Submitted:
05 September 2024
Posted:
06 September 2024
You are already at the latest version
Abstract
Keywords:
1. Introduction
1.1. Meta-Heuristic Methods
1.2. Pi Number
2. Literature Studies
3. Material and Method
3.1. Innovative Aspects of This Study
3.2. Monte-Carlo Method and Generation of Pi Number

3.3. A New Metaheuristic Method: Pi Algorithm


4. Data Clustering
4.1. Confusion Matrix and Performance Evaluation in Data Clustering
- True Positives (TP): It refers to the number of correctly predicted positive clusters/classes. It is also referred to as true positive.
- True Negatives (TN): It refers to the number of correctly predicted negative clusters/classes. It is also expressed as true negative.
- False Positives (FP): It refers to the number of incorrectly predicted positive clusters/classes. It is also referred to as false positive.
- False Negatives (FN): It refers to the number of incorrectly predicted negative clusters/classes. It is also referred to as false negative [58].
5. Experimental Results
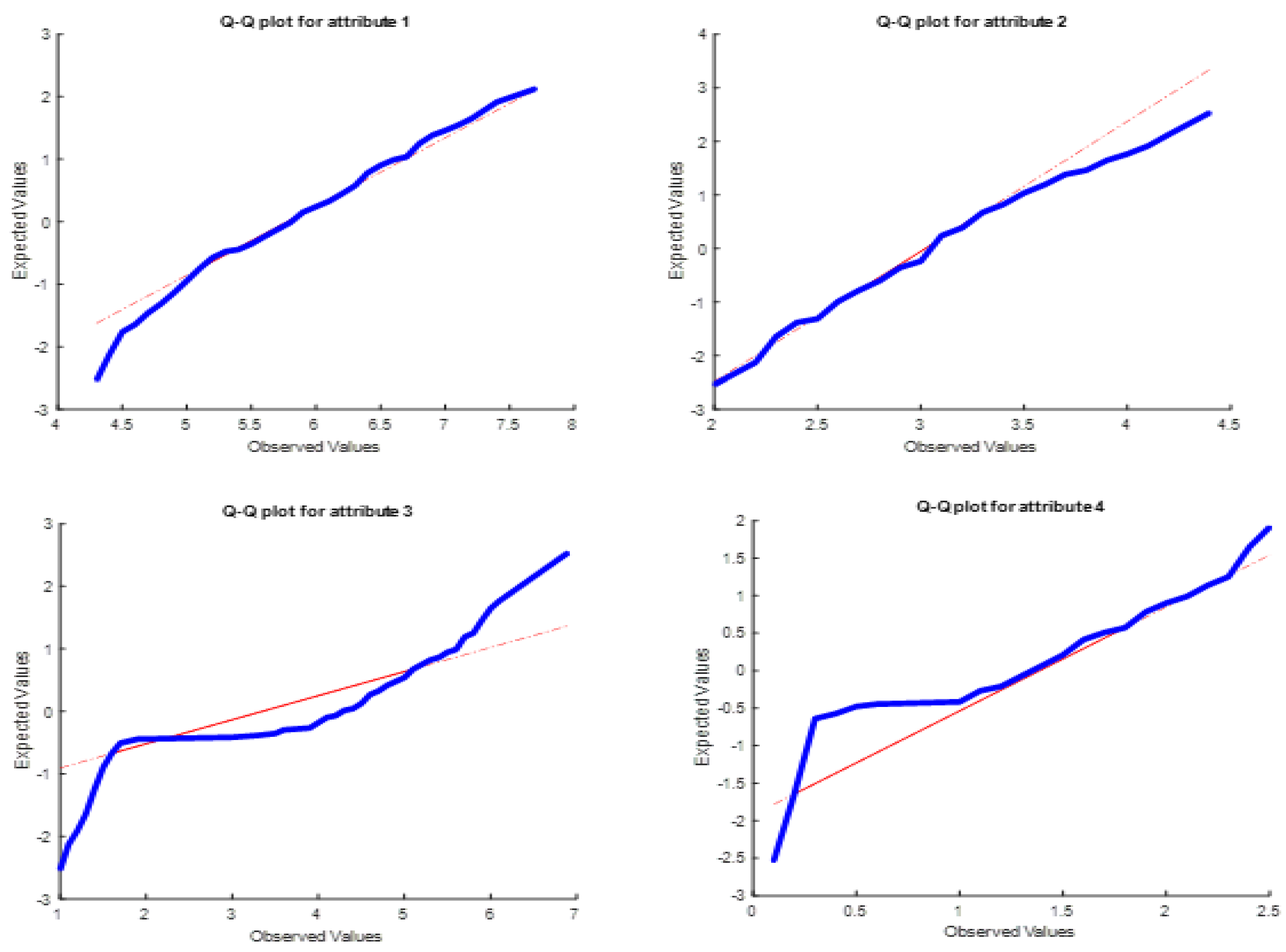
5.1. Iris Dataset Results
5.2. Occupancy Detection (OD) Dataset Results
5.3. Wisconsin Breast Cancer Original (WBCO) Dataset Results
5.4. Water Quality (WQ) Dataset Results
5.5. Banknote Authentication (BA) Dataset Results
5.6. Comparison of Experimental Results
6. Discussion
7. Conclusions
Author Contributions
Data Availability Statement
Conflicts of Interest
References
- Özer, A., Ö., Güzel, E., B.: A Hypothetical Learning Trajectory for Learning Exponential Functions. The Journal of Buca Faculty of Education. issue: 54, pp:1461-1479 (2022). [CrossRef]
- Bilgin, N., Salamcı, M. U.: Doğrusal Olmayan Sistemlerin Optimal Denetimi için Yakınsama Yaklaşımı ve Uygulaması. TOK2013, Malatya (2013).
