Submitted:
30 August 2024
Posted:
03 September 2024
You are already at the latest version
Abstract
Keywords:
1. Introduction
2. Materials and Methods
2.1. Steel Pile Description and Properties
2.2. Experimental Soil Characterization
3. Experimental Campaign
3.1. Monotonic Lateral Load Tests
3.2. Lateral Load Fatigue Tests
3.3. Pull-Out Pile Tests
4. Results and Discussions
4.1. Experimental Determination of Subgrade Reaction
4.2. Fatigue Behavior of Laterally Loaded Piles
4.3. Residual Strength and Pull-Out Capacity after Lateral Loading
5. Concluding Remarks and Significance
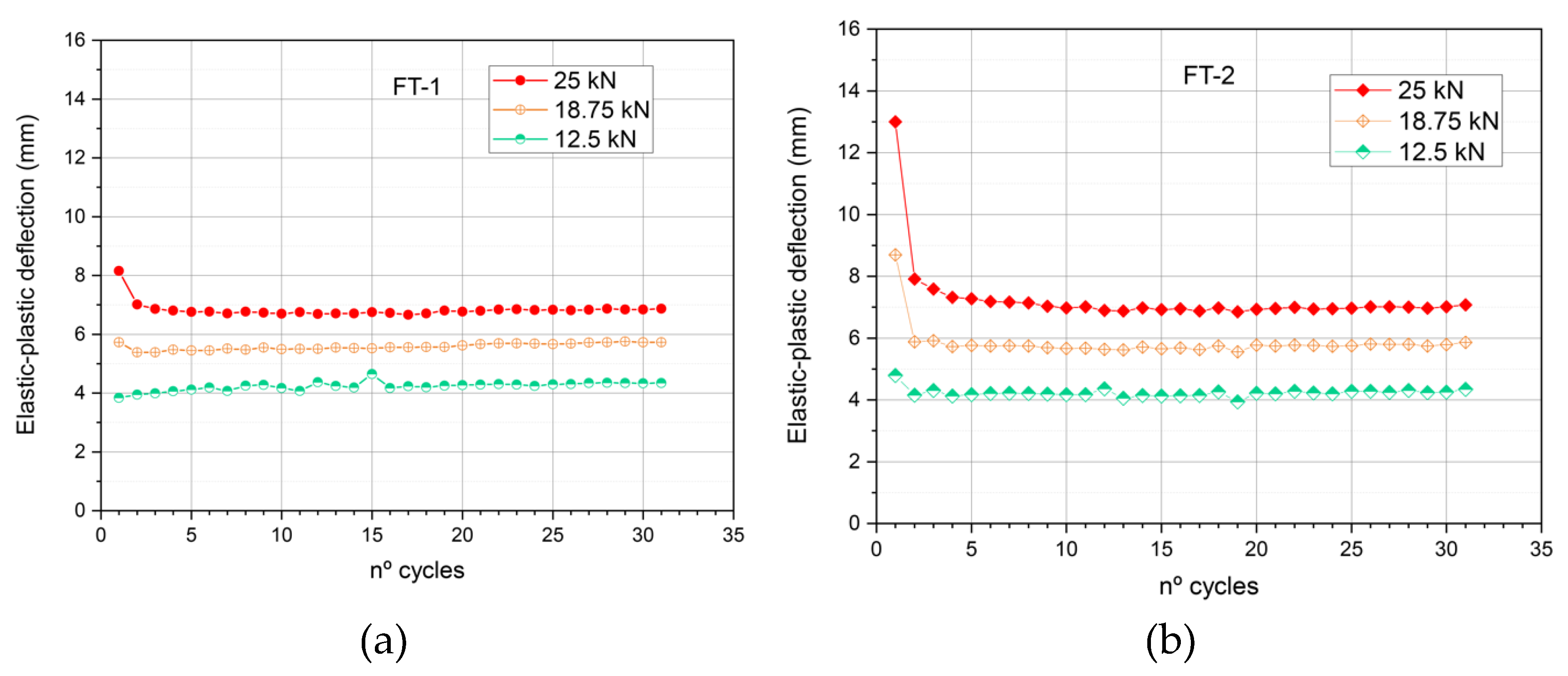
- The elastic-plastic deflection of the soil reaches its maximum value during the first loading cycle due to soil compaction. Nonetheless, after a few additional cycles (approximately 10 cycles under the studied conditions), the elastic-plastic deflection per cycle remains constant in all cases examined.
