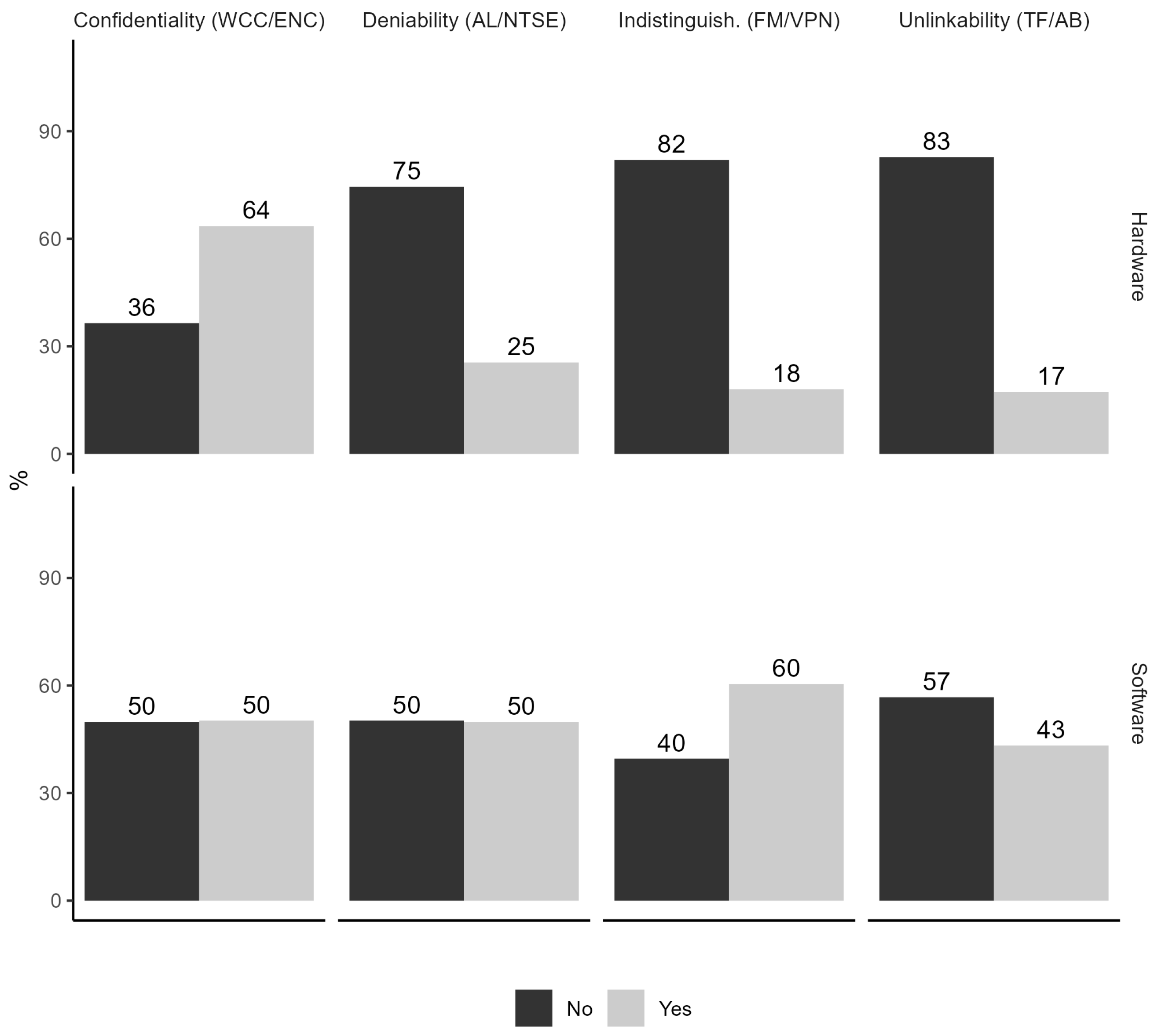
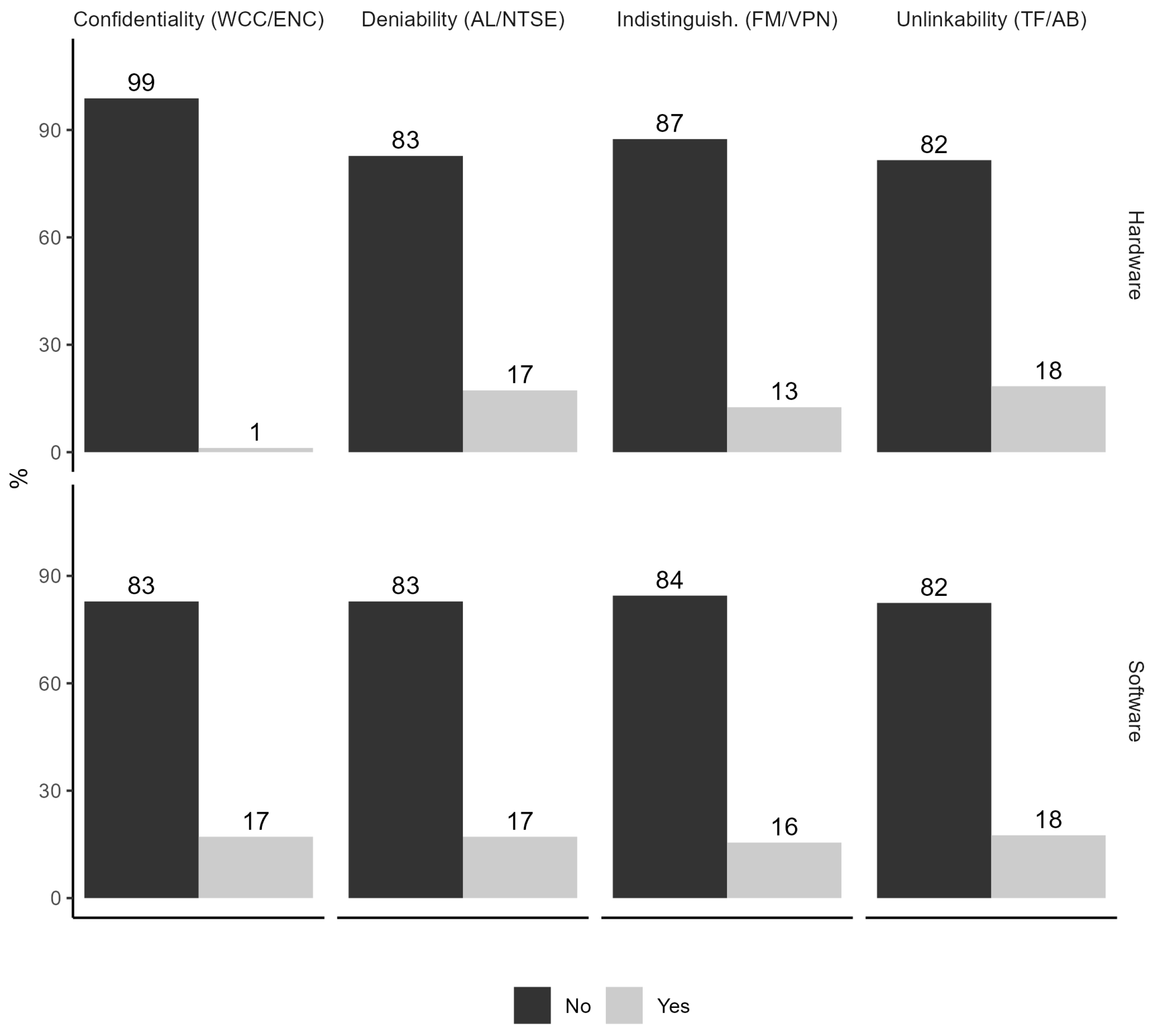
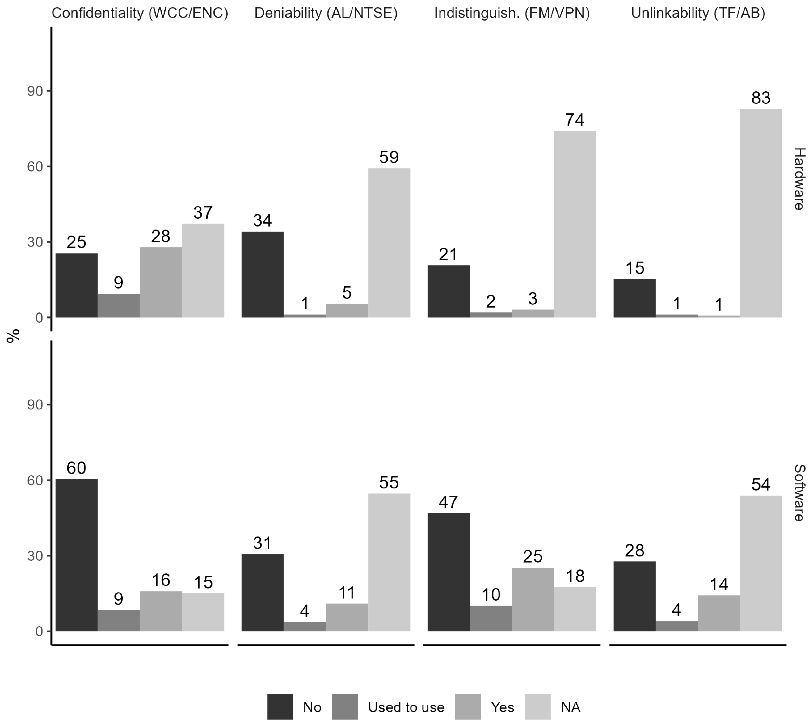
4.2. Results
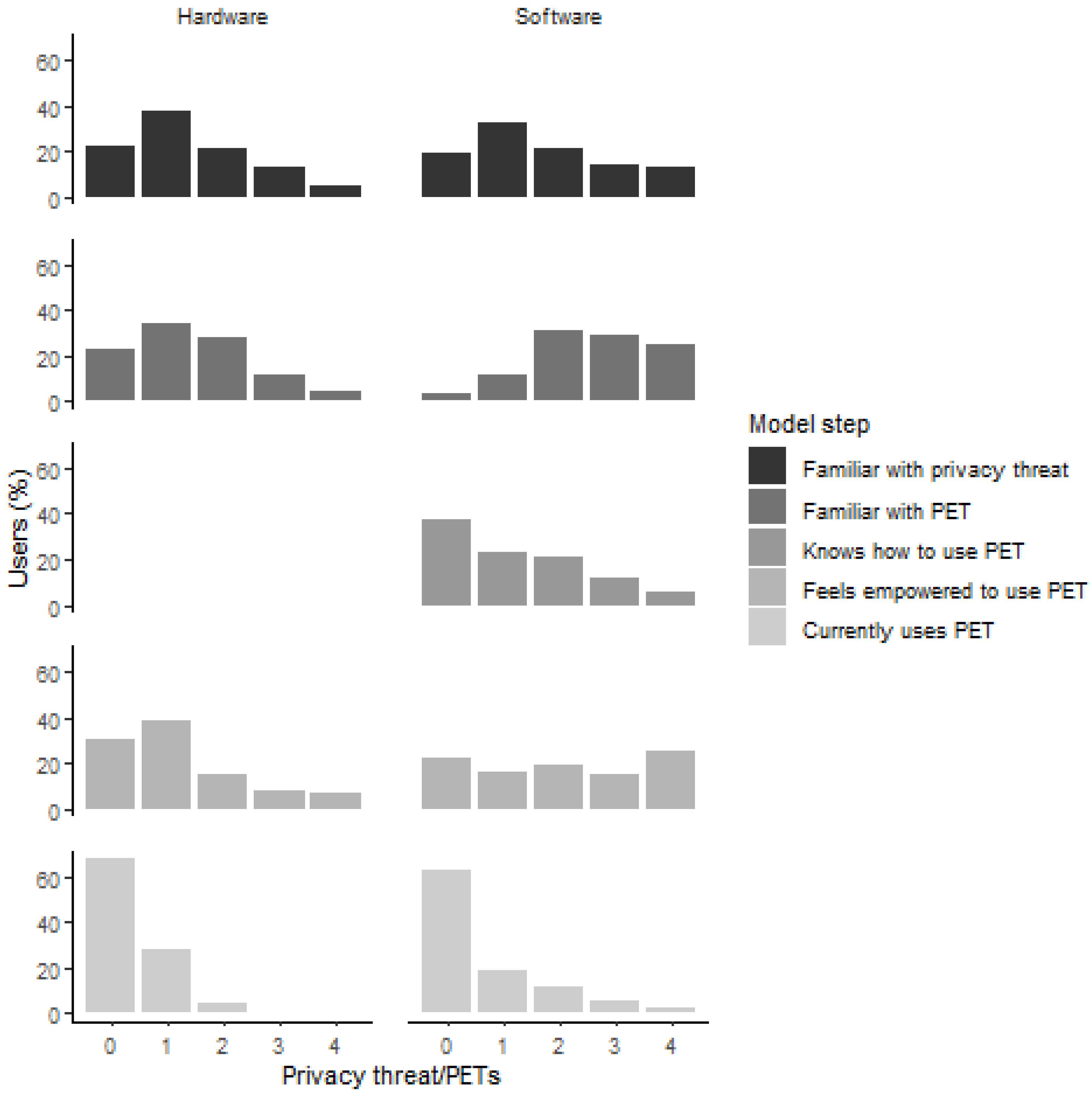
4.2.1. Adoption Step Model Stages
4.2.2. Extent of Privacy Self-Protection
4.2.3. Barriers to PET Adoption
4.3. Conclusion
5. Study 3: PEDRO Design and Implementation
5.1. Design and Implementation
5.2. Expert Evaluation
6. General Discussion
Supplementary Materials
Institutional Review Board Statement
Informed Consent Statement
Data Availability Statement
Acknowledgments
Conflicts of Interest
References
- Debatin, B.; Lovejoy, J.P.; Horn, A.K.; Hughes, B.N. Facebook and online privacy: Attitudes, behaviors, and unintended consequences. Journal of computer-mediated communication 2009, 15, 83–108. [Google Scholar] [CrossRef]
- BBC. Police Scotland cyber kiosks ’could be unlawful’, 2018. https://www.bbc.com/news/uk-scotland-46225771.