- Özer, Ş., Baran, İ.: Doğrusal parametrik ve doğrusal olmayan gerçek sistemlerin yapay arı kolonisi algoritması kullanılarak modellenmesi. Dicle Üniversitesi Mühendislik Fakültesi Mühendislik Dergisi, Cilt:5, Sayı:2, 112-118 (2014).
- OECD Science. Technology and Innovation Outlook. Paris: OECD (2016).
- Jha, J., Vishwakarma, A., K., Chaithra, N., Nithin, A., Sayal, A., Gupta, A., Kumar, R.: Artificial Intelligence and Applications. 1st International Conference on Intelligent Computing and Research Trends (ICRT), Roorkee, India, pp. 1-4 (2023). [CrossRef]
- Tecuci, G.: Artificial intelligence. WIREs Computational Statistics, Volume 4, Issue 2, March/April, pp. 168-180 (2012). [CrossRef]
- Dirik, M.: Comparison of Recent Meta-Heuristic Optimization Algorithms Using Different Benchmark Functions. Journal of Mathematical Sciences and Modelling, 5 (3), 113-124 (2022). [CrossRef]
- Rajwar, K., Deep, K. & Das, S.: An exhaustive review of the metaheuristic algorithms for search and optimization: taxonomy, applications, and open challenges. Artificial Intelligence Review, 56, 13187–13257 (2023). [CrossRef]
- Faramarzi, A., Heidarinejad, M., Stephens, B., & Mirjalili, S.: Equilibrium optimizer: A novel optimization algorithm. Knowledge-Based Systems, 191 (2020). [CrossRef]
- Al-Baik, O. et al.: Pufferfish Optimization Algorithm: A New Bio-Inspired Metaheuristic Algorithm for Solving Optimization Problems. Biomimetics, 9, 65 (2024). [CrossRef]
- Zhou, G., Zhang, T. & Zhou, Y.: Elite Opposition-Based Bare Bones Mayfly Algorithm for Optimization Wireless Sensor Networks Coverage Problem. Arabian Journal for Science and Engineering (2024). [CrossRef]
- Li, N. et al.: Literature Research Optimizer: A New Human-Based Metaheuristic Algorithm for Optimization Problems. Arabian Journal for Science and Engineering (2024). [CrossRef]
- Amiri, M., H. et al.: Hippopotamus optimization algorithm: a novel nature-inspired optimization algorithm. Scientifc Reports,14:5032 (2024). [CrossRef]
- Wang, J. et al.: Black-winged kite algorithm: a nature-inspired meta-heuristic for solving benchmark functions and engineering problems. Artificial Intelligence Review, 57, 98 (2024). [CrossRef]
- Trojovská, E., Dehghani, M. & Leiva, V.: Drawer Algorithm: A New Metaheuristic Approach for Solving Optimization Problems in Engineering. Biomimetics, 8(2):239 (2023). [CrossRef]
- Zhang, W., Pan, K., Li, S. & Wang, Y.: Special Forces Algorithm: A novel meta-heuristic method for global optimization. Mathematics and Computers in Simulation, Volume 213, Pages: 394-417 (2023).
