Preprint
Article

This version is not peer-reviewed.

Effect of Fertilization in Companion Cropping Systems of Andean Fruit Trees in the Municipality of Ipiales (Fertilization Levels in Andean Fruit Trees)

A peer-reviewed article of this preprint also exists.

Submitted:

13 August 2024

Posted:

14 August 2024

You are already at the latest version

Abstract
Companion cropping involves growing two or more species together, benefiting the conservation of natural resources and improving fertilization and nutrient cycling by balancing chemical and organic sources. Studies, as in the case of tree tomato and Hass avocado, have shown a significant increase in yield compared to monocultures, highlighting the viability of this practice. In addition to their environmental benefit, companion crops offer economic advantages to producers by obtaining multiple products in a single harvest, strengthening food security and the economy of rural families. This study evaluated three levels of fertilization and interactions between fruit trees at different altitudes, observing differential behavior in the variables evaluated. The combination of cape gooseberry and blackberry showed significantly positive results, with more leaves and fewer pests, demonstrating the benefits of companion plants. A trend towards the combined use of chemical and organic fertilizers was observed, a potential strategy to reduce costs and improve crop growth. The results were shared with producers interested in implementing companion cropping, encouraging the adoption of this more sustainable and profitable agricultural practice. Companion crop agriculture represents a viable and promising strategy for a more efficient and sustainable agriculture, with both environmental and economic benefits.
Keywords: 
;  ;  ;  ;  

1. Introduction

Agricultural soil has experienced erosion due to practices such as conventional tillage and excessive use of machinery, resulting in increased dependence on fertilizers for production (Mendoza, 2021).However, accessing and acquiring fertilizers has become more difficult due to their high costs and the scarcity of raw materials needed for their manufacture (Benavides, 2022; De La Fundación et al., 2020), which has raised production costs and makes it difficult to obtain consistent profits in each production cycle (FAO, 2022). In addition, its indiscriminate use is common, as it is usually not carried out considering soil analysis and without following technical criteria, which leads to contamination problems, especially by nitrogen fertilization, which can affect vulnerable populations (Capera-Rivas et al., 2020).
The Department of Nariño is no stranger to this situation and is of much importance because it depends mainly on agriculture as an economic source, with fruit trees being the most representative sector, occupying more than 38% of the total area dedicated to agriculture in the region (Ministry of Agriculture, 2019). Specifically, in the corregimiento of San Juan in the municipality of Ipiales, fruit trees have been adopted by producers and contribute significantly to their economy (Alcaldía Municipal de Ipiales, 2020). In this sense, Andean fruit trees, such as cape gooseberry, have experienced an increase in the region, with numerous farms dedicated to its production for fresh export (ICA, 2019).
In order to minimize the use of chemical fertilizers that are not viable for small producers, research is being promoted in search of agroecological strategies that are environmentally friendly and contribute to climate change adaptation (FAO, 2022). Chemical fertilization can improve crop growth and yield, but productive, quality, and environmental benefits have also been reported with organic fertilization in Andean fruit trees, which requires further evaluation (Alvez & Alayon Luaces, 2020).
In this context, the companion cropping systems are presented as a sustainable alternative for the production of Andean fruit trees, as they contribute to reduce production costs and conserve soil resources (Alvez & Alayon Luaces, 2020).
Companion crops are complex cropping systems in which two or more species are planted in spatial proximity, which can result in competition or complementation between them, positively influencing their development and yield (Alvez & Alayon Luaces, 2020). These diversified systems, such as companion cropping and agroforestry, are considered more sustainable and contribute to the conservation of natural resources (Alvez & Alayon Luaces, 2020). These systems have been called the “new green revolution” due to their potential to increase soil productivity by taking advantage of complementarities between species and allowing intensive agriculture in small areas in a sustainable manner (Alvez & Alayon Luaces, 2020).
The interaction between species in companion crops allows enhancing fertilization, promoting a more sustainable organic fertilization and a balance between chemical and organic sources, since the soil depends on the biological component for nutrient cycling from organic to mineral forms available to plants (Alvez & Alayon Luaces, 2020). These systems also benefit from nutrient cycling and organicmatter availability, which improves the overall nutrition of the different companion crops (Alvez & Alayon Luaces, 2020). Companion crops have proven to be viable in various species of economic importance, as was observed in an intercropping system of tree tomato and Hass avocado, where a positive influence was evidenced in 75% of the population in terms of size and yield, marking a significant difference compared to monoculture systems (Gómez Herrera & Muñoz Monsalve, 2020).
These companion cropping systems are not only more profitable for producers by obtaining multiple products in the same crop, but also contribute to food security and improve the economy of low-income rural families, who depend mainly on the production of a single crop or small self-consumption gardens (Rosero Alpala et al., 2020). Therefore, it is necessary to evaluate the interactions between plants and fertilization in each region, considering specific characteristics that can modify the results of possible combinations. By achieving a balance between chemical and organic fertilization in each companion system, a production alternative is presented that reduces the excessive use of chemical fertilizers, which could help mitigate production costs and generate greater benefits for producers, considering the high prices and global shortage of some chemical fertilizers, as well as their indiscriminate use (FAO, 2022).
The companion cropping systems proposed in this research focus on crops that have been widely accepted by producers in the area, due to their market potential, profitability, and management knowledge. Therefore, the results of the different development variables in intercropping companion systems, managed with three levels of fertilization for crops such as blackberry, purple passion fruit, cape gooseberry and tree tomato complemented with bush beans, should be demonstrated, and shared for the benefit of producers (Tumbani, 2018; (Rosero Alpala et al., 2020).
Having said the above, this project aimed to evaluate the initial growth and determine the incidence of pests and diseases in five companion cropping systems with Andean fruit trees under three levels of fertilization in environmental conditions of the corregimiento of San Juan vereda Loma de Zuras. Also, to socialize the results obtained with producers in the area.

