Submitted:
30 August 2024
Posted:
02 September 2024
Read the latest preprint version here
Abstract
Keywords:
Introduction
Background
The Titchmarsh-Weyl m-Function




The Appell System

- (i)
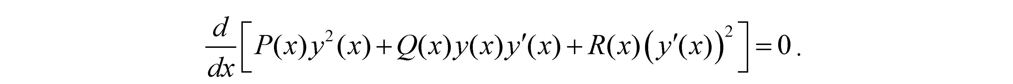
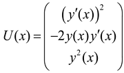
- If y(x) is any solution of the Sturm-Liouville equation (1), then
is a solution to the Appell system (6).
- (ii)
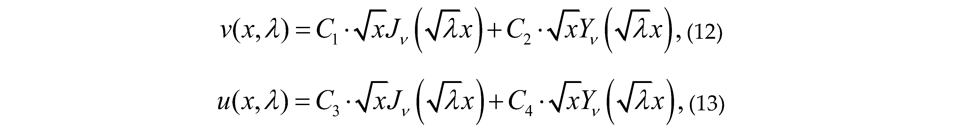
- Let {u(x,λ),ν(x,λ)} be the fundamental system of (1), where (2) holds.

- (iii)
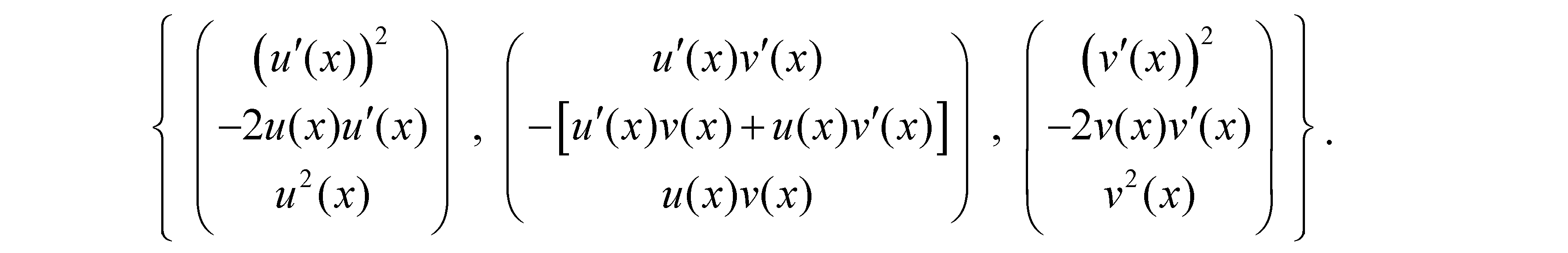
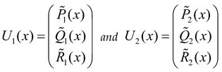
- For any solution
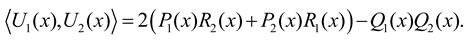
to Appell system (6), let the indefinite inner product be defined by:
It follows that:
,(See [7], pages 6-7).