- Tibbitt, A. Privacy watchdog orders Police Scotland to up standards at mobile phone labs, 2021. https://theferret.scot/privacy-watchdog-orders-police-scotland-to-up-standards-at-mobile-phone-labs/.
- nna Gross.; Murgia, M. UK government seeks expanded use of AI-based facial recognition by police, 2023. https://www.ft.com/content/858981e5-41e1-47f1-9187-009ad660bbbd.
- BBC. Met Police to deploy facial recognition cameras, 2020. https://www.bbc.com/news/uk-51237665#.
- PureProfile. Prevalence of the use of privacy-enhancing technology, 2024. personal communication.
- Heurix, J.; Zimmermann, P.; Neubauer, T.; Fenz, S. A taxonomy for privacy enhancing technologies. Computers & Security 2015, 53, 1–17. [Google Scholar] [CrossRef]
- Rosenberg, A. Philosophy of social science; Westview Press Boulder, CO, 2008.
- Prochaska, J.O. Decision making in the transtheoretical model of behavior change. Medical Decision Making 2008, 28, 845–849. [Google Scholar] [CrossRef] [PubMed]
- Prentice-Dunn, S.; Rogers, R.W. Protection motivation theory and preventive health: Beyond the health belief model. Health Education Research 1986, 1, 153–161. [Google Scholar] [CrossRef]
- Alshehri, A.; Clarke, N.; Li, F. Privacy enhancing technology awareness for mobile devices. In Proceedings of the International Symposium on Human Aspects of Information Security & Assurance (HAISA 2019), University of Plymouth, 2019; pp. 73–88. [Google Scholar]
- O’Hagan, J.; Saeghe, P.; Gugenheimer, J.; Medeiros, D.; Marky, K.; Khamis, M.; McGill, M. Privacy-enhancing technology and everyday augmented reality: Understanding bystanders’ varying needs for awareness and consent. Proceedings of the ACM on Interactive, Mobile, Wearable and Ubiquitous Technologies 2023, 6, 1–35. [Google Scholar] [CrossRef]
- Basyoni, L.; Tabassum, A.; Shaban, K.; Elmahjub, E.; Halabi, O.; Qadir, J. Navigating Privacy Challenges in the Metaverse: A Comprehensive Examination of Current Technologies and Platforms. IEEE Internet of Things Magazine 2024, 7, 144–152. [Google Scholar] [CrossRef]
- Paul, S.K.; Knox, D. A taxonomy and gap-analysis in digital privacy education. In Proceedings of the International Symposium on Foundations and Practice of Security. Springer; 2022; pp. 221–235. [Google Scholar] [CrossRef]
- Klymenko, A.; Meisenbacher, S.; Messmer, F.; Matthes, F. Privacy-Enhancing Technologies in the Process of Data Privacy Compliance: An Educational Perspective. In Proceedings of the CIISR@ Wirtschaftsinformatik; 2023; pp. 62–69. [Google Scholar]
- Gerber, N.; Gerber, P.; Drews, H.; Kirchner, E.; Schlegel, N.; Schmidt, T.; Scholz, L. FoxIT: enhancing mobile users’ privacy behavior by increasing knowledge and awareness. In Proceedings of the Proceedings of the 7th Workshop on Socio-Technical Aspects in Security and Trust, 2018, pp.; pp. 53–63.