2. Materials and Methods

Location. This study was carried out between 2022 and 2023, in the municipality of Ipiales, specifically in the corregimiento of San Juan, located in the department of Nariño. Evaluations were conducted in several veredas, including Loma de Zuras, Camellones, Laguna de Vaca, Boquerón and Guacan. The evaluated plots are located at altitudes ranging between 2575 and 2877 masl (Table 1).
Planting material. The 15 experimental plots with an area of 5000 m2 were planted with cape gooseberry, blackberry, tomato, and purple passion fruit seedlings supplemented with beans, obtained from the BIOPASS nursery certified by the ICA by resolution number 065191 of 2020.
Experimental design. According to the altitude data of each of the lots, stratification was made, in low, medium, and high taking the highest and lowest location, which corresponds to the repetitions or blocks (Table 1). In each stratum, one of the five proposed intercropping systems was randomly distributed (Image 1) for a total of 15 trials. And within each of the intercropping systems the companion models were distributed (Species 1 in monoculture and bush bean, Species 2 in monoculture and bush bean, Species 1 and 2 with bush bean) and the fertilization levels (F1, 100% chemical fertilization, F2, 50% and 50% organic fertilization and F3 100% fertilization) for which a layout was made according to the experimental design of Divided Plots.
The planting distances to be used are the following: Cape gooseberry: 3m between furrows and 3m between plants, Tree tomato: 3m between furrows and 2.5m between plants, Purple passion fruit: 3m between furrows and 3m between plants, Blackberry: 2.5m between furrows and 1.5m between plants. In the Purple passion fruit trials, the distance between furrows in monoculture will be 6m. While beans will be planted in two rows between the lanes of the fruit trees with distances between plants of 0.30m and between furrows of 0.50m.
Figure 1. Intercropping systems evaluated in the project. Cape gooseberry, blackberry and bean, system 2. Tree tomato, blackberry and bean, system 3. Purple passion fruit, cape gooseberry and beans, system 4. Purple passion fruit, tree tomato and bean and system 5. Purple passion fruit, blackberry, and bean.
Figure 1. Intercropping systems evaluated in the project. Cape gooseberry, blackberry and bean, system 2. Tree tomato, blackberry and bean, system 3. Purple passion fruit, cape gooseberry and beans, system 4. Purple passion fruit, tree tomato and bean and system 5. Purple passion fruit, blackberry, and bean.
Preprints 115172 g001
The planting distances to be used are the following: Cape gooseberry: 3m between furrows and 3m between plants, Tree tomato: 3m between furrows and 2.5m between plants, Purple passion fruit: 3m between furrows and 3m between plants, Blackberry: 2.5m between furrows and 1.5m between plants. In the Purple passion fruit trials, the distance between furrows in monoculture will be 6m. While beans will be planted in two rows between the lanes of the fruit trees with distances between plants of 0.30m and between furrows of 0.50m.
The distribution of the factors within the strips was made after analyzing the soil fertility determined by a soil analysis, carried out under the methodology proposed by the company AgroMel which is based on an integrated management model for geo-localized collection, processing and analyzing multiple agronomic variables on a detailed scale, which allows characterizing the different productive micro- environments of the different blocks in each of the farms, contrasting them with development/vigorousness indexes that will be obtained by satellite visualizing the physical, chemical and structural variables of the soil (GISDATACENTER, 2023)