- Trojovský, P. & Dehghani, M.: A new bio-inspired metaheuristic algorithm for solving optimization problems based on walruses behavior. Scientific Reports,13, 8775 (2023). [CrossRef]
- Abdulhameed, S. & Rashid, T., A.: Child drawing development optimization algorithm based on child’s cognitive development. Arabian Journal for Science and Engineering, 47(2) (2022). [CrossRef]
- Yin, S., Luo, Q., Zhou, Y.: EOSMA: an equilibrium optimizer slime mould algorithm for engineering design problems. Arabian Journal for Science and Engineering, 47, 2 (2022). [CrossRef]
- Naik, M., K., Panda, R. & Abraham, A.: Normalized square difference based multilevel thresholding technique for multispectral images using leader slime mould algorithm. Journal of King Saud University-Computer and Information Sciences, 34 (2022). [CrossRef]
- Xie, L., Han, T., Zhou, H., Zhang, Z-R., Han, B. & Tang, A.: Tuna swarm optimization: a novel swarm-based metaheuristic algorithm for global optimization. Computational intelligence and Neuroscience, Article ID 9210050 (2021). [CrossRef]
- Peraza-Va´zquez, H., Peña-Delgado, A.F., Echavarría-Castillo, G., Morales-Cepeda, A., B., elasco-Álvarez, J. & Ruiz-Perez, F.: A bio-inspired method for engineering design optimization inspired by dingoes hunting strategies. Mathematical Problems in Engineering, Article ID 9107547 (2021). [CrossRef]
- Naik, M., K., Panda, R., Wunnava, A., Jena, B. & Abraham, A.: A leader Harris hawks optimization for 2-D Masi entropy-based multilevel image thresholding. Multimedia Tools and Applications, 80(28), 35543-35583 (2021). [CrossRef]
- Naik, M., K., Panda, R., Wunnava, A., Jena, B. & Abraham, A.: Adaptive opposition slime mould algorithm. Soft Computing, 25(22) (2021). [CrossRef]
- Sharma, S., Kapoor, R.: A Novel Hybrid Metaheuristic Based on Augmented Grey Wolf Optimizer and Cuckoo Search for Global Optimization. 2nd International Conference on Secure Cyber Computing and Communications (ICSCCC), 376-381 (2021). [CrossRef]
- Villuendas-Rey, Y., Velázquez-Rodríguez, J., L., Alanis-Tamez, M., D., Marco-Antonio Moreno-Ibarra, M-A., and Yáñez-Márquez, C.: Mexican Axolotl Optimization: A Novel Bioinspired Heuristic. Mathematics 9, no. 7: 781 (2021). [CrossRef]
- Mohammadi-Balani, A., Nayeri, M., D., Azar, A. & Taghizadeh-Yazdi, M.: Golden eagle optimizer: A nature-inspired metaheuristic algorithm. Computers &Industrial Engineering, 152 (2021). [CrossRef]
- Kaur, S., Awasthi, L., K., Sangal, A. L. & Dhiman, G.: Tunicate Swarm Algorithm: A new bio-inspired based metaheuristic paradigm for global optimization. Engineering Applications of Artificial Intelligence, 90,103-541 (2020). [CrossRef]
- Alsattar, H., A., Zaidan, A., A. & Bahaa, B.: Novel meta-heuristic bald eagle search optimisation algorithm. Artificial Intelligence Review, 53(3) (2020). [CrossRef]
- Houssein, E., H., Saad, M., R., Hashim, F., A., Shaban, H. & Hassaballah, M.: L´evy flight distribution: A new metaheuristic algorithm for solving engineering optimization problems. Engineering Applications of Artificial Intelligence, 94 (2020). [CrossRef]
- Horzum, T.: A Visualization Proposal for Irrational Numbers:The Number E And π. Bilecik Şeyh Edebali University Journal of Institute Social Sciences, Volume 1, pp. 42-57 (2016).
- Schnoering, H., Porthaux, P., & Vazirgiannis, M.: Assessing the Efficacy of Heuristic-Based Address Clustering for Bitcoin. ArXiv, abs/2403.00523 (2024). [CrossRef]
- Chenyang Gao1, C., Yong, X., Gao1, Y-L, Li, T.: An improved black hole algorithm designed for K-means clustering method. Complex & Intelligent Systems (2024). [CrossRef]
- Kumar, G. K., et al.: An optimized meta-heuristic clustering-based routing scheme for secured wireless sensor networks. International Journal of Communication Systems (2024). [CrossRef]
- Puri, D. & Gupta, D.: A novel linear time clustering using heuristically improved mrk-medoids based on modified squirrel search algorithm. Australian Journal of Electrical and Electronics Engineering, pp. 1-16 (2024). [CrossRef]
- Alotaibi, Y.: A New Meta-Heuristics Data Clustering Algorithm Based on Tabu Search and Adaptive Search Memory. Symmetry 14, 623 (2022). [CrossRef]
- Aghdasifam, M., Izadkhah, H. & Isazadeh, A.: A New Metaheuristic-Based Hierarchical Clustering Algorithm for Software Modularization. Complexity, Volume, Article ID 1794947 (2020). [CrossRef]
- Memari, M., Karimi, A. & Hashemi-Dezaki, H.: Reliability evaluation of smart grid using various classic and metaheuristic clustering algorithms considering system uncertainties. International Transactions on Electrical Energy Systems, 31(6) (2021). [CrossRef]
- Viswanathan, D., Kumari, S., R. & Navaneetham, P.: Soft C-means Multi objective Metaheuristic Dragonfly Optimization for Cluster Head Selection in WSN. International Journal of Intelligent Systems and Applications in Engineering, 11(2), 88–95 (2023).
- Shial, G., Sahoo, S. & Panigrahi, S.: A Nature-Inspired Hybrid Partitional Clustering Method Based on Grey Wolf Optimization and Jaya Algorithm. Computer Science, 24(3), pp. 361-405 (2023). [CrossRef]
- Prakash, K., L., Suryanarayana, G., Swapna, N., Bhaskar, T. & Kiran, A.: Optimizing K-Means Clustering using the Artificial Firefly Algorithm. International Journal of Intelligent Systems and Applications in Engineering, 11 (9), 461–468 (2023).
- Anitha, S., Suresh, T. & Sathiyasuntharam, V.: Comparative Study of Metaheuristics Cluster based Routing Protocols for Energy Aware Wireless Sensor Networks. Journal of Emerging Technologies and Innovative Research, Vol. 9, issue 9, pp. 328-340 (2022).
