Submitted:
03 September 2024
Posted:
04 September 2024
You are already at the latest version
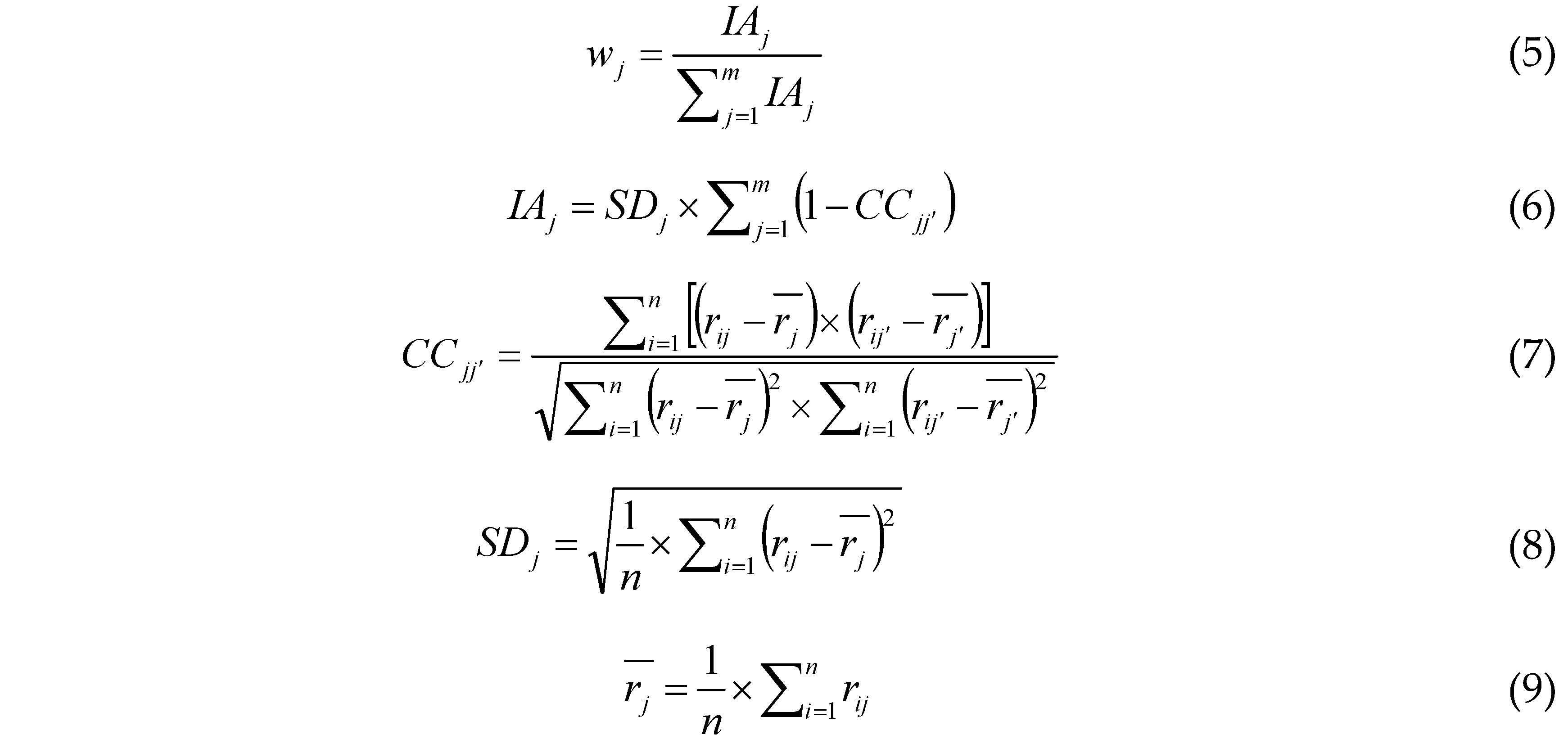
Abstract
Keywords:
1. Introduction
2. Methods
Step 1. Collect basic data information on transboundary water allocation system.