Variables evaluated. Five evaluations were made every 45 days, on 2 plants per species in each treatment selected at random of: total height (AT), taken from the base of the stem to the apex using a tape measure, stem perimeter (PT) measuring in cm the basal part of the stem at 10 cm from the ground, number of total leaves (NHT) by direct counting and total leaf area of the plant (AF), leaf area index (IAF) which was determined by the equation: IAF= ((leaf area) * (stocking density)) / (planted area) and pest and disease incidence (IPE) recording the presence of pests and diseases and was determined by the formula: IPE=(affected plants)/(total plants evaluated)×100.
To measure leaf area, one hundred (100) leaves at different growth stages of each species were selected, each leaf was identified and the width and length in centimeters (cm) were recorded. The area of each leaflet was determined in the IMAGEJ program. Generalized linear models (GLM), generalized linear mixed models (GLMM) and two advanced machine learning algorithms, including Random Forest and GXBoosting, were tested with the data in the “R” program using native functions and the “caret” and “randomForest” packages, in order to test the variables leaf length, leaf width and to determine which of the variables had a higher coefficient of determination, lower root mean square value (RSME) and thus select the model to predict the leaf area of the plants from the values of leaf length and leaf width in each crop species. Once the average leaf area per leaf was calculated, it was multiplied by the total leaves per plant to obtain the leaf area of the plant.
Information analysis. The information obtained with each of the variables was organized in an Excel spreadsheet to be analyzed using the methodology of a Functional Growth Analysis, which is used for measurements made at frequent time intervals (45, 90, 135, 180, 225 dap) in each of the species that allows determining the vigor in terms of growth rate for the response variables. The data were transformed with the “log” function of the “R” program to meet the linearity assumption and to obtain regression data using the linear regression model method (Gardner, 1985). Subsequently, the data were factored using the “as.factor” function in the R package.
The values of the regression coefficients (β) obtained in the Functional Analysis of Growth were analyzed based on the Analysis of Variance (ANDEVA) according to the split-plot design:
Yijk = µ + Rk + Ai + (RA)ik + Bj + (RB)kj + (AB)ij + (RAB)kij.
  • Where:
  • Yijk = Response variable
  • µ = overall mean of the experiment
  • Rk = effect of the k-th block corresponding to the heights
  • Ai = effect of the factor associated with the i-th main plot corresponding to the companion crops (RA)ik = Error a of the main plot
  • Bj = effect of the factor associated with the j-th subplot corresponding to fertilization (RB)kj = error b associated with the sub-plot
  • (AB)ij = effect of the interaction between the main plot and subplot (i, j).
  • Based on the ANDEVA results, the hypotheses were either rejected or accepted. When a null hypothesis (Ho) was rejected, a comparison of means was made using the DUNKAN test with a significance level of 95% in order to determine the best treatments and interactions. Analyses were performed with the spltplot function (Popat R and Banakara K, 2020) and plotted with the ggplot2 package (Wickham, 2016) of the free “R” software.
The pest and disease incidence variable (IPE) will be analyzed descriptively using graphs. And from a contingency table with absolute frequency values of the incidence of pests and diseases, a chi-square test was performed to identify whether the companion and fertilization interaction is significant, to subsequently perform a simple correspondence analysis (ANACOR) using the FactoMineR package (Husson, 2008) and graphs were constructed with the ggplot2 package (Wickham, 2016) in the free software “R”.
Training with producers and dissemination of the information generated in this project. An initial socialization was carried out with producers to make known the methodology to be used and the dynamics implemented. During the execution of the research, the partial and results of the research were socialized by applying field school methodology (ECA).