- Shakil, M., Mohammed, A., F., Y., Arul, R., Bashir, A., K. & Choi, J., K.: A novel dynamic framework to detect DDoS in SDN using metaheuristic clustering. Transactions on Emerging Telecommunications Technologies, vol.33, no.3 (2019). [CrossRef]
- Agarwal, P., Metha, S. & Abraham, A.: A meta-heuristic density-based subspace clustering algorithm for high dimensional data. Soft Computing, 25, 10237–10256 (2021). [CrossRef]
- Guo, C., Tang, H. & Niu, B.: Evolutionary state-based novel multi-objective periodic bacterial foraging optimization algorithm for data clustering. Expert Systems, 39(5), pp. 1-30 (2021). [CrossRef]
- Senouci, O. , Harous, S. & Aliouat, Z.: A New Heuristic Clustering Algorithm Based on RSU for Internet of Vehicles. Arabian Journal for Science and Engineering, 44:9735–9753 (2019). [CrossRef]
- Khedr, A., M. et al.: ESSAIoV: Enhanced Sparrow Search Algorithm-Based Clustering for Internet of Vehicles. Arabian Journal for Science and Engineering, 49:2945–2971 (2024). [CrossRef]
- Gültekin, A., T. & Asyalı M., H.: Pi Sayısının Monte-Carlo Methodu ve Gregory/Leibniz Formülüyle Hesaplanması. Yaşar Üniversitesi E-Dergisi, c. 2, sayı. 7, ss. 751-760 (2007).
- Metropolis N. & Ulam S.: The Monte Carlo Method. Journal of the American Statistical Association., 44, 335-341 (1949). [CrossRef]
- Metropolis, N., Rosenbluth, A., W., Rosenbluth, M., N., Teller, A., H. & Teller, E.: Equation of State Calculations by Fast Computing Machines. Journal of Chemical Physics, 21, 1087- 1092 (1953). [CrossRef]
- Baykal, G.: Investigation of the Implantation Profiles of Positrons in Gold Media with Monte Carlo. Master Thesis, Balıkesir University, Institute of Science, Department of Physics, Balıkesir (2011).
- Tavukçu, D.: Implementation of Monte Carlo technique to numerical integrations and electromagnetic integral equations. Master Thesis, İstanbul Technical University Institute of Science, Department of Electronics and Communications, İstanbul (2000).
- Oluwatobi, A. A., Amiri, I., S. & Fazeldehkordi, E.: A Machine-Learning Approach to Phishing Detection and Defense, Chapter 3 - Research Methodology. pp:35—43, Syngress (2015). [CrossRef]
- Taşkın, Ç. & Emel, G., G.: Clustering Approaches in Data Mining and an Application with Kohonen Networks in Retailing Sector. Süleyman Demirel University the Journal of Faculty of Economics and Administrative Sciences, vol:15, No:3 pp:395-409 (2010).
- Avşar, İ., İ.: Clustering of Türkiye and European Union Countries by Length of Railroad Lines. Journal of The Faculty of Applied Sciences of Tarsus University, vol: 3, issue:1, pp. 13-25 (2023).
- Çatak, F., Ö.: Development of data mining software framework by using map/reduce method in cloud computing systems. Phd. Thesis, İstanbul University Institute of Science, Department of Electronics, Informatics Program, İstanbul (2014).
- Kaelbling, L., P., Littman, M., L. & Moore, A., W.: Reinforcement Learning: A Survey. Journal of Artificial Intelligence Research, 4, 237-285 (1996). [CrossRef]
- Yeşildal, G.: Diagnosing COVID-19 Disease through Medical Images. Master Thesis, Ankara University Institute of Science, Department of Computer Engineering, Ankara (2022).
- Aslanyürek, M. & Mesut, A.: A New Method to Measure Clustering Performance and its Evaluation for Text Clustering. European Journal of Science and Technology, issue: 27, pp. 53-65 (2021). [CrossRef]
- Iris – UCI Machine Learning Repository: https://archive.ics.uci.edu/dataset/53/iris (2023). Accessed December 2023.
- Şahin, E.: Spam / ham e-mail classification using machine learning methods based on bag of words (BOW) technique. Master Thesis, Hacettepe University Institute of Science, Department of Computer Engineering, Ankara (2018).
- Occupancy Detection - UCI Machine Learning Repository: https://archive.ics.uci.edu/dataset/357/occupancy+detection (2023). Accessed December 2023.
- Breast Cancer Wisconsin (Original) - UCI Machine Learning Repository: https://archive.ics.uci.edu/dataset/15/ breast+cancer+wisconsin+original (2023). Accessed December 2023.
- Water quality: https://www.kaggle.com/datasets/mssmartypants/water-quality/data (2023). Accessed December 2023.
- Banknote authentication - UCI Machine Learning Repository: https://archive.ics.uci.edu/dataset/267/banknote+authentication (2023). Accessed December 2023. [CrossRef]
- Leela, V., Sakthi Priya, K. & Manikandan, R.: Comparative Study of Clustering Techniques in Iris Data Sets. World Applied Sciences Journal, 29 (Data Mining and Soft Computing Techniques): 24-29 (2014).