- Ghazinour, K.; Messner, K.; Scarnecchia, S.; Selinger, D. Digital-PASS: a simulation-based approach to privacy education. In Proceedings of the Proceedings of the 18th ACM Workshop on Privacy in the Electronic Society, 2019, pp.; pp. 162–174. [CrossRef]
- Davis, F.D.; Venkatesh, V. Toward preprototype user acceptance testing of new information systems: implications for software project management. IEEE Transactions on Engineering Management 2004, 51, 31–46. [Google Scholar] [CrossRef]
- Blut, M.; Chong, A.; Tsiga, Z.; Venkatesh, V. Meta-analysis of the unified theory of acceptance and use of technology (UTAUT): challenging its validity and charting a research agenda in the red ocean. Journal of the Association for Information Systems 2022, 23, 13–95. [Google Scholar] [CrossRef]
- Harborth, D.; Pape, S. Examining technology use factors of privacy-enhancing technologies: The role of perceived anonymity and trust. In Proceedings of the AMCIS 2018 Proceedings; 2018; p. 15. [Google Scholar]
- Lucier, D.M.; Howell, R.T.; Okabe-Miyamoto, K.; Durnell, E.; Zizi, M. We make a nice pair: Pairing the mID with a NeuroTechnology privacy enhancing technology improves mID download intentions. Computers in Human Behavior Reports 2023, 11, 100321. [Google Scholar] [CrossRef]
- Eaton, J.; Kortum, S. International technology diffusion: Theory and measurement. International Economic Review 1999, 40, 537–570. [Google Scholar] [CrossRef]
- Yuen, K.F.; Cai, L.; Qi, G.; Wang, X. Factors influencing autonomous vehicle adoption: An application of the technology acceptance model and innovation diffusion theory. Technology Analysis & Strategic Management 2021, 33, 505–519. [Google Scholar] [CrossRef]
- Rogers, R.W. A protection motivation theory of fear appeals and attitude change. The Journal of Psychology 1975, 91, 93–114. [Google Scholar] [CrossRef] [PubMed]
- Maiman, L.A.; Becker, M.H. The health belief model: Origins and correlates in psychological theory. Health Education Monographs 1974, 2, 336–353. [Google Scholar] [CrossRef]
- Ajzen, I. The theory of planned behavior. Organizational behavior and human decision processes 1991, 50, 179–211. [Google Scholar] [CrossRef]
- Yao, M.Z.; Linz, D.G. Predicting self-protections of online privacy. CyberPsychology & Behavior 2008, 11, 615–617. [Google Scholar] [CrossRef]
- Matt, C.; Peckelsen, P. Sweet idleness, but why? How cognitive factors and personality traits affect privacy-protective behavior. In Proceedings of the 2016 49th Hawaii International Conference on System Sciences (HICSS); IEEE, 2016; pp. 4832–4841. [Google Scholar]
- AlSkaif, T.; Lampropoulos, I.; Van Den Broek, M.; Van Sark, W. Gamification-based framework for engagement of residential customers in energy applications. Energy Research & Social Science 2018, 44, 187–195. [Google Scholar] [CrossRef]
- Morton, A.; Sasse, M.A. Privacy is a process, not a PET: A theory for effective privacy practice. In Proceedings of the Proceedings of the 2012 New Security Paradigms Workshop, 2012, pp.; pp. 87–104.
- Siponen, M. Stage theorizing in behavioral information systems security research. In Proceedings of the Hawaii International Conference on System Sciences, Honolulu, 3-6 January, 2024; Available online: https://hdl.handle.net/10125/106952.
