Submitted:
17 August 2024
Posted:
19 August 2024
Read the latest preprint version here
Abstract
Keywords:
1. Introduction
2. Materials and Methods
3. Results
3.1. Systematic Review
3.1.1. Study Selection
3.1.2. Study and Intervention Characteristics
- Aerobic Exercise Training (AET): 18 studies
- Resistance Training: 11 studies
- Inspiratory Muscle Training (IMT): 6 studies
3.1.3. Patient Characteristics
3.1.4. Quality Assessment
3.2. Study Observations
3.2.1. Exercise Capacity
3.2.2. Peak Workload
3.2.3. VE/VCO2 Slope
3.2.4. Activity Levels
3.2.5. Cardiac Output
3.2.6. Cardiac Biomarkers
3.2.7. Lung Function
3.2.8. Lower Limb Muscle Function
3.2.9. Quality of Life
3.2.10. Adverse Events
3.3. Meta-Analysis
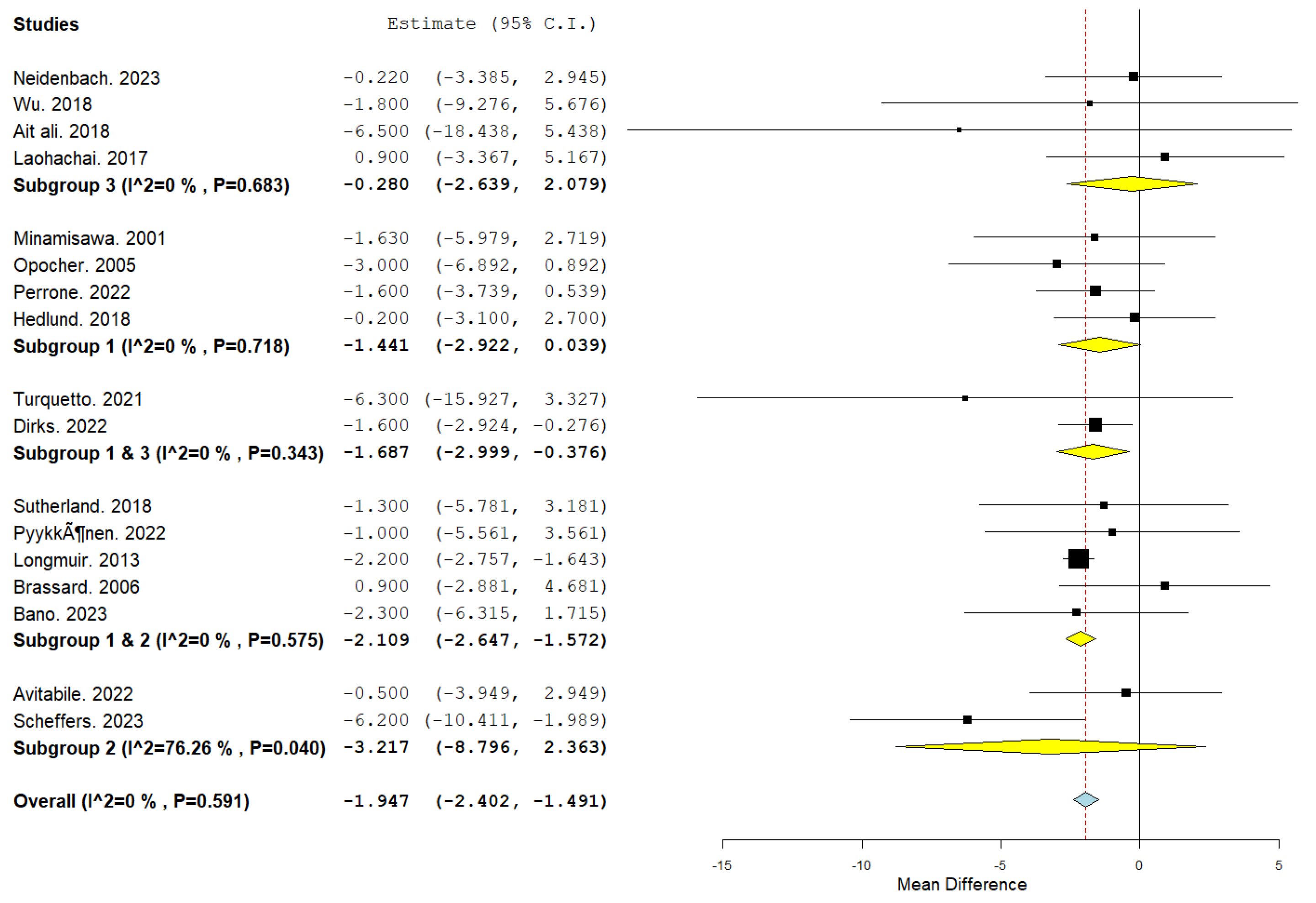
3.3.1. Effectiveness of Intervention Types
- IMT: This subgroup did not demonstrate a significant effect, with a mean difference of -0.280 (95% CI: -2.639–2.079; p = 0.816).