- Huang, X. & Gel, Y., R.: CRAD: Clustering with Robust Autocuts and Depth. IEEE International Conference on Data Mining, 925-930 (2017). [CrossRef]
- Prabhakaran, K., Dridi, J., Amayri, M. & Bouguila, N.: Explainable K-Means Clustering for Occupancy Estimation. Procedia Computer Science, 203, 326–333 (2022). [CrossRef]
- Fährmann, D., Boutros, F., Kubon, P., Kirchbuchner, F., Kuijper, A. & Damer, N.: Ubiquitous multi-occupant detection in smart environments. Neural Computing and Applications (2023). [CrossRef]
- Pantazi, S., Kagolovsky, Y. & Moehr, J., R.: Cluster Analysis of Wisconsin Breast Cancer Dataset Using Self-Organizing Maps. Studies in Health Technology and Informatics, 90:431-6 (2002).
- Dubey, A., K., Gupta, U. & Jain, S.: Analysis of k-means clustering approach on the breast cancer Wisconsin dataset. International Journal of Computer Assisted Radiology and Surgery, 11(11), pp. 2033-2047 (2016). [CrossRef]
- Ayoob, N., K.: Breast Cancer Diagnosis Using K-means Methodology. Journal of Babylon University/Pure and Applied Sciences, Vol. (26), No:1, pp. 9-16 (2018). [CrossRef]
- Lin, H. & Ji, Z.: Breast Cancer Prediction Based on K-Means and SOM Hybrid Algorithm. Journal of Physics: Conference Series, 1624 (2020). [CrossRef]
- Ultimate guide to K-Nearest Neighbors (K-NN) Eliška Bláhová: https://www.kaggle.com/code/elisthefox/ultimate-guide-to-k-nearest-neighbors-k-nn/notebook (2024). Accessed February 2024.
- Khan, M. & Alam, M.: Big Data Analytics to Authenticate Bank Notes Using K-Means Clustering. Helix the Scientific Explorer, 11(3) (2021). [CrossRef]
- Alguliyev, R., M., Aliguliyev, R., M., Sukhostat, L., V.: Weighted consensus clustering and its application to Big data. Expert Systems with Applications, Vol. 150 (2020). [CrossRef]
- Jadhav, A., N. & Gomathi N.: Kernel-Based Exponential Grey WOLF Optimizer for Rapid Centroid Estimation in Data Clustering. Jurnal Teknologi, 78(11), pp. 9-22 (2020). [CrossRef]
- Özkan, Y.: Veri Madenciliği Yöntemleri. Papatya Yayıncılık Eğitim (2008).
- Şen, A. & Gökgöz, T.: Kümelemede Normalleştirmenin Etkisi. TMMOB Harita ve Kadastro Mühendisleri Odası, 14. Türkiye Harita Bilimsel ve Teknik Kurultayı, Ankara (2013).
- Altınok, Y.: Comparison of Hierarchical Clustering Algorithms in Data Mining with Applications. Master Thesis, Marmara University Institute of Social Sciences, Department of Econometrics, Department of Statistics, İstanbul (2019).
- Can, A.: SPSS ile Bilimsel Araştırma Sürecinde Nicel Veri Analizi. Pegem Akademi, 7. Baskı, Ankara (2019).
- Aldenderfer, M. S. & Blashfield, R., K.: Cluster Analysis. Beverly Hills: Sage Publications (1984).
- Edelmann, D., Móri, T., F. & Székely, G., J.: On relationships between the Pearson and the distance correlation coefficients. Statistics & Probability Letters., vol. 169, no. 108960, p. 108960 (2021). [CrossRef]



















| x | y |
|---|---|
| 1 | 7 |
| 2 | 9 |
| 3 | 11 |
| Algorithm | Year |
|---|---|
| Pufferfish Optimization Algorithm (POA) [10] | 2024 |
| Elite Opposition-Based Bare Bones Mayfly Algorithm (EOBBMA) [11] | 2024 |
| Literature Research Optimizer (LRO) [12] | 2024 |
| Hippopotamus Optimization Algorithm [13] | 2024 |
| Black-winged kite algorithm (BWKA) [14] | 2024 |
