Submitted:
13 August 2024
Posted:
15 August 2024
You are already at the latest version
Abstract
Keywords:
1. Introduction
2. Materials and Methods
- ANN 1: Glycemia, WC, HDL, Triglycerides, SBP, DBP.
- ANN 2: Age, Sex, Weight, Height, SBP, DBP.
- ANN 3: Age, Sex, WC, SBP, DBP.
- ANN 4: Age, Sex, BMI, SBP, DBP.
- ANN 5: Age, Sex, WC, Weight, SBP, DBP.
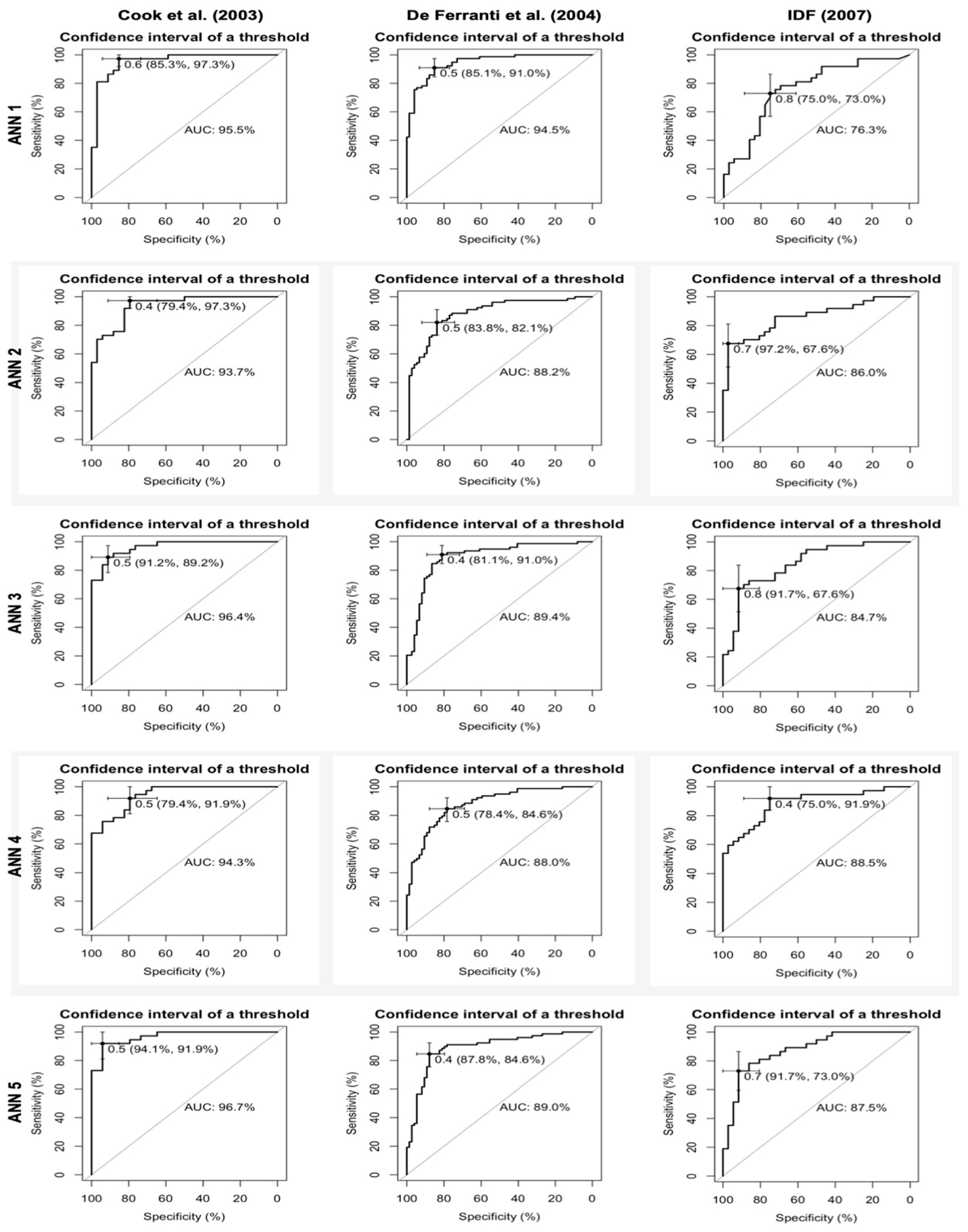
3. Results
4. Discussion
5. Conclusions
Author Contributions
Funding
Institutional Review Board Statement
Informed Consent Statement
Conflicts of Interest
References
- Melo, D.A.; Santos, A.M.; Silveira, V.N.C.; Silva, M.B.; Diniz, A.S. Prevalence of metabolic syndrome in adolescents based on three diagnostic definitions: a cross-sectional study. Arch Endocrinol Metab. 2023;67(5):1-8. [CrossRef]
- DeBoer, M.D. Assessing and Managing the Metabolic Syndrome in Children and Adolescents. Nutrients. 2019;11(1788). [CrossRef]
- Al-Hamad, D.; Raman, V. Metabolic syndrome in children and adolescents. Transl Pediatr. 2017;6(4):397-407. [CrossRef]
- Al-Shami, I.; Alkhalidy, H.; Alnaser, K.; Mukattash, T.L.; Hourani, H.A.; Alzboun, T.; et al. Assessing metabolic syndrome prediction quality using seven anthropometric indices among Jordanian adults: a cross-sectional study. Sci Rep. 2022;12(21043). [CrossRef]
- Orsini, F.; D’Ambrosio, F.; Scardigno, A.; Ricciardi, R.; Calabrò, G.E. Epidemiological Impact of Metabolic Syndrome in Overweight and Obese European Children and Adolescents: A Systematic Literature Review. Nutrients. 2023;15(3895). [CrossRef]
- Weihe, P.; Weihrauch-Blüher, S.; Metabolic Syndrome in Children and Adolescents: Diagnostic Criteria, Therapeutic Options and Perspectives. Curr Obes Rep. 2019;8(4):472-479. [CrossRef]
- Nagayama, D.; Sugiura, T.; Choi, S.-Y.; Shirai, K. Various Obesity Indices and Arterial Function Evaluated with CAVI—Is Waist Circumference Adequate to Define Metabolic Syndrome? Vasc Health Risk Manag. 2022;18:721-733. [CrossRef]
- El-Wahab, E.W.; Shatat, H.Z.; Charl, F. Adapting a Prediction Rule for Metabolic Syndrome Risk Assessment Suitable for Developing Countries. J Prim Care Community Health. 2019;10:1-13. [CrossRef]
- Hirose, H.; Takayama, T.; Hozawa, S.; Hibi, T.; Saito, I. Prediction of metabolic syndrome using artificial neural network system based on clinical data including insulin resistance index and serum adiponectin. Comput Biol Med. 2011;41(11):1051-1056. [CrossRef]