- AET: AET alone approached statistical significance, with a mean difference of -1.441 (95% CI: -2.922–0.039; p = 0.056), suggesting a potential benefit of AET in improving outcomes.
- Combined AET and Resistance Training: The combination of AET and resistance training provided a significant mean difference of -2.109 (95% CI: -2.647 to -1.572; p < 0.001), indicating the robust effect of this hybrid intervention.
- Combined AET and IMT: The addition of IMT to AET also yielded a favourable outcome, with a mean difference of -1.687 (95% CI: -2.999 to -0.376; p=0.012).
- Resistance Training Alone: Resistance training alone did not reach significance, with a mean difference of -3.217 (95% CI: -8.798 to 2.363; p = 0.259).
3.3.2. Effect of Cardiac Rehabilitation on Peak Work
- IMT: No significant change (SMD: 0.148; 95% CI: -0.246 to 0.543; p = 0.461).
- AET: No significant improvement (SMD: 0.090; 95% CI: -0.344 to 0.524; p = 0.684).
- Combined AET and Resistance Training: No significant effect (SMD: 0.152; 95% CI: -0.299 to 0.603; p = 0.509).
- Resistance Training Alone: A non-significant trend toward improvement (SMD: 0.487; 95% CI: -0.273 to 1.247; p = 0.209).

4. Discussion
5. Conclusions
Supplementary Materials
Author Contributions
Funding
Institutional Review Board Statement
Informed Consent Statement
Data Availability Statement
Conflicts of Interest
References
- Kverneland, L.S.; Kramer, P.; Ovroutski, S. Five decades of the Fontan operation: A systematic review of international reports on outcomes after univentricular palliation. Congenital heart disease. 2018, 13, 181–193. [Google Scholar] [CrossRef] [PubMed]
- Schilling, C.; Dalziel, K.; Nunn, R.; Du Plessis, K.; Shi, W.Y.; Celermajer D; et al. The Fontan epidemic: Population projections from the Australia and New Zealand Fontan registry. International journal of cardiology. 2016, 219, 14–19. [Google Scholar] [CrossRef] [PubMed]
- Rychik, J.; Atz, A.M.; Celermajer, D.S.; Deal, B.J.; Gatzoulis, M.A.; Gewillig MH; et al. Evaluation and management of the child and adult with Fontan circulation: A scientific statement from the American Heart Association. Circulation. 2019, 140, e234–e84. [Google Scholar] [CrossRef] [PubMed]
- Downing, T.E.; Allen, K.Y.; Glatz, A.C.; Rogers, L.S.; Ravishankar, C.; Rychik J; et al. Long-term survival after the Fontan operation: Twenty years of experience at a single center. The Journal of thoracic and cardiovascular surgery. 2017, 154, 243–253.e2. [Google Scholar] [CrossRef] [PubMed]
- Scheffers, L.E.; Berg LEv, Ismailova, G. ; Dulfer, K.; Takkenberg, J.J.; Helbing WA. Physical exercise training in patients with a Fontan circulation: A systematic review. European journal of preventive cardiology. 2021, 28, 1269–1278. [Google Scholar] [CrossRef] [PubMed]
- McCrindle, B.W.; Williams, R.V.; Mital, S.; Clark, B.J.; Russell, J.L.; Klein G; et al. Physical activity levels in children and adolescents are reduced after the Fontan procedure, independent of exercise capacity, and are associated with lower perceived general health. Archives of disease in childhood. 2007, 92, 509–514. [Google Scholar] [CrossRef] [PubMed]
- Goldberg, D.J.; Avitabile, C.M.; McBride, M.G.; Paridon, S.M. Exercise capacity in the Fontan circulation. Cardiology in the Young. 2013, 23, 824–830. [Google Scholar] [CrossRef] [PubMed]
- Gewillig, M. The fontan circulation. Heart. 2005, 91, 839–846. [Google Scholar] [CrossRef] [PubMed]
