Submitted:
28 August 2024
Posted:
29 August 2024
You are already at the latest version
Abstract
Keywords:
1. Introduction
2. Results
2.1. Analysis of Variance
2.2. Location-Specific Results
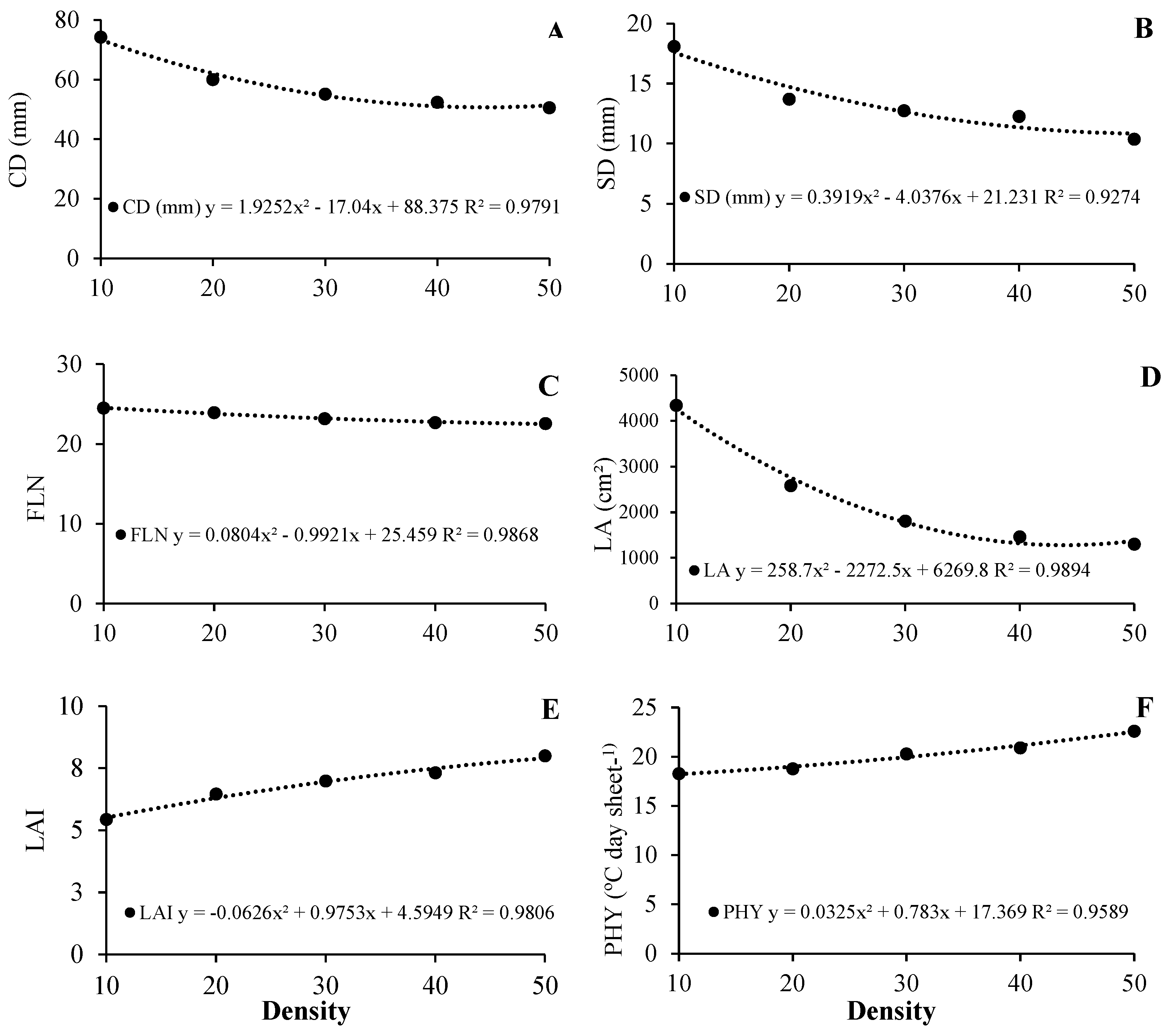
2.3. Plant Density-Specific Results

2.4. Interaction Effects

2.5. Developmental Phases

2.6. Environmental Conditions

2.7. Floral Stem Quality
3. Discussion
4. Materials and Methods
4.1. Study Locations
4.2. Meteorological Data Collection
4.3. Plant Material and Experimental Design
4.4. Seedling Preparation and Greenhouse Conditions
4.5. Soil Preparation and Characteristics
| Soil Chemical Characteristics | ||
|---|---|---|
|
pH in water pH in CaCl2 P (mg/dm3) Ca (cmolc/dm3) Mg (cmolc/dm3) K (cmolc/dm3) Sum of bases (cmolc/dm3) Base saturation (cmolc/dm3) Organic matter (%) |
Dourados – MS* 5.97 5.30 5.90 2.72 1.57 0.50 4.79 55.38 3.57 |
Santa Maria – RS** 4.55 -- 88.30 3.70 1.70 0.52 5.92 49.80 2.10 |
| *Methodology Embrapa and IAC; ** Methodology of the Official Network of Soil and Plant Tissue Analysis Laboratories of the States of Rio Grande do Sul and Santa Catarina. | ||
4.6. Transplanting and Fertilization
4.7. Irrigation and Crop Management
4.8. Growth Measurements and Developmental Stages

4.9. Harvest and Quality Evaluation @
4.10. Statistical Analysis
5. Conclusions
Author Contributions
Funding
Data Availability Statement
Acknowledgments
Conflicts of Interest
References
- Oliveira, A.B.; Dovale, J.C.; Guimarrães, M.A. A cultura do girassol: Ecofisiolofigia. 2. ed. Editora UFV: Viçosa, Brazil, 2022; 312p.
- Curti, G.L.; Martin, T.N.; Ferronato, M.L.; Benin, G. Girassol ornamental: caracterização, pós-colheita e escala de senescência. Revista de Ciências Agrárias 2022, 35, 241–244. [Google Scholar] [CrossRef]