Step 2. Aggregate multiple characteristic factors that affect the decision-making agent’s external power into their negotiation weight coefficients.








Step 4. Propose the water allocation method using the asymmetric power index approach.



3. Study Area and Data
3.1. Study Area
3.2. Data Collection and Analysis
4. Results and Discussion

| Allocation scenarios | Decision-making agents | PRO | SPI-1 | SPI-2 | API-1 | API-2 | |||||
| xi | di | xi | di | xi | di | xi | di | xi | di | ||
| Available water quantity under the “87” Water Allocation Plan | Qinghai | 9.17 | 1.81 | 9.17 | 1.81 | 9.00 | 1.97 | 10.97 | 0.00 | 10.97 | 0.00 |
| Sichuan | 0.23 | 0.04 | 0.23 | 0.04 | 0.22 | 0.05 | 0.20 | 0.07 | 0.19 | 0.08 | |
| Gansu | 28.53 | 5.63 | 28.53 | 5.63 | 28.01 | 6.15 | 26.04 | 8.12 | 25.76 | 8.40 | |
| Ningxia | 35.09 | 6.92 | 35.09 | 6.92 | 34.46 | 7.56 | 21.40 | 20.62 | 21.17 | 20.85 | |
| Inner Mongolia | 67.28 | 13.27 | 67.28 | 13.27 | 68.12 | 12.43 | 59.96 | 20.59 | 62.04 | 18.52 | |
| Shaanxi | 42.07 | 8.30 | 42.07 | 8.30 | 41.30 | 9.06 | 46.50 | 3.87 | 45.97 | 4.39 | |
| Shanxi | 35.41 | 6.99 | 35.41 | 6.99 | 34.77 | 7.63 | 33.80 | 8.60 | 33.43 | 8.97 | |
| Henan | 54.68 | 10.79 | 54.68 | 10.79 | 53.69 | 11.78 | 58.28 | 7.19 | 57.60 | 7.87 | |
| Shandong | 77.55 | 15.30 | 77.55 | 15.30 | 80.42 | 12.43 | 92.85 | 0.00 | 92.85 | 0.00 | |
| Total | 350.00 | 69.06 | 350.00 | 69.06 | 350.00 | 69.06 | 350.00 | 69.06 | 350.00 | 69.06 | |
| Qinghai | 8.55 | 2.42 | 8.55 | 2.42 | 8.55 | 2.42 | 10.97 | 0.00 | 10.97 | 0.00 | |
| Available water quantity under the Yellow River Basin Plan | Sichuan | 0.21 | 0.06 | 0.21 | 0.06 | 0.21 | 0.06 | 0.18 | 0.09 | 0.18 | 0.09 |
| Gansu | 26.62 | 7.54 | 26.62 | 7.54 | 26.62 | 7.54 | 23.79 | 10.37 | 23.79 | 10.37 | |
| Ningxia | 32.74 | 9.27 | 32.74 | 9.27 | 32.74 | 9.28 | 19.60 | 22.42 | 19.60 | 22.42 | |
| Inner Mongolia | 62.78 | 17.77 | 62.78 | 17.77 | 62.76 | 17.79 | 53.91 | 26.64 | 53.91 | 26.64 | |
| Shaanxi | 39.25 | 11.11 | 39.25 | 11.11 | 39.24 | 11.12 | 42.07 | 8.29 | 42.07 | 8.29 | |
| Shanxi | 33.04 | 9.36 | 33.04 | 9.36 | 33.04 | 9.36 | 30.77 | 11.63 | 30.77 | 11.63 | |
| Henan | 51.02 | 14.45 | 51.02 | 14.45 | 51.01 | 14.46 | 52.44 | 13.03 | 52.44 | 13.03 | |
| Shandong | 72.36 | 20.49 | 72.36 | 20.49 | 72.43 | 20.42 | 92.85 | 0.00 | 92.85 | 0.00 | |
| Total | 326.59 | 92.47 | 326.59 | 92.47 | 326.59 | 92.47 | 326.59 | 92.47 | 326.59 | 92.47 | |

5. Conclusions
Author Contributions
Funding
Data Availability Statement
Conflicts of Interest
References
- Tian, J.; Yu, Y.; Li, T.; Zhou, Y.; Li, J.; Wang, X.; Han, Y. A cooperative game model with bankruptcy theory for water allocation: a case study in China Tarim River Basin. Environ. Sci. Pollut. Res. 2022, 29, 2353-2364. [CrossRef]
- Yang, L.; Pan, Z.; Li, H.; Wang, D.; Wang, J.; Wu, C.; Wu, X. Study on the Spatiotemporal Evolution and Driving Factors of Water Resource Carrying Capacity in Typical Arid Regions. Water 2024, 16, 2142. [CrossRef]
