Submitted:
23 August 2024
Posted:
26 August 2024
You are already at the latest version
Abstract
Keywords:
2. Introduction
3. Literature Review
3.1. The Link between OCB and EBK
3.2. The Effect of Organizational Citizenship Behavior on Employee Behavior
3.3. The Role of Employee Brand Knowledge on Organizational Citizenship Behavior and Employee Behavior

4. Methodology
4.1. Sample and Procedure
4.2. Instrument Development and Measurement Scales
5. Findings Analysis
5.1. Respondents Profile
5.2. Measurement and Structural Model
| Construct | OCB | EBK | HB | INR | DB | CB |
|---|---|---|---|---|---|---|
| OCB | 0.865 | |||||
| EBK | 0.870 | 0.911 | ||||
| HB | 0.907 | 0.823 | 0.878 | |||
| INR | 0.932 | 0.862 | 0.823 | 0.886 | ||
| DB | -0.36 | 0.45 | 0.342 | 0.455 | 0.934 | |
| CB | 0.782 | 0.621 | 0.712 | 0.634 | 0.581 | 0.921 |
| AVE | 0.821 | 0.875 | 0.838 | 0.860 | 0.901 | .0.915 |
| MSV | 0.784 | 0.853 | 0.792 | 0.814 | 0.889 | 0.891 |
| ASV | 0.522 | 0.445 | 0.622 | 0.664 | 0.464 | 0.673 |
| CR | 0.860 | 0.911 | 0.871 | 0.901 | 0.912 | 0.941 |
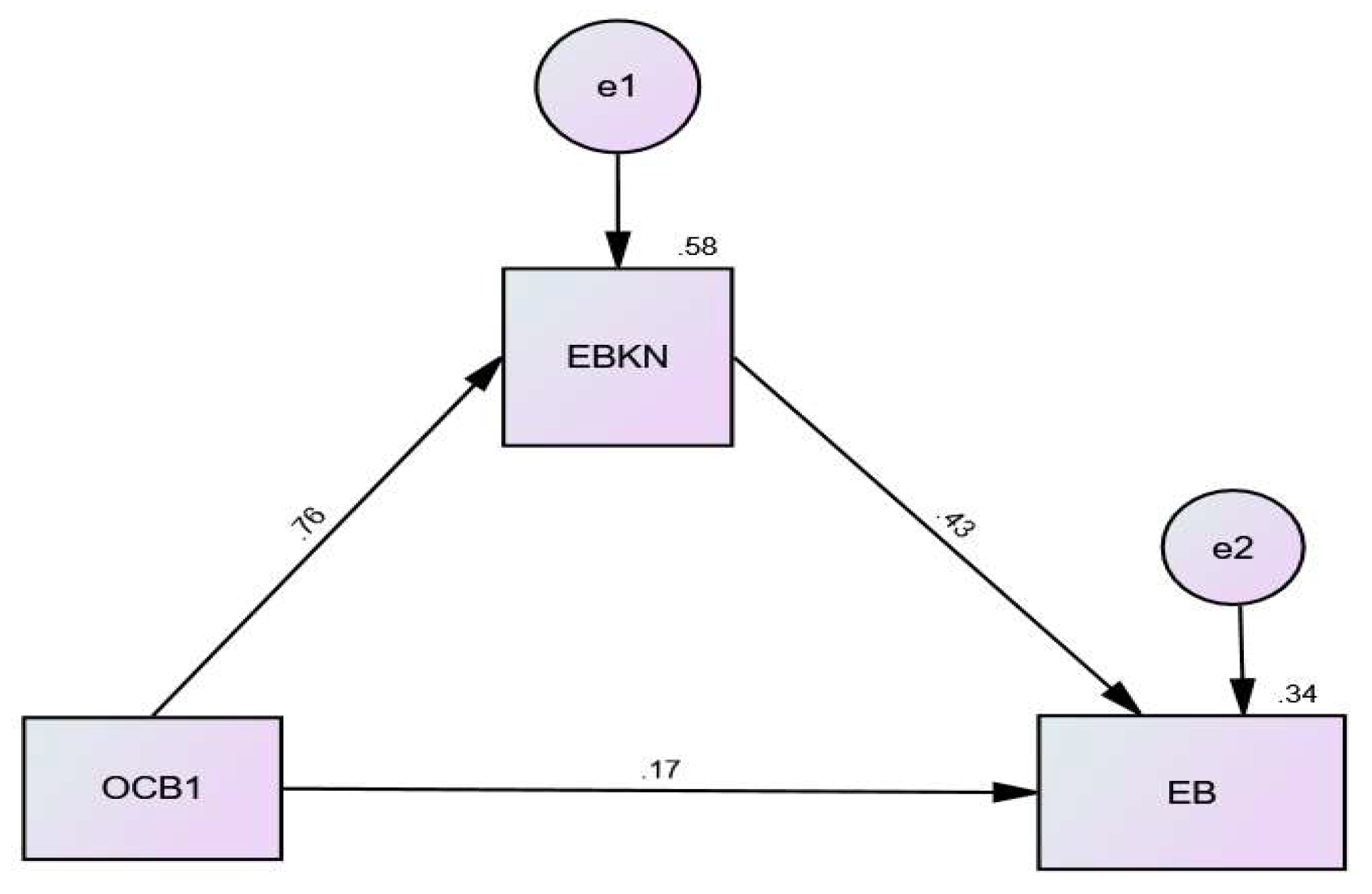
5.3. Mediation Test
6. Discussion
7. Conclusion
8. Theoretical and Practical Implications
References
- Adil, M., Haroon, M., Zakar, M., Shah, M.J. & Tahir, M. (2019). The effects of job characteristics on employee’s organizational citizenship behavior among banking sector employees in Peshawar city. International Journal of Management & Entrepreneurship Research. 1 (3), 132-139.
- Atatsi, E.A. , Stoffers, J. & Kil, A. (2019). Factors affecting employee performance: a systematic literature review. Journal of Advances in Management Research, 16 (3), 329-351.