- Tomiozzo, R.; Streck, N.A.; Uhlmann, L.O.; Paula, G.M.; Alberto, C.M.; Bosco, L.C.; Souza, A.G.; Rossato, O.B.; Luz, P.B.; Cavalcante, M.Z.B.; Barreto, L.L.; Sorgato, J.C.; Barros, A.M.F.; Carvalho, J.S.B.; Reis, S.N.; Silva, L.M.C.; Tolentino Junior, J.B.; Itako, A.T.; Paiva, P.D.O. Girassol de corte: inovação e sustentabilidade na floricultura moderna. Editora GR: Santa Maria, Brazil, 2017; 320p.
- Uhlmann, L.O.; Becker, C.C.; Tomiozzo, R.; Streck, N.A.; Schons, A.; Balest, D.S.; Balest, D.S.; Schwab, N.T.; Langner, J.A. A cultura do gladíolo como alternativa de diversificação e renda na pequena propriedade familiar. Ornamental Horticulture 2019, 25, 200–208. [Google Scholar] [CrossRef]
- Streck, N.A.; Uhlmann, L.O. Flowers for all; bridging the gap between science and society. Chronica Horticulturae 2021, 61, 32–34. [Google Scholar]
- Wien, H.C. Response of Branching and Nonbranching Cut Flower Cultivars of Sunflower to Pinching and Planting Density. Horttechnology 2017, 27, 257–262. [Google Scholar] [CrossRef]
- Li, J.; Qu, Z.; Chen, J.; Yang, B.; Huang, Y. Effect of planting density on the growth and yield of sunflower under mulched drip irrigation. Water 2019, 11, 752. [Google Scholar] [CrossRef]
- Mladenović, E.; Cvejić, S.; Jocić, S.; Ćuk, N.; Čukanović, J.; Jocković, M.; Marjanović, J. Effect of plant density on stem and flower quality of single-stem ornamental sunflower genotypes. Horticultural Science, 2020; 45–52. [Google Scholar] [CrossRef]
- Casadebaig, P.; Gauffreteau, A.; Landré, A.; Langlade, N.B.; Mestries, E.; Sarron, J.; Debaeke, P. Optimized cultivar deployment improves the efficiency and stability of sunflower crop production at national scale. Theoretical and Applied Genetics 2022, 135, 4049–4063. [Google Scholar] [CrossRef] [PubMed]
- Monteiro, J.E.B.A. Agrometeorologia dos cultivos. INMET: Brasília, Brazil, 2009; 530p.