- Liu, J.; Yang, H.; Gosling, S.N.; Kummu, M.; Florke, M.; Pfister, S.; Hanasaki, N.; Wada, Y.; Zhang, X.; Zheng, C.; et al. Water scarcity assessments in the past, present and future. Earths Future 2017, 5, 545-559. [CrossRef]
- Ssekyanzi, G.; Ahmad, M.J.; Choi, K.S. Sustainable Solutions for Mitigating Water Scarcity in Developing Countries: A Comprehensive Review of Innovative Rainwater Storage Systems. Water 2024, 16, 2394. [CrossRef]
- Eliasson, J. The rising pressure of global water shortages. Nature 2015, 517, 6. [CrossRef]
- UN. The Sustainable Development Goals Report 2022; UN: New York, NY, USA, 2022.
- Qin, J.; Fu, X.; Peng, S.; Xu, Y.; Huang, J.; Huang, S. Asymmetric Bargaining Model for Water Resource Allocation over Transboundary Rivers. Int. J. Environ. Res. Public Health 2019, 16, 1733. [CrossRef]
- Zeng, Y.; Li, J.; Cai, Y.; Tan, Q. Equitable and reasonable freshwater allocation based on a multi-criteria decision making approach with hydrologically constrained bankruptcy rules. Ecol. Indic. 2017, 73, 203-213. [CrossRef]
- Giuliani, M.; Castelletti, A.; Amigoni, F.; Cai, X. Multiagent systems and distributed constraint reasoning for regulatory mechanism design in water management. J. Water Resour. Plan. Manag. 2015, 141, 04014068. [CrossRef]
- Read, L.; Madani, K.; Inanloo, B. Optimality versus stability in water resource allocation. J. Manag. Eng. 2014, 133, 343-354. [CrossRef]
- Housh, M. Optimizing bilinear multi-source water supply systems using mixed-integer linear programming approximations: An analysis of the Israeli seawater desalination array. Adv. Water Resour. 2023, 178, 1-13. [CrossRef]
- Nematollahi, B.; Nikoo, M.R.; Gandomi, A.H.; Talebbeydokhti, N.; Rakhshandehroo, G.R. A Multi-criteria Decision-making Optimization Model for Flood Management in Reservoirs. Water Resour. Manag. 2022, 36, 4933-4949. [CrossRef]
- Ayele, W.T.; Tenagashaw, D.Y.; Belew, A.Z.; Andualem, T.G. Optimal Water Allocation Under Climate Change, Based on Stochastic Dynamic Programming Model Approach in Ribb Reservoir, Amhara, Ethiopia. Water Conserv. Sci. Eng. 2022, 7, 33-44. [CrossRef]
- Yao, Z.; Wang, Z.; Zhao, C.H. Research on multi-objective optimal allocation of regional water resources based on improved sparrow search algorithm. J. Hydroinform. 2023, 25, 1413-1437. [CrossRef]
- Li, S.; He, Y.; Chen, X.; Zheng, Y. The improved bankruptcy method and its application in regional water resource allocation. J. Hydro-Environment Res. 2020, 28, 48-56. [CrossRef]
- Yuan, L.; He, W.; Liao, Z.; Degefu, D.M.; An, M.; Zhang, Z.; Wu, X. Allocating Water in the Mekong River Basin during the Dry Season. Water 2019, 11, 400. [CrossRef]
- Madani, K.; Zarezadeh, M.; Morid, S. A new framework for resolving conflicts over transboundary rivers using bankruptcy methods. Hydrol. Earth Syst. Sci. 2014, 18, 3055-3068. [CrossRef]