- Caviglione, L.; Lalande, J.F.; Mazurczyk, W.; Wendzel, S. Analysis of human awareness of security and privacy threats in smart environments. In Proceedings of the Human Aspects of Information Security, Privacy, and Trust: Third International Conference, HAS 2015, Held as Part of HCI International 2015, Los Angeles, CA, USA, August 2-7, 2015; Proceedings 3. Springer, 2015; pp. 165–177. [Google Scholar]
- Alkhalifah, A.; Al Amro, S. Understanding the Effect of Privacy Concerns on User Adoption of Identity Management Systems. J. Comput. 2017, 12, 174–182. [Google Scholar] [CrossRef]
- Deuker, A. Addressing the privacy paradox by expanded privacy awareness–the example of context-aware services. In Proceedings of the Privacy and Identity Management for Life: 5th IFIP WG 9.2, 9.6/11.4, 11.6, 11.7/PrimeLife International Summer School, Nice, France, September 7-11, 2009; Revised Selected Papers 5. Springer, 2010; pp. 275–283. [Google Scholar]
- Story, P.; Smullen, D.; Yao, Y.; Acquisti, A.; Cranor, L.F.; Sadeh, N.; Schaub, F. Awareness, adoption, and misconceptions of web privacy tools. In Proceedings of the Proceedings on Privacy Enhancing Technologies; 2021. [Google Scholar]
- Alsaleh, M.; Alomar, N.; Alarifi, A. Smartphone users: Understanding how security mechanisms are perceived and new persuasive methods. PloS one 2017, 12, e0173284. [Google Scholar] [CrossRef] [PubMed]
- Gürses, S. PETs and their users: a critical review of the potentials and limitations of the privacy as confidentiality paradigm. Identity in the Information Society 2010, 3, 539–563. [Google Scholar] [CrossRef]
- Krontiris, I.; Benenson, Z.; Girard, A.; Sabouri, A.; Rannenberg, K.; Schoo, P. Privacy-ABCs as a case for studying the adoption of PETs by users and service providers. In Proceedings of the Privacy Technologies and Policy: Third Annual Privacy Forum, APF 2015, Luxembourg, Luxembourg, October 7-8, 2015; Revised Selected Papers 3. Springer, 2016; pp. 104–123. [Google Scholar]
- Vemou, K.; Karyda, M. A classification of factors influencing low adoption of pets among sns users. In Proceedings of the Trust, Privacy, and Security in Digital Business: 10th International Conference, TrustBus 2013, Prague, Czech Republic, August 28-29, 2013; Proceedings 10. Springer, 2013; pp. 74–84. [Google Scholar]
- Poireault, K. Russia Blocks VPN Services in Information Crackdown, 2024. https://www.infosecurity-magazine.com/news/russia-blocks-vpn-services-2024/.
- HIDE.me. Using a VPN in Restrictive Countries – How To Bypass Censorship, 2024. https://hide.me/en/blog/using-a-vpn-in-restrictive-countries/.
| 1 | |
| 2 | |
| 3 |












| Privacy Threat | Software PET | Hardware PET |
|---|---|---|
| PT1.Distinguishability | Virtual private network (VPN) | Switch off microphone on smart TV |
| PT2.Lack of confidentiality | Encryption | Webcam cover |
| PT3.Lack of deniability | Private Search Engine | Anonymous Letter |
| PT4.Linkability | Anonymous Browser | Wrapping Device (e.g., smartphone) in tin foil |
| Effectiveness Feasibility | Challenges | Barriers | How to encourage | |
| Switch off TV Microphone PT1 | 10 Effective/2 Not; 10 Feasible/2 Not | Complicated; Finding Setting; TV untrustworthy | Setting not available; Apathy; Loss of Features | Awareness |
| 2 Always Do; 1 Sometimes Do; 2 Never Do; 7 Do not own a Smart TV | ||||
| WebCam Cover PT2 | 12/12 Effective; 12/12 Feasible | None | Cost; Bulky Covers | Stories; Awareness; |
| 8 use; 2 don’t use; 1 used to but doesn’t anymore; 1 didn’t want to say | ||||
| Anonymous Letter PT3 | 12/12 Effective; 12/12 Feasible | Old Fashioned; Loss of Letter; Hard to Mail; Hard to be Anonymous; Effort | CCTV; Cost; Cumbersome; Time | Hard to see purpose; Reduce Apathy |
| 2 had written an anonymous letter; 9 hadn’t; 1 didn’t want to say | ||||
| Faraday Bag PT4 | 7 Effective/5 Not; 4 Feasible/8 Not | Not easy to use; Lack of convenience; Additional Steps | Prevents Phone working; Cost; Stigma; Perception of Paranoia | Awareness |
| 10 Never Used; 1 Prefer not to Say | ||||
| VPN PT1 | 10 Effective/2 Not; 10 Feasible/2 Not | Installing & understanding; initial setup; use of CAPTCHAs; Non-functioning websites | Choosing trustworthy providers; Skills & mental models; Device compatibility; Cost; Some devices do not support; Language; Govt prohibition | Awareness; Secure defaults; Reduce cost; Improve usability |