- van der Ven, J.P.; van den Bosch, E.; Bogers, A.J.; Helbing, WA. State of the art of the Fontan strategy for treatment of univentricular heart disease. F1000Research. 2018, 7. [Google Scholar] [CrossRef] [PubMed]
- Sutherland, N.; Jones, B.; d’Udekem, Y. Should we recommend exercise after the Fontan procedure? Heart, Lung and Circulation. 2015, 24, 753–768. [Google Scholar] [CrossRef] [PubMed]
- Longmuir, P.E.; Brothers, J.A.; De Ferranti, S.D.; Hayman, L.L.; Van Hare, G.F.; Matherne GP; et al. Promotion of physical activity for children and adults with congenital heart disease: A scientific statement from the American Heart Association. Circulation. 2013, 127, 2147–2159. [Google Scholar] [CrossRef]
- Longmuir, P.E. Importance of Physical Activity and Exercise in Paediatric Fontan Patients. CJC Pediatric and Congenital Heart Disease. 2022. [Google Scholar] [CrossRef]
- Sterne JAC, Savović, J. ; Page, M.J.; Elbers, R.G.; Blencowe, N.S.; Boutron I; et al. RoB 2, a revised tool for assessing risk of bias in randomised trials. BMJ (Clinical research ed). 2019, 366, l4898. [Google Scholar]
- von Elm, E.; Altman, D.G.; Egger, M.; Pocock, S.J.; Gøtzsche, P.C.; Vandenbroucke, JP. Strengthening the Reporting of Observational Studies in Epidemiology (STROBE) statement: Guidelines for reporting observational studies. BMJ (Clinical research ed). 2007, 335, 806–808. [Google Scholar] [CrossRef]
- Rahmani, N.; Salehi, A.; Molavi Vardanjani, H.; Marzban, M.; Behbood, A. Using STROBE checklist to assess the reporting quality of observational studies affiliated with Shiraz University of Medical Sciences, and its correlates: A scientometric study from Iran. Scientometrics. 2020, 122, 989–1001. [Google Scholar] [CrossRef]
- Neidenbach, R.; Freilinger, S.; Stöcker, F.; Ewert, P.; Nagdyman, N.; Oberhoffer-Fritz R; et al. Clinical aspects and targeted inspiratory muscle training in children and adolescents with Fontan circulation: A randomized controlled trial. Cardiovascular diagnosis and therapy. 2023, 13, 11–24. [Google Scholar] [CrossRef]
- Minamisawa, S.; Nakazawa, M.; Momma, K.; Imai, Y.; Satomi, G. Effect of aerobic training on exercise performance in patients after the Fontan operation. The American journal of cardiology. 2001, 88, 695–698. [Google Scholar] [CrossRef]
- Opocher, F.; Varnier, M.; Sanders, S.P.; Tosoni, A.; Zaccaria, M.; Stellin G; et al. Effects of aerobic exercise training in children after the Fontan operation. The American journal of cardiology. 2005, 95, 150–152. [Google Scholar] [CrossRef] [PubMed]
- Fritz, C.; Müller, J.; Oberhoffer, R.; Ewert, P.; Hager, A. Inspiratory muscle training did not improve exercise capacity and lung function in adult patients with Fontan circulation: A randomized controlled trial. International journal of cardiology. 2020, 305, 50–55. [Google Scholar] [CrossRef] [PubMed]
- Turquetto ALR, Dos Santos, M. R.; Agostinho, D.R.; Sayegh ALC, de Souza, F.R.; Amato LP; et al. Aerobic exercise and inspiratory muscle training increase functional capacity in patients with univentricular physiology after Fontan operation: A randomized controlled trial. Int J Cardiol. 2021, 330, 50–58. [Google Scholar] [CrossRef]
- Dulfer, K.; Duppen, N.; Kuipers, I.M.; Schokking, M.; van Domburg, R.T.; Verhulst FC; et al. Aerobic exercise influences quality of life of children and youngsters with congenital heart disease: A randomized controlled trial. Journal of adolescent health. 2014, 55, 65–72. [Google Scholar] [CrossRef] [PubMed]