- Eleftheriadou, E.; Mylopoulos, Y. Game Theoretical Approach to Conflict Resolution in Transboundary Water Resources Management. J. Water Resour. Plan. Manag. 2008, 134, 466-473. [CrossRef]
- Kucukmehmetoglu, M. An integrative case study approach between game theory and Pareto frontier concepts for the transboundary water resources allocations. J. Hydrol. 2012, 450-451, 308-319. [CrossRef]
- Mehrparvar, M.; Ahmadi, A.; Safavi, H.R. Resolving water allocation conflicts using WEAP simulation model and non-cooperative game theory. Simulation, 2020, 96, 17-30. [CrossRef]
- Madani, K.; Hipel, K.W. Non-Cooperative Stability Definitions for Strategic Analysis of Generic Water Resources Conflicts. Water Resour. Manag. 2011, 25, 1949-1977. [CrossRef]
- Houba, H.; Do, K.H.P.; Zhu, X. Saving a river: A joint management approach to the Mekong River Basin. Environ. Dev. Econ. 2012, 18, 93-109. [CrossRef]
- Madani, K.; Hooshyar, M. A game theory-reinforcement learning (GT-RL) method to develop optimal operation policies for multi-operator reservoir systems. J. Hydrol. 2014, 519, 732-742. [CrossRef]
- Noori, M.; Emadi, A.; Fazloula, R. An agent-based model for water allocation optimization and comparison with the game theory approach. Water Sci. Tech-W. Sup. 2021, 21, 3584-3601. [CrossRef]
- Wu, X.; Whittington, D. Incentive compatibility and conflict resolution in international river basins: a case study of the Nile Basin. Water Resour. Res. 2006, 42, 336-336. [CrossRef]
- Far, S.M.; Ashofteh, P.S. Optimization Operation of Water Resources Using Game Theory and Marine Predator Algorithm. Water Resour. Manag. 2024, 38, 665-699. [CrossRef]
- Janjua, S.; Hassan, I. Use of bankruptcy methods for resolving interprovincial water conflicts over transboundary river: Case study of Indus River in Pakistan. River Res. Appl. 2020, 36(1): 1-11. [CrossRef]
- Mianabadi, H.; Mostert, E.; Zarghami, M.; van de Giesen, N. A new bankruptcy method for conflict resolution in water resources allocation. J. Manag. Eng. 2014, 144, 152-159. [CrossRef]
- Fletcher, S.; Hadjimichael, A.; Quinn, J.; Osman, K.; Giuliani, M.; Gold, D.; Figueroa, A.J.; Gordon, B. Equity in water resources planning: a path forward for decision support modelers. J. Water Res. Plan. Man. 2022, 148, 02522005. [CrossRef]
- Gullotta, A.; Campisano, A.; Creaco, E.; Modica, C. A Simplified Methodology for Optimal Location and Setting of Valves to Improve Equity in Intermittent Water Distribution Systems. Water Resour. Manag. 2021, 35, 1-18. [CrossRef]
- Nyahora, P.P.; Babel, M.S.; Ferras, D.; Emen, A. Multi-objective optimization for improving equity and reliability in intermittent water supply systems. Water Sci. Tech-W. Sup. 2020, 20,1592-1603. [CrossRef]
- Yang, G.; Giuliani, M.; Castelletti, A. Operationalizing equity in multipurpose water systems. Hydrol. Earth Syst. Sci. 2023, 27, 69-81. [CrossRef]
- Koh, H. Why do nations obey International Law? Yale Law J. 1997, 106, 2599-2659.