- Wang, F.-H.; Lin, C.-M. The Utility of Artificial Neural Networks for the Non-Invasive Prediction of Metabolic Syndrome Based on Personal Characteristics. Int J Environ Res Public Health. 2020;17(9288). [CrossRef]
- Confortin, S.C.; Ribeiro, M.R.C.; Barros, A.J.D.; Menezes, A.M.B.; Horta, B.L.; Victora, C.G.; et al. RPS Brazilian Birth Cohorts Consortium (Ribeirão Preto, Pelotas and São Luís): history, objectives and methods. Cad Saúde Pública. 2021;37(4):e 00093320. [CrossRef]
- Cook, S.; Weitzman, M.; Auinger, P.; Nguyen, M.; Dietz, W.H. Prevalence of a Metabolic Syndrome Phenotype in Adolescents: findings from the third National Health and Nutrition Examination Survey, 1988-1994. Arch Pediatr Adolesc Med. 2003;157(8):821-827. [CrossRef]
- De Ferranti, S.; Gauvreau, K.; Ludwig, D.S.; Neufeld, E.J.; Newburger, J.W.; Rifai, N. Prevalence of the Metabolic Syndrome in American Adolescents: findings from the Third National Health and Nutrition Examination Survey. Circulation. 2004;110(16):2494-2497. [CrossRef]
- Zimmet, P.; Alberti, K.G.M.M.; Kaufman, F.; Tajima, N.; Silink, M.; Arslanian, S.; et al. The metabolic syndrome in children and adolescents—an IDF consensus report. Pediatr Diabetes. 2007;8(5):299-306. [CrossRef]
- Fang, H.; Berg, E.; Cheng, X.; Shen, W. How to best assess abdominal obesity. Curr Opin Clin Nutr Metab Care. 2018; 21(5):360-365. [CrossRef]
- Kwon, E.; Nah, E.-H.; Kim, S.; Cho, S. Relative Lean Body Mass and Waist Circumference for the Identification of Metabolic Syndrome in the Korean General Population. Int J Environ Res Public Health. 2021;18(13186). [CrossRef]
- Lee, S.; Lee, H.; Choi, J.R.; Koh, S.B. Development and Validation of prediction Model for Risk Reduction of Metabolic Syndrome by Body Weight control: A prospective population-based Study. Sci Rep. 2020;10(10006). [CrossRef]
- Gallardo-Rincón, H.; Ríos-Blancas, M.; Ortega-Montiel, J.; Montoya, A.; Martinez-Juarez, L.A.; Lomelín-Gascón, J.; et al. MIDO GDM: an innovative artificial intelligence-based prediction model for the development of gestational diabetes in Mexican women. Sci Rep. 2023;13(6992). [CrossRef]
- Wang, J.; Lv, B.; Chen, X.; Pan, Y.; Chen, K.; Zhang, Y.; et al. An early model to predict the risk of gestational diabetes mellitus in the absence of blood examination indexes: application in primary health care centers. BMC Pregnancy Childbirth. 2021;21(814). [CrossRef]
- Do Nascimento, L.C.; Viegas, S.M.F.; Menezes, C.; Roquini, G.R.; Santos, T.R. The SUS in the lives of Brazilians: care, accessibility and equity in the daily lives of Primary Health Care users. Physis. 2020;30(3):e300330. [CrossRef]