- Motamed, M.; Rezvan, S.; Alipour, Z.T.; Laie, G.; Masoud, S.J. Evaluation of growth, yield, oil content, irrigation water use efficiency of sunflower (Helianthus annuus L.) at different levels of plant density and nitrogen content. Rendiconti Lincei. Scienze Fisiche e Naturali 2022, 33, 757–770. [Google Scholar] [CrossRef]
- Beteri, J.; Lyimo, J.G.; Msinde, J.V. The influence of climatic and environmental variables on sunflower planting season suitability in Tanzania. Scientific Reports 2024, 14, 3906. [Google Scholar] [CrossRef]
- Hummel, M.; Silva, A.A. Modelo de negócios em plataforma digital para comercialização de flores no Brasil, Navus 2020, 10, 01-07. [CrossRef]
- Backes, R.L.; Souza, A.M.; Junior, A.A.B.; Gallotti, G.J.M.; Bavaresco, A. Desempenho de cultivares de girassol em duas épocas de plantio de safrinha no planalto norte catarinense. Scientia Agraria 2008, 9, 041–048. [Google Scholar] [CrossRef]
- Braz, M.R.S.; Rossetto, C.A.V. Crescimento de plantas de girassol em função do vigor de aquênios e da densidade de semeadura. Ciência Rural 2009, 39, 1989–1996. [Google Scholar] [CrossRef]
- Plancade, S.; Marchadier, E.; Huet, S.; Ressayre, A.; Noûs, C.; Dillmann, C. A successive time-to-event model of phyllochron dynamics for hypothesis testing: application to the analysis of genetic and environmental effects in maize. Plant Methods 2023, 19, 1–21. [Google Scholar] [CrossRef] [PubMed]
- Harsya, F.; Fabrytsrtsy, K.; Andrade, F. All about growing sunflower-developed by the University of Buenos Aires. Zerno 2012, 7, 26–37. [Google Scholar]
- Taiz, L.; Zeiger, E.; Møller, I.M.; Murphy, A. Fisiologia e Desenvolvimento Vegetal, 6th ed.; Artmed: Porto Alegre, Brazil, 2017; 858p. [Google Scholar]
- Souza, L.C.; Nobre, R.G.; Gheyi, H.R.; Dias, N.D.A.S.; Soares, F.A.L. Métodos de soma térmica na determinação de plastocrono de Helianthus annuus L. cultivado em ambiente protegido em Capitão Poço-PA. Nucleus 2016, 13. [Google Scholar] [CrossRef]
- Sentelhas, P.C.; Nogueira, S.S.; Júnior, M.J.P.; Santos, R.R. Temperatura-base e graus-dia para cultivares de girassol. Revista Brasileira de Agrometeorologia 1994, 2, 43–49. [Google Scholar]
- Longo, M.; Feil, B.; Diepenbrock, W. Effects of plant density, row spacing and row orientation on yield and achene quality in rainfed sunflower. Acta Agronomica Hungarica 2001, 49, 397–407. [Google Scholar] [CrossRef]
- Silveira, J.M.; Castro, C.; Mello, M.C.; Portugal, F. Semeadura e manejo da cultura de Girassol. Londrina: Embrapa, Brazil, 2005; 409p.
- Ferreira, B.G.C.; Kikuti, H.; Kikuti, A.L.P.; Pereira, C.E. Agronomic performance of sunflower varieties as a function of plant populations. Revista de Ciências Agroveterinárias 2023, 22, 378–384. [Google Scholar] [CrossRef]
- Muhsin, S.J.; Ramadhan, M.N.; Nassir, A.J. Effect of organic manure and tillage depths on sunflower (Helianthus annuus L.) production. IOP Conference Series: Earth and Environmental Science 2021, 735, 012070. [Google Scholar] [CrossRef]
- Amorim, E.P.; Ramos, N.P.; Ungaro, M.R.G.; Kiihl, T.A.M. Divergência genética em genótipos de girassol. Ciência e Agrotecnologia 2007, 31, 1637–1644. [Google Scholar] [CrossRef]
- Alvares, C.A.; Stape, J.L.; Sentelhas, P.C.; Gonçalves, J.L.M.; Sparovek, G. Köppen’s climate classification map for Brazil. Meteorologische Zeitschrift 2013, 22, 711–728. [Google Scholar] [CrossRef]
- Maldaner, I.C.; HEldwein, A.B.; Loose, L.H.; Lucas, D.D.P.; Guse, F.I. Bortoluzzi, M.P. Models for estimating leaf area in sunflower. Ciência Rural 2009, 39, 1356–1361. [Google Scholar] [CrossRef]
- Benincasa, M.M.P. (1988). Análise de crescimento de plantas: noções básicas: FUNEP.