- Konow, J. Which is the fairest one of all? A positive analysis of justice theories. J. Econ. Lit. 2003, 41, 1188-1239. [CrossRef]
- Rahaman, M.M. Principles of transboundary water resources management and water-related agreements in Central Asia: an analysis. Int. J. Water Resour. Dev. 2012, 28, 475-491. [CrossRef]
- Shapley, L.S.; Shubik, S.M. A method for evaluating the distribution of power in a committee. Am. Polit. Sci. Rev. 1954, 48, 787-792.
- Loehman, E.; Orlando, J.; Tschirhart, J.; Whinston, A. Cost allocation for a regional wastewater treatment system. Water Resour. Res. 1979, 15, 193-202. [CrossRef]
- Dinar, A.; Howitt, R.E. Mechanisms for Allocation of Environmental Control Cost: Empirical Tests of Acceptability and Stability. J. Manag. Eng. 1997, 49, 183-203. [CrossRef]
- Masood, M.; Ahmad, I.; Sarwar, M.K.; Khan, N.M; Waseem, M.; Nabi, G.; Saleem, M. A Bilevel Multiobjective Model for Optimal Allocation of Water Resources in the Punjab Province of Pakistan. Arab. J. Sci. Eng. 2021, 46, 10597-10612. [CrossRef]
- Wu, W.; Zhao, X.; Zhang, X.; Wu, X.; Zhao, Y.; Guo, Q.; Yao, L.; Liu, X. An ordered multi-objective fuzzy stochastic approach to sustainable water resources management: a case study from Taiyuan City, China. Water Sci. Tech-W. Sup. 2024, 24, 10-11. [CrossRef]
- Hussein, H.; Grandi, M. Dynamic political contexts and power asymmetries: The cases of the Blue Nile and the Yarmouk Rivers. Int. Environ. Agreem. 2017, 17, 795-814. [CrossRef]
- Zeitoun, M.; Mirumachi, N.; Warner, J.F. Transboundary water interaction II. Int. Environ. Agreem. 2011, 11, 159-178. [CrossRef]
- Diakoulaki, D.; Mavrotas, G.; Papayannakis, L. Determining objective weights in multiple criteria problems: the critic method. Comput. Oper. Res. 1995, 22, 763-770. [CrossRef]
- Rostamzadeh, R.; Ghorabaee M.K.; Govindan, K.; Esmaeili, A.; Nobar, H.B.K. Evaluation of sustainable supply chain risk management using an integrated fuzzy TOPSIS-CRITIC approach. J. Clean. Prod., 2018, 175, 651-669. [CrossRef]
- Curiel, I.J.; Maschler, M.; Tijs, S.H. Bankruptcy games. Math. Methods Oper. Res. 1987, 31, 143-159.
- Wu, Q.; Xu, N. Improved interactive methods of multi-objective decision-making based on target satisfaction degree. J. Manag. Eng. 1996, 4, 217-222.
- Janjua, S.; Ali, M.U.; Kallu, K.D.; Zafar, A.; Hussain, S.J.; Gardezi, H.; Lee, S.W. An Asymmetric Bargaining Model for Natural-Gas Distribution. Appl. Sci. 2022, 12, 5677. [CrossRef]
- Shen J.; Zhang, H.; Zhao Y.; Jianfeng Song, J. An examination of the mitigation effect of vegetation restoration on regional water poverty: Based on panel data analysis of 9 provinces in the Yellow River basin of China from 1999 to 2019. Ecol. Indic. 2023, 146, 109860.