- Mao, L.; He, J.; Gao, X.; Guo, H.; Wang, K.; Zhang, X.; et al. Metabolic syndrome in Xinjiang Kazakhs and construction of a risk prediction model for cardiovascular disease risk. PLoS ONE. 2018;13(9):e 0202665. [CrossRef]
- Motamed, N.; Ajdarkosh, H.; Niya, M.H.K.; Panahi, M.; Farahani, B.; Rezaie, N.; et al. Scoring systems of metabolic syndrome and prediction of cardiovascular events: A population based cohort study. Clin Cardiol. 2022;45:641-649. [CrossRef]

| Components/ Criteria |
Cook et al. (2003) |
De Ferranti et al. (2004) |
IDF (2007) |
|---|---|---|---|
| SBP/DBP | ≥ p90 | > p90 for age and sex | > 130/85 mmHg |
| Glycemia | ≥ 110 mg/dL | ≥ 110 mg/dL | ≥ 100 mg/dL |
| HDL | ≤ 40 mg/dL | < 45 mg/dL (♂ 15-19y) < 50mg/dL (♀ and ♂ < 15y) |
< 40 mg/dL (♂) < 50 mg/dL (♀) |
| Triglycerides | ≥ 110 mg/dL | ≥ 100 mg/dL) | ≥ 150 mg/dL |
| WC | ≥ p90 for age and sex | > p75 for age and sex | ≥ 94 cm (♂)* ≥ 80 cm (♀)* |
| Criteria | Total | Training | Test | |||
|---|---|---|---|---|---|---|
| MetS | No MetS | MetS | No MetS | MetS | No MetS | |
| Cook et al. | 118 (50%) |
118 (50%) |
81 (49,1%) |
84 (50,9%) |
37 (52,1%) |
34 (47,9%) |
| De Ferranti et al. | 253 (50%) |
253 (50%) |
175 (49,4%) |
179 (50,6%) |
78 (51,3%) |
74 (48,7%) |
| IDF | 121 (50%) |
121 (50%) |
84 (49,7%) |
85 (50,3%) |
37 (50,7%) |
36 (49,3%) |
| Real | Prediction | Total | |
|---|---|---|---|
| MetS | No MetS | ||
| MetS | TP | FN | TP + FN |
| No MetS | FP | TN | FP + TN |
| Total | TP + FP | FN + TN | TP + FP + FN + TN |
| Variables | Mean±SD (♂) | (♀) |
Median (p25-p75) (♂) | (♀) |
p90 (♂) | (♀) |
|---|---|---|---|
| Weight (kg) | 61,3±13,1 66,1±12,9 | 56,7±11,5 |
59,5 (160,0-174,0) 63,7 (57,4-72,4) | 54,8 (48,4-63,4) |
77,4 81,5 | 71,5 |
| Height (cm) | 167,0±9,1 173,5±6,9 | 160,7±6,1 |
166,0 (160,0-174,0) 173,0 (169,0-178,0) | 160,5 (156,5-165,0) |
179,0 182,0 | 168,7 |
| BMI (kg/m²) | 21,9±3,9 21,9±3,7 | 21,9±4,1 |
21,2 (19,1-24,0) 21,1 (19,3-23,8) | 21,2 (18,9-24,1) |
27,1 26,7 | 27,3 |
| WC (cm) | 81,7±9,0 83,6±9,0 | 79,8±8,7 |
80,5 (75,4-86,5) 81,8 (77,3-88,2) | 78,5 (73,5-84,9) |
93,4 94,8 | 91,7 |
| SBP (mmHg) | 114,2±12,2 121,0±11,0 | 107,7±9,3 |
113,0 (105,0-122,0) 120,0 (113,0-128,0) | 107,0 (101,0-113,0) |
131,0 136,0 | 119,0 |
| DBP (mmHg) | 70,9±7,4 71,8±7,6 | 70,0±7,1 |
70,0 (66,0-75,0) 71,0 (66,0-76,0) | 69,0 (65,0-74,0) |
80,0 81,6 | 79,0 |
| Glycemia (mg/dL) | 92,2±16,0 93,4±17,8 | 91,1±14,0 |
90,0 (84,0-97,0) 91,0 (85,0-98,0) | 89,0 (83,0-96,0) |