- The permanent or residual deflection of the soil shows a steady increase after the initial compaction phase. This suggests that the soil does not experience fatigue from that point onward and that its lateral load stiffness remains constant for the same cyclically applied load, contrary to what is indicated in other studies on large-diameter piles. Nonetheless, despite the absence of soil fatigue, stability may be compromised due to the accumulated permanent deflection that occurs with each cycle, which can destabilize the system due to the effects of large deformations over the long term.
- The horizontal soil subgrade reaction initially increases with the applied load, enhancing the lateral resistance of the pile through soil cohesion. However, there is an optimal cohesion load beyond which soil degradation and eventual collapse occur as the applied load continues to increase.
- In static monotonic tests, the soil-pile behavior differs depending on whether the applied load is below or above the soil’s optimal cohesion load. Below the optimal load, an initial improvement in soil-pile cohesion is observed; above it, progressive degradation occurs.
- The compaction effects on the surface layers of the soil result in permanent deflection and a loss of pile-soil contact, leading to a consequent decrease in the piles’ tensile capacity. No significant differences were observed between the fatigue tests, indicating that the damage primarily occurs during the initial loading cycles that induce compaction of the surface soil layers.
- From the results of this study, it is evident that the horizontal soil subgrade reaction remains unaffected by repetitive cycles of the same load intensity. However, there is a gradual accumulation of permanent deflection, which could potentially lead to cumulative tilting over time. Therefore, it may be necessary to implement interventions on the structures to correct the alignment of the piles and restore them to their original position.
Author Contributions
Funding
Data Availability Statement
Acknowledgments
Conflicts of Interest
Nomenclature
| A | Pile cross section |
| b | Width of the pile’s surface in contact with soil |
| c | Width of cross section at top flange |
| e | Eccentricity of the horizontal load respect to the center of gravity of cross section |
| E0 | Elastic modulus of soil |
| Ep | Elastic modulus of steel pile |
| G | Shear modulus of steel pile |
| Ip | Higher moment of inertia of steel pile |
| It | Torsional constant of steel pile |
| Iw | Warping constant of steel pile |
| Iy | Moment of inertia of y-axis |
| Iz | Moment of inertia of z-axis |
| kh | Horizontal modulus of ballast |
| L | Pile length |
| Lde | Length of pile at zero lateral displacement from the soil surface |
| Le | Length of pile embedded in the soil |
| Lu | Height of horizontal load application respect to soil surface |
| Mt | Torsional moment |
| p | Soil reaction |
| RH | Horizontal load at pile head |
| t | Web thickness of cross section |
| δh | Horizontal or lateral displacement of head pile |
| δs | Horizontal or lateral displacement of pile at soil surface |
| ω | Torsional susceptibility index |
References
- Cao, G.; Wang, X.; He, C. Dynamic analysis of a laterally loaded rectangular pile in multilayered viscoelastic soil. Soil Dynamics and Earthquake Engineering 2023, 165. [Google Scholar] [CrossRef]
- Abdelaziz, A. Y.; El Naggar, M. H.; Ouda, M. Determination of depth-of-fixity point for laterally loaded vertical offshore piles: A new approach. Ocean Engineering 2021, 232. [Google Scholar] [CrossRef]