- Gao, R.; Chen, H.; Wei, C.; Jiang, Y.; Zeng, S.; Zhang, C.; Jin, Y.; Zhang, W. Research Hotspots and Trends in the Environment Condition of the Yellow River Basin (2014-2024): A Bibliometric and Visualization. Water 2024, 16, 2359. [CrossRef]
- Omer, A.; Ma, Z.; Xing, Y.; Zheng Z.; Saleem, F. A hydrological perspective on drought risk-assessment in the Yellow River Basin under future anthropogenic activities. J. Manag. Eng. 2021, 289, 112429. [CrossRef]
- Yin, L.; Feng, X.; Fu, B.; Wang, S., Wang, X., Chen, Y.; et al. A Coupled Human-Natural System Analysis of Water Yield in the Yellow River basin, China. Sci. Total Environ. 2021, 762, 143141. [CrossRef]
- Zhao, F.; Ma, S.; Wu, Y. Changes in Dry-Season Water Availability and Attributions in the Yellow River Basin, China. Front. Environ. Sci. 2021, 9, 762137. [CrossRef]
- Sun, X.; Zhou, Z.; Wang, Y. Water resource carrying capacity and obstacle factors in the Yellow River basin based on the RBF neural network model. Environ. Sci. Pollut. R. 2023, 30, 22743-22759. [CrossRef]
- Yang, Y.; Zhao, J.; Cai, X. Decentralized Optimization Method for Water Allocation Management in the Yellow River Basin. J. Water Res. Plan. Man. 2012, 138, 313-325. [CrossRef]
- Zhou, K.; Wang, Y.; Chang, J.; Zhou, S.; Guo, A. Spatial and Temporal Evolution of Drought Characteristics Across the Yellow River basin. Ecol. Indic. 2021, 131, 108207. [CrossRef]
- Herrero, C.; Villar, A. The three musketeers: four classical solutions to bankruptcy problems. Math. Soc. Sci. 2001, 42, 307-328. [CrossRef]
- Thomson, W. Axiomatic and game-theoretic analysis of bankruptcy and taxation problems: an update. Mathe. Soc. Sci. 2015, 74: 41-59. [CrossRef]
- U.N. Watercourses Convention. Convention on the Law of the Non-navigational Uses of International Watercourses, Adopted by the General Assembly of the United Nations on 21 May 1997.




| Objective layer | Criterion layer | Indicator layer | Unit | Attribute |
|---|---|---|---|---|
| Solving the transboundary water allocation conflicts under scarcity | Water contribution | Proportion of annual average runoff to the total runoff of the entire watershed | % | Positive |
| Respecting the current situation | Current water consumption | 108 m3 | Positive | |
| Economic efficiency | Economic output per cubic meter of water consumption | Yuan/m3 | Positive | |
| Eco-environmental sustainability | Reserved water for inner-river eco-environment | 108 m3 | Positive | |
| Sewage discharged | 108 ton | Negative |
| Existing planning | Decision-making agents | Off-stream water allocation | Inner-river water allocation | Total | |||||||||
| Qinghai | Sichuan | Gansu | Ningxia | Inner Mongolia | Shaanxi | Shanxi | Henan | Shandong | Hebei and Tianjin | ||||
| “87” Water Allocation Plan | 1.410 | 0.040 | 3.040 | 4.000 | 5.860 | 3.800 | 4.310 | 5.540 | 7.000 | 2.000 | 37.000 | 21.000 | 58.000 |
| Yellow River Basin Plan | 1.316 | 0.037 | 2.837 | 3.732 | 5.468 | 3.546 | 4.022 | 5.169 | 6.532 | 0.620 | 33.279 | 18.700 | 51.979 |