3. Results and Discussion

3.1. Functional Analysis of Growth and ANDEVA Analysis of Variance of the Regression Coefficients Obtained

In the variable plant height (PA) (Table 2), the results of the andeva show that there is a significant difference in the source of companion variation, therefore, we can determine that the variation in growth was affected by the microclimate of the different blocks and the cultural management in each crop related to the formation pruning that affected the data collection and the growth register.
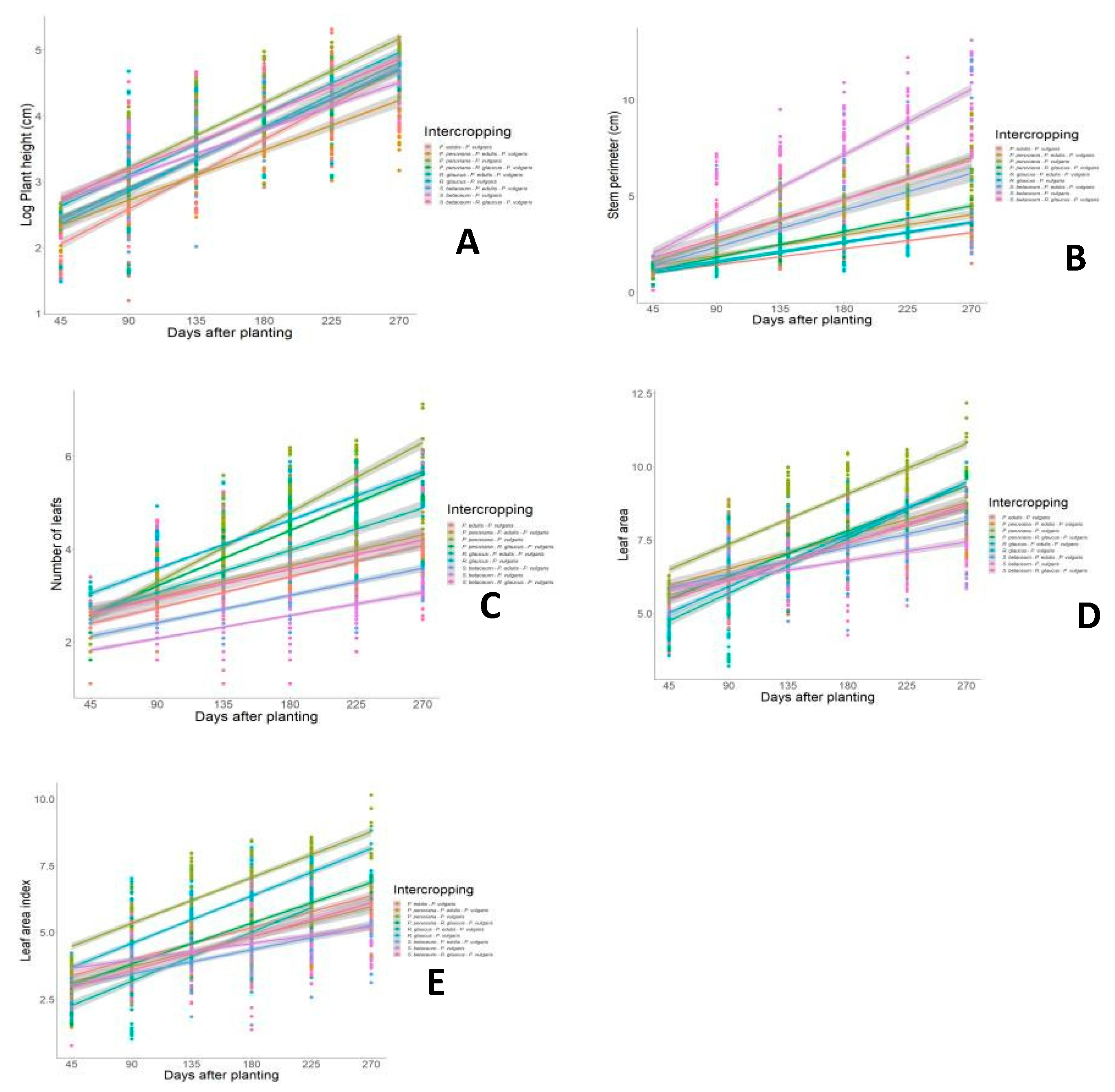
In all systems a linear increase over time of the evaluated variable is observed (Figure 2A), and the differentiation in the behavior of this variable (Table 3) is evidenced by the fact that between the growth of some of the species the gray shading does not overlap.
When analyzing the means of (Table 3), we can highlight that the UF system (P. peruviana and P. vulgaris) outperforms the other fruit tree species with a minimum in growth, this can be attributed to the fact that different plants in companion can complement each other in the absorption of nutrients, since some can extract nutrients from the deepest layers of the soil while others take them from more superficial levels. This optimizes nutrient availability for all plants. In addition, the companion plants can release beneficial chemical compounds or allelopathies that stimulate the growth of their neighbors and create a more complex microenvironment that together increase resource use efficiency (Vargas- Tierras et al., 2018).
The plant height variable is of great importance, since the greater the height, the lower the risk of diseases affecting the fruit due to contact with the soil, and the greater the height, the greater the number of fruits with better quality and the possibility of storing reserves for times of high requirements (López Cerda, 2018).
The TF-TGF-UF-TMF companions showed better development in terms of stem perimeter (Figure 2B). TF was the companion with the best performance in terms of this variable with a β value of ……. TF is among the three best companions, no difference was noted with the three types of fertilization; as for TMF, a slight improvement was noted in the interaction with organic fertilizers, with a better development of stem perimeter. On the contrary, the TGF companion is better favored by the F1 fertilization (100% chemical). The results can be attributed to a combination of specific plant interactions and varied responses to fertilization. In these companion cropping systems, the complementarity between species can lead to a more efficient utilization of resources, such as light, water and nutrients, thus improving stem growth. In addition, the different species in the companionships can positively influence soil structure and soil health, which, together with the use of different types of fertilizers, can optimize the availability and uptake of nutrients needed for robust stem development. These plant-plant and plant-soil interactions, as well as the adaptive response to fertilization, can result in improved stem growth in these specific companion systems (Santana Alvarado et al., 2023).