- Duppen, N.; Kapusta, L.; de Rijke, Y.B.; Snoeren, M.; Kuipers, I.M.; Koopman LP; et al. The effect of exercise training on cardiac remodelling in children and young adults with corrected tetralogy of Fallot or Fontan circulation: A randomized controlled trial. International journal of cardiology. 2015, 179, 97–104. [Google Scholar] [CrossRef] [PubMed]
- Duppen, N.; Etnel, J.R.; Spaans, L.; Takken, T.; van den Berg-Emons, R.J.; Boersma E; et al. Does exercise training improve cardiopulmonary fitness and daily physical activity in children and young adults with corrected tetralogy of Fallot or Fontan circulation? A randomized controlled trial. American heart journal. 2015, 170, 606–614. [Google Scholar] [CrossRef] [PubMed]
- Sutherland, N.; Jones, B.; Westcamp Aguero, S.; Melchiori, T.; du Plessis, K.; Konstantinov IE; et al. Home- and hospital-based exercise training programme after Fontan surgery. Cardiol Young. 2018, 28, 1299–1305. [Google Scholar] [CrossRef] [PubMed]
- Jacobsen, R.M.; Ginde, S.; Mussatto, K.; Neubauer, J.; Earing, M.; Danduran, M. Can a Home-based Cardiac Physical Activity Program Improve the Physical Function Quality of Life in Children with F ontan Circulation? Congenital heart disease. 2016, 11, 175–182. [Google Scholar] [CrossRef] [PubMed]
- Jacobsen, R.; Danduran, M.; Mussatto, K.; Hill, G.D.; Ginde, S. Can a home-based cardiac physical activity program improve and sustain quality of life and exercise capacity in children with Fontan circulation? Progress in Pediatric Cardiology. 2018, 50, 12–16. [Google Scholar] [CrossRef]
- Dirks, S.; Kramer, P.; Schleiger, A.; Speck, H.M.; Wolfarth, B.; Thouet T; et al. Home-Based Long-Term Physical Endurance and Inspiratory Muscle Training for Children and Adults With Fontan Circulation-Initial Results From a Prospective Study. Frontiers in cardiovascular medicine. 2021, 8, 784648. [Google Scholar] [CrossRef] [PubMed]
- Avitabile, C.M.; McBride, M.G.; Zhang, X.; Ampah, S.; Goldstein, B.H.; Alsaied T; et al. Peak Work Rate Increases With Lower Extremity-Focused Exercise Training in Adolescents With Fontan Circulation. Journal of the American Heart Association. 2022, 11, e027464. [Google Scholar] [CrossRef] [PubMed]
- Perrone, M.A.; Pomiato, E.; Palmieri, R.; Di Già, G.; Piemonte, F.; Porzio O; et al. The Effects of Exercise Training on Cardiopulmonary Exercise Testing and Cardiac Biomarkers in Adult Patients with Hypoplastic Left Heart Syndrome and Fontan Circulation. Journal of cardiovascular development and disease. 2022, 9. [Google Scholar] [CrossRef] [PubMed]
- Pyykkönen, H.; Rahkonen, O.; Ratia, N.; Lähteenmäki, S.; Tikkanen, H.; Piirilä P; et al. Exercise Prescription Enhances Maximal Oxygen Uptake and Anaerobic Threshold in Young Single Ventricle Patients with Fontan Circulation. Pediatric cardiology. 2022, 43, 969–976. [Google Scholar] [CrossRef] [PubMed]
- Wu, F.M.; Opotowsky, A.R.; Denhoff, E.R.; Gongwer, R.; Gurvitz, M.Z.; Landzberg MJ; et al. A Pilot Study of Inspiratory Muscle Training to Improve Exercise Capacity in Patients with Fontan Physiology. Seminars in thoracic and cardiovascular surgery. 2018, 30, 462–469. [Google Scholar] [CrossRef]
- Hedlund, E.R.; Lundell, B.; Söderström, L.; Sjöberg, G. Can endurance training improve physical capacity and quality of life in young Fontan patients? Cardiol Young. 2018, 28, 438–446. [Google Scholar] [CrossRef] [PubMed]
- Hedlund, E.R.; Ljungberg, H.; Söderström, L.; Lundell, B.; Sjöberg, G. Impaired lung function in children and adolescents with Fontan circulation may improve after endurance training. Cardiol Young. 2018, 28, 1115–1122. [Google Scholar] [CrossRef] [PubMed]