| Indicator | Unit | Decision-making agents | ||||||||
| Qinghai | Sichuan | Gansu | Ningxia | Inner Mongolia | Shaanxi | Shanxi | Henan | Shandong | ||
| Proportion of annual average runoff to the total runoff of the entire watershed | % | 34.05 | 7.82 | 20.11 | 1.56 | 3.44 | 14.94 | 8.15 | 7.18 | 2.75 |
| Current water consumption | 108 m3 | 10.64 | 0.20 | 30.30 | 44.19 | 84.52 | 50.09 | 43.03 | 65.18 | 88.87 |
| Economic output per cubic meter of water consumption | Yuan/m3 | 123.80 | 205.18 | 82.05 | 55.85 | 89.30 | 288.98 | 242.47 | 231.96 | 328.67 |
| Reserved water for riverine eco-environment | 108 m3 | 71.51 | 16.43 | 42.22 | 3.29 | 7.23 | 31.36 | 17.12 | 15.08 | 5.78 |
| Sewage discharged | 108 ton | 1.41 | 0.03 | 4.72 | 3.12 | 5.72 | 9.89 | 6.64 | 6.94 | 5.54 |
|
Existing planning |
Decision-making agents | Total | ||||||||
| Qinghai | Sichuan | Gansu | Ningxia | Inner Mongolia | Shaanxi | Shanxi | Henan | Shandong | ||
| Water demand | 1.097 | 0.027 | 3.416 | 4.202 | 8.055 | 5.037 | 4.240 | 6.547 | 9.285 | 41.906 |
| “87” Water Allocation Plan | 0 | 0 | 0 | 0 | 1.149 | 0 | 0 | 0 | 2.379 | 3.528 |
| Yellow River Basin Plan | 0 | 0 | 0 | 0 | 0 | 0 | 0 | 0 | 0.038 | 0.038 |
| Agents | “87” Water Allocation Plan | Yellow River Basin Plan | ||
|---|---|---|---|---|
| SPI-2 ~ SPI-1 | API-2~API-1 | SPI-2 ~ SPI-1 | API-2~API-1 | |
| Qinghai | -1.52 | 0.00 | -0.02 | 0.00 |
| Sichuan | -1.52 | -0.71 | -0.02 | 0.00 |
| Gansu | -1.52 | -0.81 | -0.02 | 0.00 |
| Ningxia | -1.52 | -0.53 | -0.02 | 0.00 |
| Inner Mongolia | 1.05 | 2.58 | -0.02 | 0.00 |
| Shaanxi | -1.52 | -1.04 | -0.02 | 0.00 |
| Shanxi | -1.51 | -0.87 | -0.02 | 0.00 |
| Henan | -1.52 | -1.04 | -0.02 | 0.00 |
| Shandong | 3.10 | 0.00 | 0.07 | 0.00 |
| Agents | Water allocation satisfaction | Relative changes in water allocation satisfaction | ||
|---|---|---|---|---|
| “87” Water Allocation Plan | Yellow River Basin Plan | “87” Water Allocation Plan | Yellow River Basin Plan | |
| Qinghai | 128.49 | 119.92 | -28.49 | -19.92 |
| Sichuan | 148.15 | 137.04 | -76.25 | -69.82 |
| Gansu | 88.99 | 83.05 | -13.58 | -13.40 |
| Ningxia | 95.20 | 88.82 | -44.81 | -42.19 |
| Inner Mongolia | 72.75 | 67.88 | 4.26 | -0.96 |
| Shaanxi | 75.45 | 70.41 | 15.83 | 13.13 |
| Shanxi | 101.65 | 94.86 | -22.80 | -22.29 |
| Henan | 84.62 | 78.95 | 3.37 | 1.15 |
| Shandong | 75.39 | 70.35 | 24.61 | 29.65 |
Disclaimer/Publisher’s Note: The statements, opinions and data contained in all publications are solely those of the individual author(s) and contributor(s) and not of MDPI and/or the editor(s). MDPI and/or the editor(s) disclaim responsibility for any injury to people or property resulting from any ideas, methods, instructions or products referred to in the content. |
© 2024 by the authors. Licensee MDPI, Basel, Switzerland. This article is an open access article distributed under the terms and conditions of the Creative Commons Attribution (CC BY) license (http://creativecommons.org/licenses/by/4.0/).