| 12 Use a VPN | ||||
| Encryption PT2 | 11 Effective/1 Not; 10 Feasible/2 Not | Worries about losing encryption key; Complicated | Difficult to install; Age-related accessibility issues | Awareness; Know-How; Make Encryption Default |
| 8 Use on all devices; 2 Do Not; 2 Prefer not to say | ||||
| Non-Tracking Search Engine PT3 | 11 Effective/1 Not; 11 Feasible/2 Not | Finding a suitable one; Knowing how to change default search engine; Change resistance; Lock into Google in software apps | Not knowing which one to use; Poor quality of search results; Some results not being shown; Inaccessibility | Awareness |
| 6 Use a non-tracking search engine; 5 did not; 1 preferred not to say | ||||
| Anonymous Browser PT4 | 10 Effective/2 Not; 9 Feasible/3 Not | Usability issues; Difficulty installing; Speed issues; Hard to configure; Change resistance | Too complex; Worried that it is only for bad people; Speed; TOR blocking; Govt monitoring; Language | Awareness; Do not encourage; Distribute by Default; Instructions; Feedback |
| 7 Sometimes use; 4 do not; 1 preferred not to say | ||||
| Stage 1 | Have you heard of this privacy threat? |
|---|---|
| Stage 2 | How important is it to you to prevent this kind of privacy threat? |
| Stage 3 | Have you heard of this PET? |
| Stage 4 | To what extent do you think this PET will prevent this kind of privacy threat? |
| Stage 5 | Do you know how to use this PET? |
| Stage 6 | Do you feel empowered (encouraged and supported) to use this PET? |
| Stage 7 | Are you afraid to use this PET? |
| Do you use this PET? | |
| (If used to but not anymore): Why have you stopped using this PET? (If no) Why do you not use this PET? (If yes) Why do you think other people might not use this PET? |
| Lack of Awareness or Perceived Benefit |
|---|
| The user is not aware of the privacy threat and/or a particular PET to protect themselves against the privacy threat (Stage 1). |
| The user does not feel a need to use a PET to protect this privacy aspect/does not want to protect this privacy aspect (Stage 2). |
| The user sees no need for using the PET because of their misunderstanding of the technical aspect of the privacy threat. |
| The user feels the PET (e.g., a letter) will not be effective at preserving their privacy (Stage 4). |
| The user feels that benefits of the PET are less than the effort required (‘privacy calculus’ (Stage 4) |
| The user has the habit of using convenient technology without the PET (Stage 4). |
| The protection mechanism that the PET provides is not appropriate for the activity/work the user does (Stage 4). |
| The user does not use the technology/activity that would require using the PET. |
| The user employs another solution instead of using the PET or the PET is already installed. |
| The PET is prohibitively expensive or a cheaper alternative is available. |
| Lack of Knowledge (Stage 2/5) |
| The user feels they have insufficient knowledge about the PET (Stage 2). |
| The user sees no need for using the PET because of their misunderstanding of the technical aspect of the privacy threat. |
| Lack of Trust (Stage 4) |
| The user does not trust the PET to protect their privacy. |
| Lack of Empowerment (Stage 6) |
| The user does not feel empowered to use the PET. |
| Lack of social acceptance |
| Incompatibility with ways of working or other technology |
| The PET (e.g., webcam cover) can damage hardware (webcam) or is incompatible with other technology. |
| The PET has known unfavourable consequences/side-effects. |
| Afraid to Use (Stage 7) |
| The PET poses a threat to security. |
| The PET (e.g., webcam cover) can reduce performance or functionality of hardware (webcam) and software. |
| Note. Main themes in italic. Sub-themes as plain text. |
Disclaimer/Publisher’s Note: The statements, opinions and data contained in all publications are solely those of the individual author(s) and contributor(s) and not of MDPI and/or the editor(s). MDPI and/or the editor(s) disclaim responsibility for any injury to people or property resulting from any ideas, methods, instructions or products referred to in the content. |
© 2024 by the authors. Licensee MDPI, Basel, Switzerland. This article is an open access article distributed under the terms and conditions of the Creative Commons Attribution (CC BY) license (http://creativecommons.org/licenses/by/4.0/).