| Drawer Algorithm (DA) [15] | 2023 |
| Special Forces Algorithm (SFA) [16] | 2023 |
| Walrus Optimization Algorithm (WaOA) [17] | 2023 |
| Child Drawing Development Optimization Algorithm (CDDO) [18] | 2022 |
| Equilibrium Slime Mould Algorithm (ESMA) [19] | 2022 |
| Leader Slime Mould Algorithm (LSMA) [20] | 2022 |
| Tuna Swarm Optimization (TSO) [21] | 2021 |
| Dingo Optimization Algorithm (DOA) [22] | 2021 |
| Leader Harris hawks optimization (LHHO) [23] | 2021 |
| Adaptive Opposition Slime Mould Algorithm (AOSMA) [24] | 2021 |
| Hybrid Augmented Grey Wolf Optimizer & Cuckoo Search (AGWOCS) [25] | 2021 |
| Mexican Axolotl Optimization (MAO) [26] | 2021 |
| Golden Eagle Optimizer (GEO) [27] | 2021 |
| Tunicate Swarm Algorithm (TSA) [28] | 2020 |
| Bald eagle search Optimization algorithm (BES) [29] | 2020 |
| Lévy Flight Distribution (LFD) [30] | 2020 |
| best | 5.6502 | 3 | 4.2250 | 1.1918 |
| pi | 0.78 | 0.7640 | 0.7880 | 0.8 |
| Accuracy | Precision | Recall | F1 | |
|---|---|---|---|---|
| Iris-Setosa | 0,983 | 0,952 | 1 | 0,975 |
| Iris-Versicolor | 0,95 | 0,870 | 1 | 0,93 |
| Iris-Virginica | 0,933 | 1 | 8 | 0,888 |
| Average | 0,955 | 0,941 | 0,933 | 0,931 |
| best | 22.7944 | 34.7413 | 80.0402 | 453.5413 | 0.0056 |
| pi | 0.7920 | 0.7800 | 0.7680 | 0.7240 | 0.8080 |
| Accuracy | Precision | Recall | F1 | |
|---|---|---|---|---|
| Not-occupied | 0,95 | 1 | 0,90 | 0,947 |
| Occupied | 0,95 | 0,909 | 1 | 0,952 |
| Average | 0,95 | 0,955 | 0,95 | 0,950 |
| best | 1.9801 | 3.4003 | 1.9869 | 2.8711 | 1.9530 |
| 3.6583 | 2.5123 | 1.1837 | 3.6278 | ||
| pi | 0.7560 | 0.8280 | 0.7680 | 0.8280 | 0.9080 |
| 0.8080 | 0.7240 | 0.6880 | 0.7480 |
| Accuracy | Precision | Recall | F1 | |
|---|---|---|---|---|
| Benign | 0,94 | 0,958 | 0,92 | 0,939 |
| Malignant | 0,94 | 0,923 | 0,96 | 0,941 |
| Average | 0,94 | 0,941 | 0,94 | 0,94 |
| 1.0810 13.3534 0.5427 1.1871 0.0873 2.7346 0.3375 0.6903 0.8522 0.1256 | |
| best | 0.4316 0.1424 8.8613 1.4745 0.0066 10.6695 2.7919 0.0316 0.3181 0.0312 |
| Pi | 0.7520 0.7840 0.7320 0.7400 0.8040 0.8200 0.8040 0.7600 0.8400 0.7800 0.8160 0.7400 0.7720 0.7120 0.8000 0.7440 0.8120 0.8160 0.7280 0.8400 |
| Accuracy | Precision | Recall | F1 | |
|---|---|---|---|---|
| Safe | 0,92 | 0,868 | 0,99 | 0,925 |
| Not safe | 0,92 | 0,988 | 0,85 | 0,914 |
| Average | 0,92 | 0,928 | 0,92 | 0,92 |
| best | 0.4944 | 2.3023 | 0.6230 | -0.5922 |
| pi | 0.8360 | 0.7720 | 0.8160 | 0.7200 |
| Accuracy | Precision | Recall | F1 | |
|---|---|---|---|---|
| Genuine | 0,67 | 0,74 | 0,6491 | 0,6916 |
| Forged | 0,67 | 0,6 | 0,6977 | 0,6452 |
| Average | 0,67 | 0,67 | 0,6734 | 0,6684 |
| Accuracy | Precision | Recall | F1 | |
|---|---|---|---|---|
| Iris | 0,955 | 0,941 | 0,933 | 0,931 |
| OD | 0,95 | 0,955 | 0,95 | 0,95 |
| WBCO | 0,94 | 0,941 | 0,94 | 0,94 |
| WQ | 0,92 | 0,928 | 0,92 | 0,92 |
| BA | 0,67 | 0,67 | 0,6734 | 0,6684 |
| Iris Dataset | ||||
|---|---|---|---|---|
| Author(s) | Accuracy | Precision | Recall | F1 |
| This study | 0,955 | 0,941 | 0,933 | 0,931 |
| Leela et al. [66] | 0,85 | - | - | - |
| Huang and Gel [67] | 0,78 | - | - | - |
| Gyanaranjan Shial et al. [40] | 0,969 | - | - | 0,969 |
| LNC. Prakash K. et al. [41] | - | - | - | 0,82 |