With respect to leaf production in UF-MF-UMF (Figure 2C), in the interactions between plant age after planting, significant statistical differences were observed when comparing age after planting days. The development of the UF and MF companions could be influenced by the nutrient content of the dry matter input to the soil. Thus, leaf production is expected to increase at early age, where synthetic fertilizers have been found to play a better role in this variable (Rebolledo-Martínez et al., 2019).
Regarding leaf area and leaf area index, a consistent upward trend can be observed in all intercropping combinations, which indicates that FA and LAI tend to increase over time, particularly those in those companions represented by the highest lines and steeper slopes, which show faster growth, indicating greater efficiency in light capture, better utilization of available resources, greater leaf density and possibly a more efficient canopy for photosynthesis, as presented in the MGF system that over-emitted for both variables, and presented no difference with UF and MF (Figure 2D,E).
The rate of leaf emission in the different plots of the municipality showed a constant growth. Leaf development is related to solar brightness and photosynthetically active radiation, since there is evidence that leaf formation is constant, with different degrees of shade generating a greater or lesser number (Larramendi et al., 2019).
Similarly, it can be affirmed that by obtaining significant differences in the blocks and these being distributed at different altitudes, we can say that this factor directly affected the leaf production of these crops in the aforementioned companions and also gives us to understand that these crops share a similar potential at a certain altitude point with respect to this variable.
Leaf area is related to photosynthetic rate, evapotranspiration, and vegetative development, as well as water and nutrient uptake (Garza Marin et al., 2018). This is why we highlight the importance of this variable along with leaf number (Figure 2D).
Temperatures between 15 and 22°C, offer an exponential growth of the leaf, on the other hand, if the temperature reaches more than 29 °C, a longitudinal growth of very high branches originates, with a large number of nodes, but in turn retracts the growth of leaves (Ruiz Gaitan, 2018). Therefore, according to the results obtained in the foliar part and the significant differences found between blocks, we can say that the leaf area was affected by the temperature of the different altitudes in each block and the adaptations of each companion to these.