- (iv)
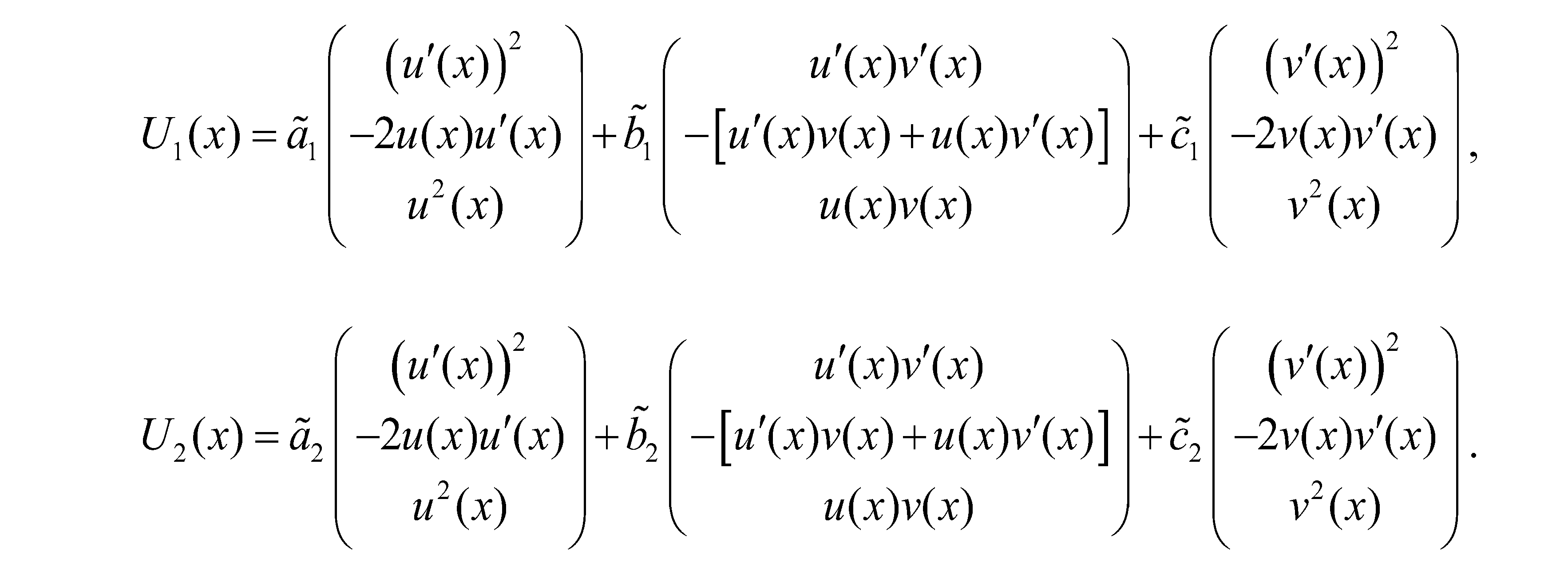
- Let
be any two solutions to Appell system (6) where


- (v)
- Let y(x) be any solution to the Sturm-Liouville equation (1) and let
be a solution to Appell system (6). It follows that:
- (vi)
- Near x = ∞, x0 > 0, if either q(x) ∈ L1(x0, ∞) or q’(x) ∈ L1(x0, ∞), q(x) ∈ ACloc(x0, ∞), and
, then the terminal value problem below has a unique solution.
- (vii)
- Let
be the unique solution to the terminal value problem (7). It follows that
. Furthermore, when x = 0 is either regular or a RSP of LC/N or LP/N type, x = ∞ is LP/O-N with cut-off ∧ = 0 and q(x) is absolutely integrable near x = ∞ the spectral density function, f(λ) for λ ∈ (0, ∞), is characterized by:

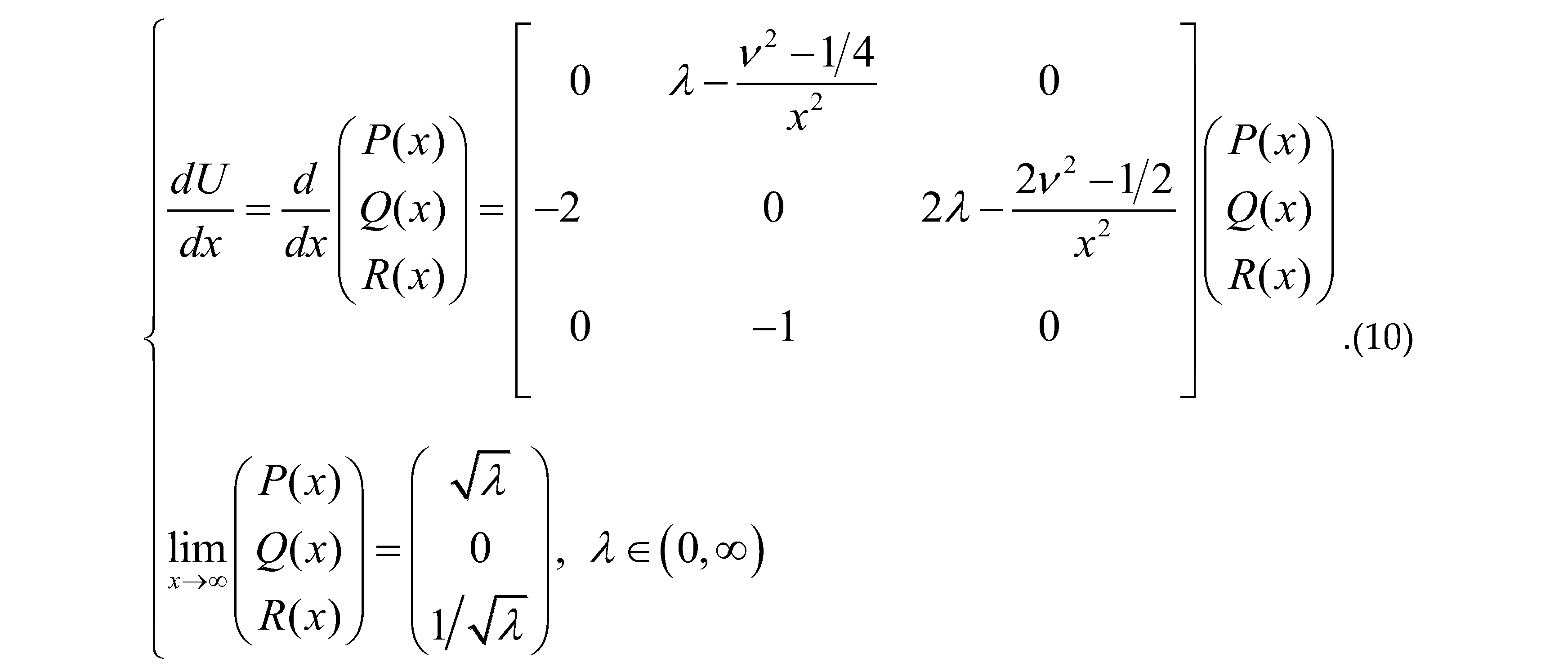
Calculation of the SDF for Bessel’s Equation in Liouville-Normal Form
, for all λ ∈ (0, ∞). Here the potential function
and thus the Appell system property (vi), from above, holds. The corresponding Appell system terminal value problem for (9) is then
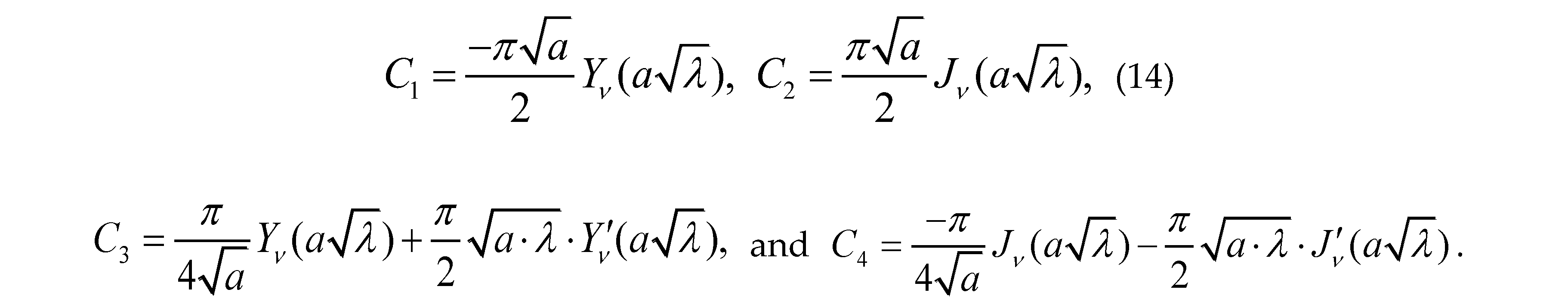
are defined by the relation



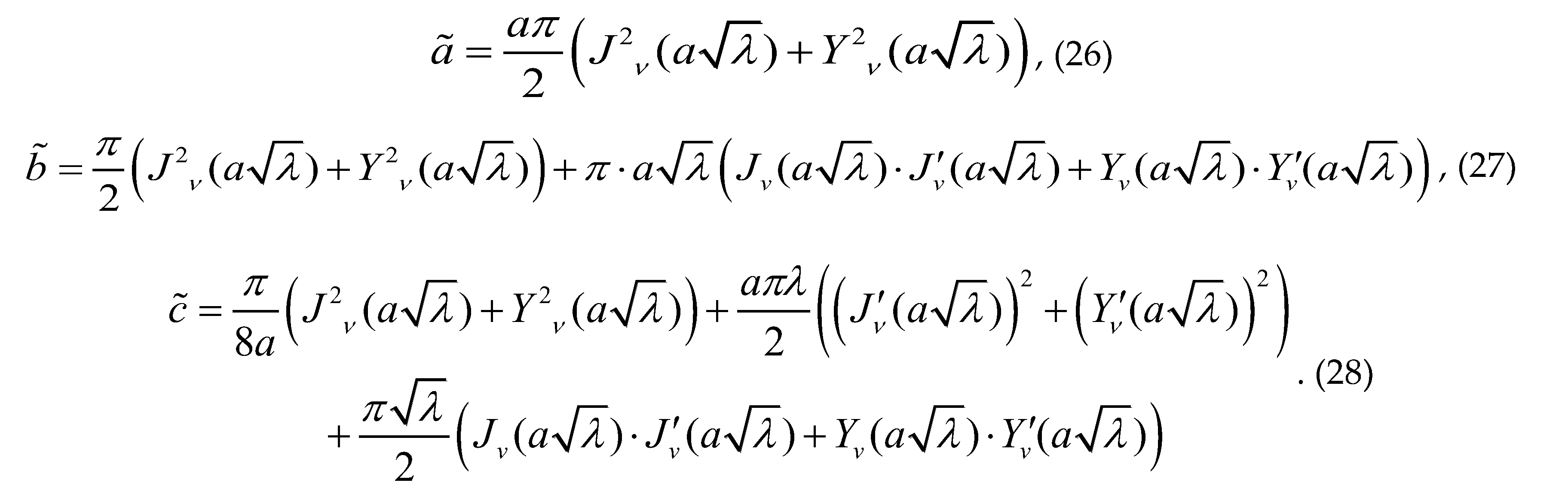
are uniquely defined by (15) as guaranteed by Appell system property (vi). Now for further progress towards obtaining explicit representations of
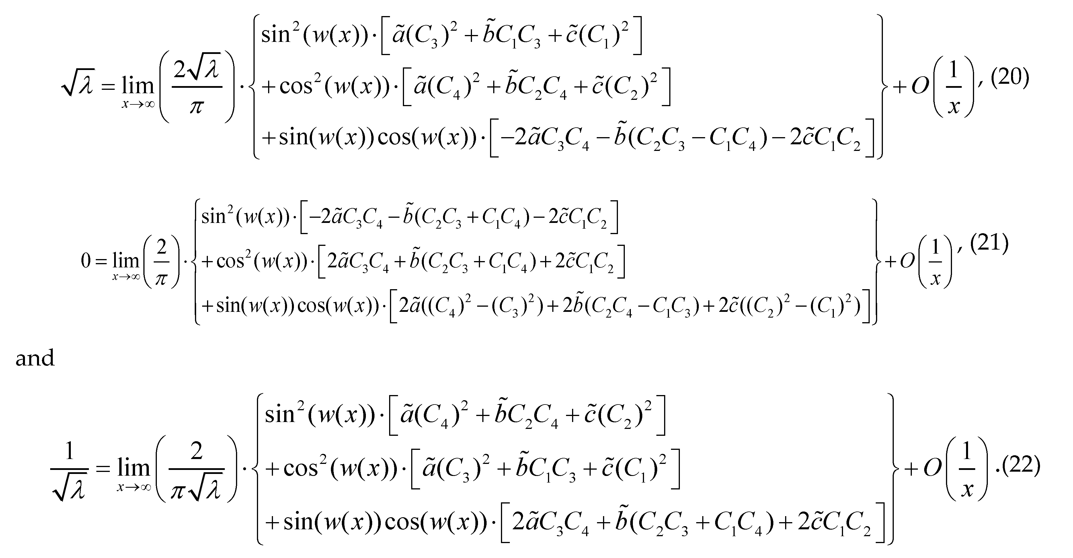
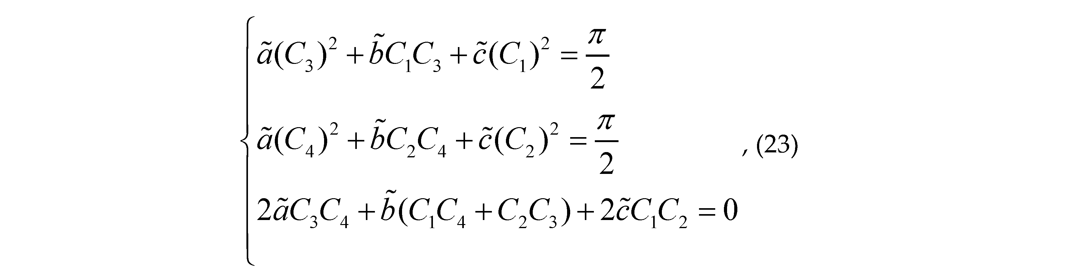