108,0 109,0 | 107,0 |
| HDL (mg/dL) | 49,4±11,8 45,6±10,3 | 53,0±12,0 |
48,0 (41,0-56,0) 45,0 (38,0-52,0) | 52,0 (45,0-60,0) |
65,0 58,0 | 68,0 |
| Triglycerides (mg/dL) | 90,8±48, 598,3±55,0 | 83,6±40,1 |
79,0 (61,0-106,0) 86,0 (64,0-114,0) | 73,0 (58,0-96,0) |
142,7 154,0 | 130,0 |
| MetS and metabolic abnomalities | Cook et al. (2003) |
De Ferranti et al. (2004) |
IDF (2005) |
|---|---|---|---|
| MetS | 5,7% (n=118) | 12,3% (n=253) | 5,9% (n=121) |
| Waist circumference | 10,1% (n=208) | 25,1% (n=518) | 28,1% (n=579)* |
| SBP/DBP | 11,5% (n=238) | 9,4% (n=194) | 11,3% (n=234) |
| Glycemia | 9,0% (n=185) | 9,0% (n=185) | 19,0% (n=393) |
| HDL | 22,2% (n=459) | 44,5% (n=918) | 35,2% (n=726) |
| Triglycerides | 22,9% (n=473) | 29,7% (n=612) | 8,4% (n=174) |
| ANN | Metabolic Syndrome criteria | ||||||||
|---|---|---|---|---|---|---|---|---|---|
| Cook et al. (2003) | De Ferranti et al. (2004) | IDF (2007) | |||||||
| ACUR | SENS | SPEC | ACUR | SENS | SPEC | ACUR | SENS | SPEC | |
| Test set | n=84 | n=166 | n=73 | ||||||
| ANN 1 | 87,3% | 97,3% | 76,5% | 88,2% | 91,0% | 85,1% | 68,5% | 81,1% | 55,6% |
| ANN 2 | 87,3% | 91,9% | 82,4% | 82,2% | 80,8% | 83,8% | 75,3% | 75,7% | 75,0% |
| ANN 3 | 88,7% | 89,2% | 88,2% | 83,6% | 80,8% | 86,5% | 76,7% | 73,0% | 80,6% |
| ANN 4 | 84,5% | 89,2% | 79,4% | 80,3% | 79,5% | 81,1% | 79,5% | 81,1% | 77,8% |
| ANN 5 | 90,1% | 91,9% | 88,2% | 82,2% | 75,6% | 89,2% | 79,5% | 78,4% | 80,6% |
| Total sample | |||||||||
| ANN 1 | 87,5% | 96,6% | 86,9% | 87,2% | 88,9% | 86,9% | 76,2% | 88,4% | 75,4% |
| ANN 2 | 84,3% | 89,0% | 84,0% | 81,4% | 77,9% | 81,9% | 78,7% | 81,0% | 78,5% |
| ANN 3 | 87,0% | 89,0% | 86,9% | 83,8% | 80,2% | 84,3% | 82,5% | 78,5% | 82,7% |
| ANN 4 | 82,4% | 90,7% | 81,9% | 80,9% | 78,7% | 81,2% | 77,5% | 81,8% | 77,3% |
| ANN 5 | 86,8% | 89,8% | 86,6% | 85,3% | 76,3% | 86,5% | 82,3% | 82,6% | 82,3% |
Disclaimer/Publisher’s Note: The statements, opinions and data contained in all publications are solely those of the individual author(s) and contributor(s) and not of MDPI and/or the editor(s). MDPI and/or the editor(s) disclaim responsibility for any injury to people or property resulting from any ideas, methods, instructions or products referred to in the content. |
© 2024 by the authors. Licensee MDPI, Basel, Switzerland. This article is an open access article distributed under the terms and conditions of the Creative Commons Attribution (CC BY) license (http://creativecommons.org/licenses/by/4.0/).