Submitted:
07 September 2024
Posted:
13 September 2024
You are already at the latest version
Abstract
Keywords:
1. Introduction
2. Background and Ancillary Results
- Efficient Verifiability: Solutions can be swiftly checked using a concise proof.
- Universal Hardness: Every problem in the class can be transformed into an instance of this problem without significant computational overhead [9].
- Boolean satisfiability (SAT): Given a logical expression, determine if there exists an assignment of truth values to its variables that makes the entire expression true [10].
- Clique: In a given graph, identify a maximum-sized subset of vertices where every two vertices are connected by an edge [10].
- Boolean variables: , which can take on the values true or false.
- Boolean connectives: Logical operators such as AND (∧), OR (∨), NOT (¬), implication (⇒), and equivalence (⇔).
- Parentheses: To specify the order of operations.
3. Main Result
-
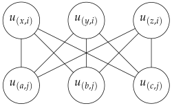
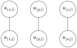
Building the Graph.
- Vertex Creation: Each variable x in a clause of is represented by a unique vertex in G, denoted .
- Edge Creation: For every two different clauses and in , we consider the following three cases in the edge creation (This edge creation ensures chordality):
- Case 1:
-
The clauses and do not share any variables:

- Case 2:
-
The clauses and both contain the variable x:

- Case 3:
-
The clauses and both contain the variables x and y:

- 2.
-
Edge Implications. The introduced edges ensure that:
- Variables are grouped: Vertices representing the same variable are always together in a clique.
- Clauses are limited: At most one vertex from each clause can be in a clique.
- 3.
-
Understanding the Edges. The edges in the graph are designed to ensure the following:
- Solution Mapping: A clique in the graph corresponds to a valid solution for the formula .
- Clause Satisfaction: A clause in contains exactly one true variable if and only if at least one of its corresponding vertices is included in the clique.
- 4.
-
Mapping Between Solutions. A clique set in the graph represents a valid solution to the formula if:
- Clause Coverage: It includes at least one vertex from every clause, ensuring that each clause contains exactly one true variable.
- Variable Consistency: A variable consistency constraint requires that all vertices representing a specific variable are included in the same clique. This guarantees that the solution assigns the same truth value to all instances of a variable.
- 5.
-
Why it Works.
- Consistency Enforcement: The graph’s structure ensures that any chosen set of vertices (clique) corresponds to a valid truth assignment for the formula’s variables.
- Solution Equivalence: A truth assignment with exactly one true variable per clause in is directly equivalent to a clique containing at least m vertices (where m represent the number of clauses in ).
- 6.
-
Equivalence and Complexity.
- Problem Equivalence: A solution to the problem (a truth assignment with exactly one true variable per clause) exists if and only if a clique of size at least m exists in the corresponding chordal graph.
- Polynomial Time Solvability: The problem, which involves finding such a clique in a chordal graph, is solvable in polynomial time. Consequently, the original problem can also be solved in polynomial time. This is because determining the existence of a suitable truth assignment is equivalent to finding the clique, which is a computationally efficient task. Additionally, verifying if the constructed graph is indeed a chordal graph can be done in polynomial time [11].
4. Conclusion
-
Algorithmic Revolution.
- −
- The most immediate impact would be a dramatic acceleration of problem-solving capabilities. Complex challenges currently deemed intractable, such as protein folding, logistics optimization, and certain cryptographic problems, could become efficiently solvable [3]. This breakthrough would revolutionize fields from medicine to cybersecurity. Moreover, everyday optimization tasks, from scheduling to financial modeling, would benefit from exponentially faster algorithms, leading to improved efficiency and decision-making across industries [3].
-
Scientific Advancements.
- −
- Scientific research would undergo a paradigm shift. Complex simulations in fields like physics, chemistry, and biology could be executed at unprecedented speeds, accelerating discoveries in materials science, drug development, and climate modeling [3]. The ability to efficiently analyze massive datasets would provide unparalleled insights in social sciences, economics, and healthcare, unlocking hidden patterns and correlations [3].
-
Technological Transformation.
- −
- Artificial intelligence would be profoundly impacted. The development of more powerful AI algorithms would be significantly accelerated, leading to breakthroughs in machine learning, natural language processing, and robotics [8]. While the cryptographic landscape would face challenges, it would also present opportunities to develop new, provably secure encryption methods [8].
-
Economic and Societal Benefits.
- −
- The broader economic and societal implications are equally significant. A surge in innovation across various sectors would be fueled by the ability to efficiently solve complex problems. Resource optimization, from energy to transportation, would become more feasible, contributing to a sustainable future [3].
References
- Cook, S.A. The P versus NP Problem, Clay Mathematics Institute. https://www.claymath.org/wp-content/uploads/2022/06/pvsnp.pdf, 2022. Accessed September 7, 2024.
- Sudan, M. The P vs. NP problem. http://people.csail.mit.edu/madhu/papers/2010/pnp.pdf, 2010. Accessed September 7, 2024.
- Fortnow, L. The status of the P versus NP problem. Communications of the ACM 2009, 52, 78–86. [Google Scholar] [CrossRef]
- Aaronson, S. P=?NP. Open Problems in Mathematics 2016, pp. 1–122. [CrossRef]
- Baker, T.; Gill, J.; Solovay, R. Relativizations of the P=?NP Question. SIAM Journal on computing 1975, 4, 431–442. [Google Scholar] [CrossRef]
- Razborov, A.A.; Rudich, S. Natural Proofs. Journal of Computer and System Sciences 1997, 1, 24–35. [Google Scholar] [CrossRef]
- Wigderson, A. Mathematics and Computation: A Theory Revolutionizing Technology and Science; Princeton University Press, 2019.
- Fortnow, L. Fifty Years of P vs. NP and the Possibility of the Impossible. Communications of the ACM 2022, 65, 76–85. [Google Scholar] [CrossRef]
- Cormen, T.H.; Leiserson, C.E.; Rivest, R.L.; Stein, C. Introduction to Algorithms, 3rd ed.; The MIT Press, 2009.
- Garey, M.R.; Johnson, D.S. Computers and Intractability: A Guide to the Theory of NP-Completeness, 1st ed.; San Francisco: W. H. Freeman and Company, 1979. [Google Scholar]
- Alvarez, C.; Greenlaw, R. A compendium of problems complete for symmetric logarithmic space. Computational Complexity 2000, 9, 123–145. [Google Scholar] [CrossRef]
- Gavril, F. Algorithms for Minimum Coloring, Maximum Clique, Minimum Covering by Cliques, and Maximum Independent Set of a Chordal Graph. SIAM Journal on Computing 1972, 1, 180–187. [Google Scholar] [CrossRef]
Disclaimer/Publisher’s Note: The statements, opinions and data contained in all publications are solely those of the individual author(s) and contributor(s) and not of MDPI and/or the editor(s). MDPI and/or the editor(s) disclaim responsibility for any injury to people or property resulting from any ideas, methods, instructions or products referred to in the content. |
© 2024 by the authors. Licensee MDPI, Basel, Switzerland. This article is an open access article distributed under the terms and conditions of the Creative Commons Attribution (CC BY) license (http://creativecommons.org/licenses/by/4.0/).