, and then f(λ) as characterized by (8), we next make use of well-known asymptotic relations for the Bessel functions Jν(x) and Yν(x) as x → ∞. The asymptotic relations for the Bessel functions near infinity, given below as (16)-(19), are in many books (See for instance the extensive work of G.N. Watson, A Treatise on the Theory of Bessel Functions, [12], p. 199). As x → ∞,





. This work, culminating in equation (29), constitutes an original determination of the spectral density function for Bessel’s Equation in L-N form, obtained using the new method proposed by Fulton, Pearson, and Pruess in [7]. In the next brief section, we’ll validate this result obtained using independent checks. Validation of Results (A)
and f(λ), eq.’s (26) and (29), we compare the spectral density function obtained in (29) with the classical spectral density function result for the Bessel Equation (6), obtained by E.C. Titchmarsh via the Titchmarsh-Kodaira formula (4) (See [11, p. 86]). Here we find full agreement in the f(λ) representations and so the f(λ) in equation (29) is validated. As f(λ), given in equation (29), is computed directly by use of
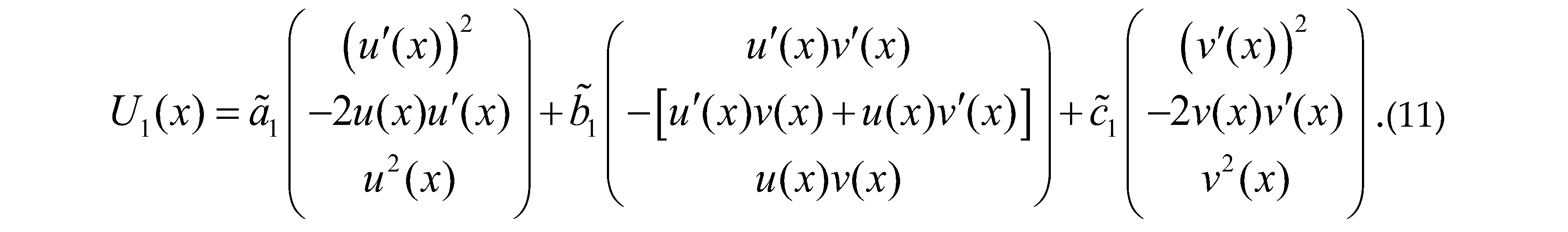
in (26) (which was obtained by solving the Appell system terminal value problem (10)), we may conclude that the representation in (26) for
is validated.