- Xiao, X.; Zhang, Q.; Zheng, J.; Li, Z. Analytical model for the nonlinear buckling responses of the confined polyhedral FGP-GPLs lining subjected to crown point loading. Engineering Structures 2023, 282. [Google Scholar] [CrossRef]
- Hoang, L. T.; Matsumoto, T. Long-term behavior of piled raft foundation models supported by jacked-in piles on saturated clay. Soils and Foundations 2020, 60, 198–217. [Google Scholar] [CrossRef]
- Li, Z.; Zhang, Q.; Shen, H.; Xiao, X.; Kuai, H.; Zheng, J. Buckling performance of the encased functionally graded porous composite liner with polyhedral shapes reinforced by graphene platelets under external pressure. Thin-Walled Structures 2023, 183. [Google Scholar] [CrossRef]
- Zhang, Q.; Li, Z.; Huang, H.; Zhang, H.; Zheng, H.; Kuai, H. Stability of submarine bi-material pipeline-liner system with novel polyhedral composites subjected to thermal and mechanical loading fields. Marine Structures 2023, 90. [Google Scholar] [CrossRef]
- Xiao, X.; Bu, G.; Ou, Z.; Li, Z. Nonlinear in-plane instability of the confined FGP arches with nanocomposites reinforcement under radially-directed uniform pressure. Engineering Structures 2022, 252. [Google Scholar] [CrossRef]
- Zhai, Y.-J.; Ma, Z.-S.; Wang, B.; Ding, Q. Dynamic characteristic analysis of beam structures with nonlinear elastic foundations and boundaries. International Journal of Non-Linear Mechanics 2023, 153, 104409. [Google Scholar] [CrossRef]
- Yu, Q. Wavelet solution for hygrothermomechanical bending of initially defected plate undergoing large deformation on nonlinear elastic foundation. Thin-Walled Structures 2022, 179, 109601. [Google Scholar] [CrossRef]
- ISO 22477-10:2016 Geotechnical investigation and testing — Testing of geotechnical structures — Part 10: Testing of piles: rapid load testing.
- ASTM D3966-07. Standard Test Methods for Deep Foundations Under Lateral Load. 2010.
- American Petroleum Institute. Recommended practice for planning, designing and constructing fixed offshore platforms, RP2A-WSD. Dallas: API; 2000.
- Ministère de l’Equipement du Logement et des Transports. Fascicule 62, Titre V: Règles techniques de conception et de calcul des fondations des ouvrages de génie civil; 1993.
- Zhang, X.; Liu, C.; Ye, J. Model Test Study of Offshore Wind Turbine Foundation under the Combined Action of Wind Wave and Current. Applied Sciences (Switzerland) 2022, 12. [Google Scholar] [CrossRef]
- Li, C.; Xiao, Y.; Liu, J.; Lin, Q.; Zhang, T.; Liu, J. The Impact of Scour on Laterally Loaded Piles Bored and Socketed in Marine Clay. Journal of Marine Science and Engineering 2022, 10. [Google Scholar] [CrossRef]
- Bourgeois, E.; Rakotonindriana, M. H. J.; Le Kouby, A.; Mestat, P.; Serratrice, J. F. Three-dimensional numerical modelling of the behaviour of a pile subjected to cyclic lateral loading. Computers and Geotechnics 2010, 37, 999–1007. [Google Scholar] [CrossRef]
- Pedone, G.; Kontoe, S.; Zdravković, L.; Jardine, R. J.; Vinck, K.; Liu, T. Numerical modelling of laterally loaded piles driven in low-to-medium density fractured chalk. Computers and Geotechnics 2023, 156, 105252. [Google Scholar] [CrossRef]
- Georgiadis, K.; Sheil, B. Effect of torsion on the undrained limiting lateral resistance of piles in clay. Geotechnique 2020, 70, 700–710. [Google Scholar] [CrossRef]
- Cui, J.; Rao, P.; Li, J.; Chen, Q.; Nimbalkar, S. Time-dependent evolution of bearing capacity of driven piles in clays. Proceedings of the Institution of Civil Engineers—Geotechnical Engineering 2023, 176, 402–418. [Google Scholar] [CrossRef]