- Wittekind, S.; Mays, W.; Gerdes, Y.; Knecht, S.; Hambrook, J.; Border W; et al. A Novel Mechanism for Improved Exercise Performance in Pediatric Fontan Patients After Cardiac Rehabilitation. Pediatric cardiology. 2018, 39, 1023–1030. [Google Scholar] [CrossRef] [PubMed]
- Ait Ali, L.; Pingitore, A.; Piaggi, P.; Brucini, F.; Passera, M.; Marotta M; et al. Respiratory Training Late After Fontan Intervention: Impact on Cardiorespiratory Performance. Pediatric cardiology. 2018, 39, 695–704. [Google Scholar] [CrossRef]
- Cordina, R.L.; O'Meagher, S.; Karmali, A.; Rae, C.L.; Liess, C.; Kemp GJ; et al. Resistance training improves cardiac output, exercise capacity and tolerance to positive airway pressure in Fontan physiology. International journal of cardiology. 2013, 168, 780–788. [Google Scholar] [CrossRef]
- Longmuir, P.E.; Tyrrell, P.N.; Corey, M.; Faulkner, G.; Russell, J.L.; McCrindle, B.W. Home-based rehabilitation enhances daily physical activity and motor skill in children who have undergone the Fontan procedure. Pediatric cardiology. 2013, 34, 1130–1151. [Google Scholar] [CrossRef]
- Brassard, P.; Poirier, P.; Martin, J.; Noël, M.; Nadreau, E.; Houde C; et al. Impact of exercise training on muscle function and ergoreflex in Fontan patients: A pilot study. Int J Cardiol. 2006, 107, 85–94. [Google Scholar] [CrossRef]
- Scheffers, L.E.; Helbing, W.A.; Pereira, T.; Utens, E.; Dulfer, K. ; Hirsch A; et al. Leg-focused high-weight resistance training improves ventricular stroke volume, exercise capacity and strength in young patients with a Fontan circulation. Eur J Prev Cardiol. 2023. [Google Scholar]
- Bano, M.; Hussain, T.; Samels, M.R.; Butts, R.J.; Kirk, R.; Levine, B.D. Cardiovascular remodelling in response to exercise training in patients after the Fontan procedure: A pilot study. Cardiol Young. 2023, 1–10. [Google Scholar] [CrossRef]
- Laohachai, K.; Winlaw, D.; Selvadurai, H.; Gnanappa, G.K.; d'Udekem, Y.; Celermajer D; et al. Inspiratory Muscle Training Is Associated With Improved Inspiratory Muscle Strength, Resting Cardiac Output, and the Ventilatory Efficiency of Exercise in Patients With a Fontan Circulation. Journal of the American Heart Association. 2017, 6. [Google Scholar] [CrossRef] [PubMed]
- Selamet Tierney, E.S.; Palaniappan, L.; Leonard, M.; Long, J.; Myers, J.; Dávila T; et al. Design and rationale of re-energize fontan: Randomized exercise intervention designed to maximize fitness in fontan patients. Am Heart J. 2023, 259, 68–78. [Google Scholar] [CrossRef] [PubMed]
- Cordina, R.; Celermajer, D.S.; d’Udekem, Y. Lower limb exercise generates pulsatile flow into the pulmonary vascular bed in the setting of the Fontan circulation. Cardiology in the Young. 2018, 28, 732–733. [Google Scholar] [CrossRef] [PubMed]



Disclaimer/Publisher’s Note: The statements, opinions and data contained in all publications are solely those of the individual author(s) and contributor(s) and not of MDPI and/or the editor(s). MDPI and/or the editor(s) disclaim responsibility for any injury to people or property resulting from any ideas, methods, instructions or products referred to in the content. |
© 2024 by the authors. Licensee MDPI, Basel, Switzerland. This article is an open access article distributed under the terms and conditions of the Creative Commons Attribution (CC BY) license (http://creativecommons.org/licenses/by/4.0/).