- Baron, R. M., & Kenny, D. A. (1986). The moderator–mediator variable distinction in social psychological research: Conceptual, strategic, and statistical considerations. Journal of Personality and Social Psychology, 51(6), 1173-1182.
- Biedenbach, G., & Manzhynski, S. (2016). Internal Branding and Sustainability: Investigating Perceptions of Employees. Journal of Product & Brand Management, 25(3), 296-306.
- Bommer, W.H. & Dierdoref, E.C. (2007). Does prevalence mitigate relevance? The moderating effect of group-level OCB on employee performance. Academy of Management Journal, 50 (6), 1481–1494.
- Boukis, A., Gounaris, S., & Lings, I. (2017). Internal Market Orientation Determinants of Employee Brand Enactment. Journal of Services Marketing, 31(7), 690-703.
- Byrne, B. M. (2001). Structural equation modeling with AMOS, EQS, and LISREL: Comparative approaches to testing for the factorial validity of a measuring instrument. International Journal of Testing, 1(1), 55-86.
- Celiker,N. & Guzeller, C.O. (2022). Predicting Organizational Citizenship Behaviour in Hospitality Businesses with Decision Tree Method, International Journal of Hospitality & Tourism Administration, 25(2), 436–474.
- Chanko, B.O. & Rahmat, A. (2022). Altruistic Leadership and Organizational Citizenship Behavior: Mediating Role of Leader-Member Exchange. Sains Organisasi, 1, (1), 1-9.
- Chelagat, Lelei J., Chepkwony, Kiprop, P., Kemboi, A., (2015). Effect of Organizational Citizenship Behavior on Employee Performance in Banking Sector, Nairobi County, Kenya. International Journal of Business, Humanities and Technology. Vol. 5, No. 4.
- Cho, S. & Johanson, M.M. (2008). Organizational Citizenship Behavior and Employee Performance: A Moderating Effect of Work Status in Restaurant Employees. Journal of Hospitality and Tourism Research, 32 (3), 307-326.