- Terzaghi, K. Evaluation of Coefficients of Subgrade Reaction. Géotechnique 1955, 5, 297–326. [Google Scholar] [CrossRef]
- He, R.; Zhang, J.; Zheng, J. Vertical dynamic interaction factors for offshore thin-walled pipe piles. Computers and Geotechnics 2022, 145, 104656. [Google Scholar] [CrossRef]
- Broms, B. B. Lateral Resistance of Piles in Cohesive Soils. Journal of the Soil Mechanics and Foundations Division 1964, 90, 27–63. [Google Scholar] [CrossRef]
- Wang, M.; Wang, M.; Cheng, X.; Lu, Q.; Lu, J. A New p–y Curve for Laterally Loaded Large-Diameter Monopiles in Soft Clays. Sustainability (Switzerland) 2022, 14. [Google Scholar] [CrossRef]
- Li, Q.; Askarinejad, A.; Gavin, K. Lateral response of rigid monopiles subjected to cyclic loading: centrifuge modelling. Proceedings of the Institution of Civil Engineers—Geotechnical Engineering 2022, 175, 426–438. [Google Scholar] [CrossRef]
- Liu, P.; Chen, L.; Huawei, C.; Jiang, C. A method for predicting lateral deflection of large-diameter monopile near clay slope based on soil-pile interaction. Computers and Geotechnics 2021, 135, 104180. [Google Scholar] [CrossRef]
- Winkler, E. Theory of elasticity and strength. Czechoslovakia: Dominicus 1867, 77–93. [Google Scholar]
- ASTM A6/A6M: Standard Specification for General Requirements for Rolled Structural Steel Bars, Plates, Shapes, and Sheet Piling. 2001.
- UNE-EN ISO 22476-2:2005. Geotechnical investigation and testing—Field testing—Part 2: Dynamic probing. 2005.
- UNE-EN ISO 17892-4:2019. Geotechnical investigation and testing—Laboratory testing of soil—Part 4: Determination of particle size distribution (ISO 17892-4:2016).
- EN 13277-2:2011—Soil testing—Shear strength tests—Part 2: Direct shear test.
- Pérez, J. A.; Reyes-Rodríguez, A. M.; Sánchez-González, E.; Ríos, J. D. Experimental and Numerical Flexural–Torsional Performance of Thin-Walled Open-Ended Steel Vertical Pile Foundations Subjected to Lateral Loads. Buildings 2023, 13, 1738. [Google Scholar] [CrossRef]
- Basack, S. A boundary element analysis of soil-pile interaction under lateral cyclic loading in soft cohesive soil. 2008.
- Phoon, K.-K.; Tang, C. Characterisation of geotechnical model uncertainty. Georisk: Assessment and Management of Risk for Engineered Systems and Geohazards 2019, 13, 101–130. [Google Scholar] [CrossRef]
- Phoon, K.-K. Reliability-Based Design in Geotechnical Engineering: Computations and Applications.; CRC Press, Ed.; 2008. [CrossRef]








| Profile | h (mm) | tw (mm) | b (mm) | tf (mm) | A (cm2) | Iy (cm4) |
Iz (cm4) |
It (cm4) |
|---|---|---|---|---|---|---|---|---|
| W6×15 | 152.15 | 5.84 | 152.15 | 6.60 | 28.58 | 1211.23 | 387.93 | 4.20 |
| sample | prospecting | depth (m) | USCS classification |
Liquid limit (LL) | Plastic limit (PL) | Plastic index (PI) |
| M-1 | C-1 | 1.0 | CL | 47.8 | 30.0 | 17.8 |
| M-3 | C-2 | 0.8 | CL | 36.8 | 24.3 | 12.5 |
| sample | prospecting | depth (m) | USCS classification |
LL | LP | IP |
| M-2 | C-1 | 2.0 | GC | 43.1 | 28.2 | 14.8 |
| M-4 | C-2 | 1.7 | GM-GC | 28.1 | 22.7 | 5.4 |
Disclaimer/Publisher’s Note: The statements, opinions and data contained in all publications are solely those of the individual author(s) and contributor(s) and not of MDPI and/or the editor(s). MDPI and/or the editor(s) disclaim responsibility for any injury to people or property resulting from any ideas, methods, instructions or products referred to in the content. |
© 2024 by the authors. Licensee MDPI, Basel, Switzerland. This article is an open access article distributed under the terms and conditions of the Creative Commons Attribution (CC BY) license (http://creativecommons.org/licenses/by/4.0/).