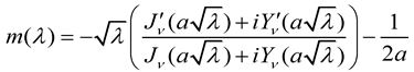
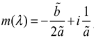
, According to classical theory of Titchmarsh in [11], the m-function for Bessel Equation (9) is (31)
. By calculation of m(λ) via (30) using (16)-(19), (26), and (27), after minor algebraic manipulations, we indeed obtain the classical m-function result given in (31) and thus we may conclude that the calculation of , as was determined in (27), is validated.
. While this calculation to validate is rather tedious, we will give some details of it here to conclude our investigation. Inserting the values for , , and , as given in (26)-(28), into the equation
, and expansion yields twenty-eight terms on the LHS, all of which are products of the Bessel functions Jν, Yν, and their derivatives, and all of which are having the argument . Multiple pairs of these terms (and sometimes triples) combine, are opposites, and cancel leaving just three terms that do immediately cancel by trivial algebraic manipulation. At this stage, the LHS of
takes the form (32) , with the arguments of these Bessel functions all being . To make further progress, we find that the RHS of (32) factors giving (33) . Finally, to obtain the value of 4 on the RHS of (33), we employ a Wronskian identity from Watson’s [12, p. 76], with his z-argument replaced by . This identity takes the form of (34) . Upon insertion of (34) into (33), we complete our validation of . Conclusion
References
- Agarwal, Ravi P., Sen, Syamal K., (2014). Creators of Mathematical and Computational Sciences, Springer.
- Appell, M., (1880). Sur la transformation des équations différentielles linéaires, In Comptes Rendus Acad. Sci. Paris, Semestre 19, p. 211-214.
- Davies, E.B., (1995). Spectral Theory and Differential Operators, Cambridge Uni. Press.
- Dunford, N and Schwartz, J. (1958) Linear Operators Parts I-III, Interscience Publishers.
- Fulton, C., Pearson, D., and Pruess, S., (2005). Computing the spectral function for singular Sturm–Liouville problems, J. Comput. Appl. Math. 176 p. 131–162. [CrossRef]
- Fulton, C., Pearson, D., and Pruess, S., (2008). New characterizations of spectral density functions for singular Sturm–Liouville problems, Journal of Computational and Applied Mathematics, 212, p. 122-213. [CrossRef]
- Fulton, C., Pearson, D., and Pruess, S., (2014). Estimating spectral density functions for Sturm–Liouville problems with two singular endpoints, IMA Journal of Numerical Analysis, 34, p. 609-650. [CrossRef]
- Fulton, C., (2015). The Connection Problem for Solutions of Sturm-Liouville Problems with two singular endpoints, and its relation to m-functions, in Olberwolfach Report 1/2015, Report on Olberwolfach Workshop on Spectral Theory and Weyl Functions, January 4-10, 2015, Olberwolfach, Germany. [CrossRef]
- Steen, L.A. (1973), Highlights in the history of spectral theory, Amer. Math. Monthly, 80, p. 359-381.
- Titchmarsh, E.C., (1932). The Theory of Functions, Oxford University Press.
- Titchmarsh, E.C., (1962). Eigenfunction expansions associated with second-order differential equations, 2nd ed., Clarenden Press, Oxford (1st Ed 1946).
- Watson, G.N., (1944). A Treatise on the Theory of Bessel Functions 2nd Edition, Cambridge University Press, (1st Ed. 1922; 2nd Ed. 1944).
- Weyl, H., (1910). Über gewöhnliche Differentialgleichungen mit Singularitäten und die zugehörigen Entwicklungen willkürlicher Funktionen, Math. Ann. 68.
Disclaimer/Publisher’s Note: The statements, opinions and data contained in all publications are solely those of the individual author(s) and contributor(s) and not of MDPI and/or the editor(s). MDPI and/or the editor(s) disclaim responsibility for any injury to people or property resulting from any ideas, methods, instructions or products referred to in the content. |
© 2024 by the authors. Licensee MDPI, Basel, Switzerland. This article is an open access article distributed under the terms and conditions of the Creative Commons Attribution (CC BY) license (http://creativecommons.org/licenses/by/4.0/).