- Churchill, G. A., & Peter, J. P. (1984). Research design effects on the reliability of rating scales: A meta-analysis. Journal of Marketing Research, 21(4), 360-375.
- Fathya, V.N. (2021). Antecedents and Outcomes of Employee Brand Knowledge: a Literature Review. Jurnal Dinamika Manajemen, 12 (1), 114-122.
- Gelfand, M.J. , Erez, M. & Aycan, Z. (2007). Cross-Cultural Organizational Behavior, Annual Review of Psychology, 58, 479-514.
- Ha, T.S. & Moon K.K. (2023). Distributive Justice, Goal Clarity, and Organizational Citizenship Behavior: The Moderating Role of Transactional and Transformational Leadership. Sustainability, 15, 7403.
- Hair, J. F. , Anderson, R. E., Babin, B. J., & Black, W. C. (2010). Multivariate data analysis: A global perspective (Vol. 7). Upper Saddle River, NJ: Pearson.
- Hidayah, S. & Harnoto. (2018). Role of Organizational Citizenship Behavior (OCB), Perception of Justice and Job Satisfaction on Employee Performance. Jurnal Dinamika Manajemen, 9 (2), 170-178.
- King, C., Sob, K.K.F. & Debra Gracec, D. (2013). The influence of service brand orientation on hotel employees’ attitude and behaviors in China. International Journal of Hospitality Management, 34 (2013), 172–180.
- Lay, Y. , Basana1, S.R. and Panjaitan, T.W.S. (2020). The Effect of Organizational Trust and Organizational Citizenship Behavior on Employee Performance. SHS Web of Conferences SHS Web of Conferences 76, 01058 (2020).
- Löhndorf, B. & Diamantopoulos, A. (2014). Internal branding: social identity and social exchange perspectives on turning employees into brand champions. Journal of Service Research - JSR, 17(3), 310 - 325.
- Muhammad, S., Salleh, S. M., & Yusr, M. M. (2019). The Role of Brand Knowledge in Explaining Relationship between Brand Centered Communications and Brand Commitment: Evidence from Public Banks Pakistan. The Journal of Distribution Science, 17(1), 33-45.
- Munir, S.M. The impact of human capital practices, leadership style and organizational citizenship behavior (OCB) on employee performance at state’s owned construction companies in Indonesia. E-Proceedings of The International Conference On Aqidah, Religions and Social Sciences (SIGMA10) 4/11/2020.
- Neubert, M. J., Carlson, D.S., Kacmar, K.M. & Chonko, L.B. (2008). Regulatory Focus as a Mediator of the Influence of Initiating Structure and Servant Leadership on Employee Behavior. Journal of Applied Psychology, 93 (6), 1220–1233.
- Ngo, L.V., Nguyen, N.P., Huynh, K.T., Gregory, G. & Cuong, P.H. (2019). Converting internal brand knowledge into employee performance. Journal of Product & Brand Management, 29 (3), 273-287.
- Nguyen, L. T. V., Lu, V. N., Hill, S. R., & Conduit, J. (2019). The Mediating Role of Brand Knowledge on Employees’ Brand Citizen ship Behaviour: Does Organizational Ten ure Matter? Australasian Marketing Journal (AMJ), 27(3), 169-178.
- Nirmali, K.A.A., Khathibi, A. & Azam, S.M.F. (2018). Exploring employees brand knowledge in Sri Lankan banking sector. European Journal of Social Sciences Studies, 3 (1).
- Nurjanah, S., Pebianti, V., & Handaru, A. W. (2020). The influence of transformational leadership, job satisfaction, and organizational commitments on Organizational Citizenship Behavior (OCB) in the inspectorate general of the Ministry of Education and Culture. Cogent Business & Management, 7(1), 1793521.
- Organ, D.W. (2015). Organizational Citizenship Behavior. In: JD Wright. International Encyclopedia of the Social & Behavioral Sciences. 2nd ed. Elsevier; 2015: 317-321.