| Occupancy Detection Dataset | ||||
| This study | 0,95 | 0,955 | 0,95 | 0,950 |
| Prabhakaran et al. [68] | - | 0,783 | 0,621 | 0,845 |
| Fährmann et al. [69] | 0,9590 | - | - | - |
| Huang and Gel [67] | 0,77 | - | - | - |
| Wisconsin Breast Cancer Original Dataset | ||||
| This study | 0,94 | 0,941 | 0,94 | 0,94 |
| Pantazi et al. [70] | 0,953 | - | - | - |
| Dubey et al. [71] | 0,92 | - | - | - |
| Ayoob [72] | 0,965 | - | - | - |
| Lin and Ji [73] | - | 0,921 | 0,983 | 0,95 |
| Water Quality Dataset | ||||
| This study | 0,92 | 0,928 | 0,92 | 0,92 |
| Eliška Bláhová [74] | 0,855 | 0,791 | 0,973 | 0,873 |
| Banknote Authentication | ||||
| This study | 0,67 | 0,67 | 0,6734 | 0,6684 |
| Guo et al. [45] | 0,8599 | - | - | - |
| Khan M. and Alam M. [75] | 0,87 | - | - | - |
| Alguliyev et al. [76] | - | - | - | 0,6219 |
| Huang and Gel [67] | 0,86 | - | - | - |
| Jadhav and Gomathi [77] | 62,64 | - | - | 91,25 |
| 1 | 2 | 3 | 4 | |
|---|---|---|---|---|
| 1 | 1 | -0,126 | 0,851 | 0,803 |
| 2 | -0,126 | 1 | -0,447 | -0,357 |
| 3 | 0,851 | -0,447 | 1 | 0,963 |
| 4 | 0,803 | -0,357 | 0,963 | 1 |
| 1 | 2 | 3 | 4 | 5 | |
|---|---|---|---|---|---|
| 1 | 1 | -0,155 | 0,661 | 0,563 | 0,139 |
| 2 | -0,155 | 1 | 0,016 | 0,435 | 0,955 |
| 3 | 0,661 | 0,016 | 1 | 0,668 | 0,213 |
| 4 | 0,563 | 0,435 | 0,668 | 1 | 0,627 |
| 5 | 0,139 | 0,955 | 0,213 | 0,627 | 1 |
| 1 | 2 | 3 | 4 | 5 | 6 | 7 | 8 | 9 | |
|---|---|---|---|---|---|---|---|---|---|
| 1 | 1 | 0,656 | 0,667 | 0,510 | 0,537 | 0,633 | 0,584 | 0,556 | 0,361 |
| 2 | 0,656 | 1 | 0,900 | 0,731 | 0,761 | 0,724 | 0,761 | 0,719 | 0,479 |
| 3 | 0,667 | 0,900 | 1 | 0,699 | 0,720 | 0,742 | 0,744 | 0,717 | 0,454 |
| 4 | 0,510 | 0,731 | 0,699 | 1 | 0,615 | 0,687 | 0,664 | 0,607 | 0,448 |
| 5 | 0,537 | 0,761 | 0,720 | 0,615 | 1 | 0,600 | 0,636 | 0,636 | 0,481 |
| 6 | 0,633 | 0,724 | 0,742 | 0,687 | 0,600 | 1 | 0,712 | 0,619 | 0,338 |
| 7 | 0,584 | 0,761 | 0,744 | 0,664 | 0,636 | 0,712 | 1 | 0,674 | 0,381 |
| 8 | 0,556 | 0,719 | 0,717 | 0,607 | 0,636 | 0,619 | 0,674 | 1 | 0,415 |
| 9 | 0,361 | 0,479 | 0,454 | 0,448 | 0,481 | 0,338 | 0,381 | 0,415 | 1 |
| 1 | 2 | 3 | 4 | 5 | 6 | 7 | 8 | 9 | 10 | 11 | 12 | 13 | 14 | 15 | 16 | 17 | 18 | 19 | 20 | |
|---|---|---|---|---|---|---|---|---|---|---|---|---|---|---|---|---|---|---|---|---|
| 1 | 1 | 0,062 | 0,247 | 0,293 | -0,075 | 0,363 | 0,347 | 0,163 | -0,010 | -0,100 | -0,082 | 0,017 | -0,007 | 0,235 | -0,008 | 0,347 | 0,238 | 0,000 | 0,329 | 0,014 |
| 2 | 0,062 | 1 | 0,050 | 0,070 | -0,001 | 0,105 | 0,122 | 0,015 | -0,027 | 0,060 | 0,105 | -0,036 | 0,008 | -0,067 | 0,021 | 0,086 | 0,049 | 0,030 | 0,075 | 0,015 |
| 3 | 0,247 | 0,050 | 1 | 0,371 | 0,329 | 0,368 | 0,324 | -0,035 | 0,004 | 0,040 | 0,011 | -0,089 | 0,028 | 0,308 | -0,016 | 0,352 | 0,226 | -0,009 | 0,319 | 0,001 |
| 4 | 0,293 | 0,070 | 0,371 | 1 | -0,030 | 0,451 | 0,420 | 0,062 | -0,018 | 0,095 | -0,008 | -0,047 | -0,015 | 0,311 | 0,001 | 0,464 | 0,288 | 0,033 | 0,434 | -0,004 |
| 5 | -0,075 | -0,001 | 0,329 | -0,030 | 1 | -0,133 | -0,147 | -0,104 | 0,004 | -0,083 | 0,026 | -0,035 | 0,025 | -0,010 | -0,016 | -0,129 | -0,090 | 0,010 | -0,145 | -0,005 |
| 6 | 0,363 | 0,105 | 0,368 | 0,451 | -0,133 | 1 | 0,559 | 0,113 | 0,006 | 0,146 | -0,003 | -0,034 | -0,008 | 0,378 | -0,023 | 0,591 | 0,389 | 0,013 | 0,525 | -0,006 |