- Kiesling, T.C. Calculation of the length of the day. Agronomy Journal 1982, 74, 758–759. [Google Scholar] [CrossRef]
- Xue, Q.; Weiss, A.; Baenziger, P.S. Predicting leaf appearance in field-grown winter wheat: evaluating linear andnon-linear models. Ecological Modelling 2004, 175, 261–270. [Google Scholar] [CrossRef]
- Robinson, R.G. Sunflower phenology-year, variety, and date of planting effects on day andgrowing degree-days summation. CropScience 1971, 11, 635–638. [Google Scholar] [CrossRef]
- Veiling Holambra. Critérios para classificação girassol de corte, 2013. Available online: http://www.veiling.com.br/uploads/padrao_qualidade/criterios/girassolfv.pdf. Accessed on: Apr. 10, 2024.
- Ferreira, D.F. Sisvar: a computer analysis system to fixed effects Split plot type designs. Revista Brasileira de Biometria 2019, 37, 529–535. [Google Scholar] [CrossRef]
| VF | DF | Mean Squares | |||||||
| PH (cm) |
CD (mm) |
SD (mm) |
FLN | LA (cm²/pl) |
LAI |
PHY |
SO-HA (days) |
||
| Location | 1 | 5159.26* | 113.97* | 30.50* | 110.06* | 3523271.25* | 30.40* | 241.08* | 220.90* |
| Density | 4 | 167.92ns | 721.47* | 65.96* | 5.45* | 12382292.63* | 7.44* | 23.97* | 0.16ns |
| Location x Density | 4 | 92.67ns | 80.14* | 1.42ns | 7.79* | 181261.97ns | 0.53ns | 2.05ns | 0.71ns |
| Error | 30 | 147.16 | 18.44 | 1.15 | 1.16 | 130805.69 | 0.93 | 1.70 | 1.58 |
| Overall Average | 139.95 | 58.43 | 13.43 | 23.67 | 2297.89 | 6.83 | 20.17 | 51.05 | |
| CV % | 8.67 | 7.35 | 7.98 | 4.61 | 15.74 | 14.15 | 6.46 | 2.46 | |
| Variable | Location | |
|---|---|---|
| Dourados/MS | Santa Maria/RS | |
| PH (cm) | 151.31 ± 14.56 a | 128.60 ± 8.61 b |
| CD (mm) | 56.74 ± 7.02 b | 60.12 ± 12.19 a |
| SD (mm) | 14.30 ± 3.02 a | 12.55 ± 2.62 b |
| FLN (leaves) | 21.71 ± 0.99 b | 25.03 ± 1.73 a |
| LA (cm²/plant) | 2594.68 ± 1300.79 a | 2001.11 ± 1076.76 b |
| LAI (cm² leaf/cm2 soil) | 7.70 ± 1.19 a | 5.96 ± 1.31 b |
| PHY (°C day leaf-1) | 22.63 ± 2.09 a | 17.72 ± 1.96 b |
| SO-HA (days) | 48.70 ± 1.38 b | 53.40 ± 0.88 a |
Disclaimer/Publisher’s Note: The statements, opinions and data contained in all publications are solely those of the individual author(s) and contributor(s) and not of MDPI and/or the editor(s). MDPI and/or the editor(s) disclaim responsibility for any injury to people or property resulting from any ideas, methods, instructions or products referred to in the content. |
© 2024 by the authors. Licensee MDPI, Basel, Switzerland. This article is an open access article distributed under the terms and conditions of the Creative Commons Attribution (CC BY) license (http://creativecommons.org/licenses/by/4.0/).