- Özçelika, G. & Fındıklı, M.A. (2014). The Relationship between Internal Branding and Organizational Citizenship Behaviour: The Mediating Role of Person-organization Fit. Procedia - Social and Behavioral Sciences , 150, 1120-1128.
- Podsakoff, P.M. Scott, B. MacKenzie, S.B., Moorman, R.H. & Richard Fetter, R. (1990). Transformational leader behaviors and their effects on followers’ trust in leader, satisfaction, organizational and citizenship behaviors. Quarterly, l (2), 107-142.
- Ridwan, M. (2020). Analysis of organizational commitment through OCB on employee performance. DIJMS, 1 (4), 543–555.
- Robbins, S. & Judge, T. (2019), Organizational Behavior, 18th Edition, Pearson Prentice Hall, USA.
- Shah, S.T.H. Shah, S.M.A. & El-Gohary, H. (2023). Nurturing Innovative Work Behaviour through Workplace Learning among Knowledge Workers of Small and Medium Businesses. Journal of the Knowledge Economy, 14:3616–3639.
- Shweta, J. , and Srirang, J. 2010. Determinants of Organizational Citizenship Behavior: A Review of Literature, Journal of Management and Public Policy, Vol 1 No 2, pp.27-36.
- Sugianingrat, I.A.P.W Mahayasa, G.A., Yasa, K.D., Pratama, G.A.A.E.B. (2021). Improving Employee Performance Through Spiritual Intelligence and Organizational Citizenship Behavior. Timor-Leste Journal of Business and Management, 3(2), 26-33.
- Terglav, K., Ruzzier, M. K., & Kaše, R. (2016). In ternal Branding Process: Exploring the Role of Mediators in Top Management’s Leadership-Commitment Relationship. International Journal of Hospitality Management, 54 (4), 1-11.
- Van Nguyen, L. T. , Lu, V. N., Hill, S. R., & Conduit, J. (2019). The mediating role of brand knowledge on employees’ brand citizenship behaviour: Does organizational tenure matter?. Australasian Marketing Journal (AMJ), 27(3), 169-178.
- Victorino, L., and A. R. Bolinger. 2012. Scripting employees: An exploratory analysis of customer perceptions. Cornell Hospitality Quarterly, 53 (3): 196-206.
- Williams, L.J. & Anderson, S.E. (1991). Job satisfaction and organizational commitment as predictors of organizational citizenship and in-role behaviors. Journal of Management, 17(3), 601.
- Xionga, L. & King, G. (2019). Aligning employees’ attitudes and behavior with hospitality brands: The role of employee brand internalization. Journal of Hospitality and Tourism Management, 40 (2019), 67-76.
- Yang, T., Jiang, X. & Cheng, H. (2022). Employee Recognition, Task Performance, and OCB: Mediated and Moderated by Pride. Sustainability 2022 (14), 1631.


| Variables | Hypothesis | p-value | t-value | Beta | result | ||
|---|---|---|---|---|---|---|---|
| OCB | → | EBK | 1 | *** | 9.655 | .871 | Accept |
| OCB | → | HB | 2 | *** | 10.329 | 0.964 | Accept |
| OCB | → | INR | 3 | *** | 10.125 | 0.94 | Accept |
| OCB | → | DB | 4 | *** | -3.337 | -.340 | Accept |
| OCB | → | CB | 5 | *** | 7.760 | .775 | Accept |
| OCB>EBKN>EB | Direct effects | Indirect effects | Total effects | Result |
| 0.468 | 0.888* | 1.356*** | Accepted |
Disclaimer/Publisher’s Note: The statements, opinions and data contained in all publications are solely those of the individual author(s) and contributor(s) and not of MDPI and/or the editor(s). MDPI and/or the editor(s) disclaim responsibility for any injury to people or property resulting from any ideas, methods, instructions or products referred to in the content. |
© 2024 by the authors. Licensee MDPI, Basel, Switzerland. This article is an open access article distributed under the terms and conditions of the Creative Commons Attribution (CC BY) license (http://creativecommons.org/licenses/by/4.0/).