| 7 | 0,347 | 0,122 | 0,324 | 0,420 | -0,147 | 0,559 | 1 | 0,108 | -0,002 | 0,133 | -0,005 | -0,053 | -0,017 | 0,336 | -0,023 | 0,527 | 0,318 | 0,033 | 0,514 | -0,007 |
| 8 | 0,163 | 0,015 | -0,035 | 0,062 | -0,104 | 0,113 | 0,108 | 1 | 0,012 | 0,147 | 0,003 | 0,121 | -0,001 | 0,159 | 0,014 | 0,097 | 0,023 | -0,007 | 0,083 | 0,006 |
| 9 | -0,010 | -0,027 | 0,004 | -0,018 | 0,004 | 0,006 | -0,002 | 0,012 | 1 | 0,016 | 0,020 | 0,014 | -0,009 | -0,015 | -0,005 | -0,017 | 0,009 | 0,023 | 0,014 | 0,015 |
| 10 | -0,100 | 0,060 | 0,040 | 0,095 | -0,083 | 0,146 | 0,133 | 0,147 | 0,016 | 1 | 0,612 | -0,031 | -0,040 | 0,240 | -0,006 | 0,135 | 0,092 | -0,006 | 0,139 | 0,042 |
| 11 | -0,082 | 0,105 | 0,011 | -0,008 | 0,026 | -0,003 | -0,005 | 0,003 | 0,020 | 0,612 | 1 | 0,015 | -0,049 | -0,103 | 0,012 | -0,005 | -0,026 | -0,036 | 0,004 | 0,055 |
| 12 | 0,017 | -0,036 | -0,089 | -0,047 | -0,035 | -0,034 | -0,053 | 0,121 | 0,014 | -0,031 | 0,015 | 1 | 0,033 | -0,058 | -0,007 | -0,031 | -0,053 | 0,031 | -0,063 | -0,011 |
| 13 | -0,007 | 0,008 | 0,028 | -0,015 | 0,025 | -0,008 | -0,017 | -0,001 | -0,009 | -0,040 | -0,049 | 0,033 | 1 | 0,011 | -0,021 | -0,022 | -0,025 | 0,041 | 0,001 | -0,001 |
| 14 | 0,235 | -0,067 | 0,308 | 0,311 | -0,010 | 0,378 | 0,336 | 0,159 | -0,015 | 0,240 | -0,103 | -0,058 | 0,011 | 1 | -0,020 | 0,344 | 0,271 | 0,010 | 0,331 | -0,012 |
| 15 | -0,008 | 0,021 | -0,016 | 0,001 | -0,016 | -0,023 | -0,023 | 0,014 | -0,005 | -0,006 | 0,012 | -0,007 | -0,021 | -0,020 | 1 | 0,003 | 0,031 | 0,034 | 0,004 | 0,033 |
| 16 | 0,347 | 0,086 | 0,352 | 0,464 | -0,129 | 0,591 | 0,527 | 0,097 | -0,017 | 0,135 | -0,005 | -0,031 | -0,022 | 0,344 | 0,003 | 1 | 0,370 | 0,014 | 0,503 | -0,001 |
| 17 | 0,238 | 0,049 | 0,226 | 0,288 | -0,090 | 0,389 | 0,318 | 0,023 | 0,009 | 0,092 | -0,026 | -0,053 | -0,025 | 0,271 | 0,031 | 0,370 | 1 | 0,030 | 0,352 | 0,019 |
| 18 | 0,000 | 0,030 | -0,009 | 0,033 | 0,010 | 0,013 | 0,033 | -0,007 | 0,023 | -0,006 | -0,036 | 0,031 | 0,041 | 0,010 | 0,034 | 0,014 | 0,030 | 1 | -0,020 | -0,025 |
| 19 | 0,329 | 0,075 | 0,319 | 0,434 | -0,145 | 0,525 | 0,514 | 0,083 | 0,014 | 0,139 | 0,004 | -0,063 | 0,001 | 0,331 | 0,004 | 0,503 | 0,352 | -0,020 | 1 | 0,008 |
| 20 | 0,014 | 0,015 | 0,001 | -0,004 | -0,005 | -0,006 | -0,007 | 0,006 | 0,015 | 0,042 | 0,055 | -0,011 | -0,001 | -0,012 | 0,033 | -0,001 | 0,019 | -0,025 | 0,008 | 1 |
| 1 | 2 | 3 | 4 | |
|---|---|---|---|---|
| 1 | 1,000 | 0,265 | -0,377 | 0,275 |
| 2 | 0,265 | 1,000 | -0,789 | -0,524 |
| 3 | -0,377 | -0,789 | 1,000 | 0,322 |
| 4 | 0,275 | -0,524 | 0,322 | 1,000 |
Disclaimer/Publisher’s Note: The statements, opinions and data contained in all publications are solely those of the individual author(s) and contributor(s) and not of MDPI and/or the editor(s). MDPI and/or the editor(s) disclaim responsibility for any injury to people or property resulting from any ideas, methods, instructions or products referred to in the content. |
© 2024 by the authors. Licensee MDPI, Basel, Switzerland. This article is an open access article distributed under the terms and conditions of the Creative Commons Attribution (CC BY) license (http://creativecommons.org/licenses/by/4.0/).