3.2. Determination of the Incidence of Pests and Diseases

According to the results of the chi-square test for the identification of the interaction between companion and fertilization, there was a highly significant interaction (P=xxxxx), since the simple correlation analysis continued, indicating that the crops in companion with TMF, UGF, GTF, MF, UF presented greater severity in terms of diseases (Figure 3), this may be due to the high dissemination of the fungi present in the companions, it can be attributed to poor management by the producer, due to the low disinfection of work tools or other factors that facilitate their propagation (Fonseca et al. , 2019). Similarly, we can observe that the presence of pests is also significant in all the companions (Figure 4), with a greater amount of Trialeurodes vaporarioum in the UF companion; the white fly (Trialeurodes vaporarioum) s one of the most limiting pests in Colombia, and we also note that its population increased due to the dry seasons (Fischer Gerhard, 2021). The beans in the companions were an important factor in the growth of this pest because of their ability to host it, according to observations and technical assistance carried out in the field.
On the other hand, an important factor in the growth of pests, are the neighboring crops or nearby crops, since, if there are plots or crop systems very close, when eliminating the host plant or making a control on it, the adults move to the adjacent plot (Ohash Diana et al, 2018), producing greater damage to the plots linked to this work; as observed in the companionships of GMF, GTF, UGF, UF with pests such as aphids, leaf-miner fly (agromyzidae), thrips, highlighting in the same way, that purple passion fruit under conditions of free exposure is the most affected by pests according to these results; and it is worth mentioning that in its initial stages close to 45 days after planting (dap), it was greatly affected by the presence of slugs of the genus Deroceras (Figure 3B), delaying the growth of this crop in the GF companion, and the presence of this pest was reduced in GMF and GTF companion cropping.
Figure 3A. Analysis of the Presence of Diseases in Different Companions - A. Heatmap and B. Simple Correlation.
Figure 3A. Analysis of the Presence of Diseases in Different Companions - A. Heatmap and B. Simple Correlation.
Preprints 115172 g003
Figure 3B. Analysis of the Presence of Pests in Different Companions - A. Heatmap and B. Simple Correlation.
Figure 3B. Analysis of the Presence of Pests in Different Companions - A. Heatmap and B. Simple Correlation.
Preprints 115172 g004

3.3. Field Schools

Eight Farmer Field Schools (FFS) were conducted during the period January to December 2022. These FFSs focused on topics such as protocol and biosecurity in food production and marketing, development of methodologies to identify vulnerable areas, habitat description in terms of soil, topography, climate and plants, climate risk management in terms of crop health, and recognition of climatic and edaphic requirements of production systems. Box tests show a significant increase in participants' knowledge on each of these topics after completing the FFS, which demonstrates the success of the participatory “Learning by Doing” methodology used. Farmers showed a high level of interest and active participation in the FFS, which contributed to the effective acquisition of new knowledge and skills.

4. Conclusions

The different companions were affected in their development by different pests and diseases, in addition to the fact that the necessary controls are limited by the protocols for export products, so it could be added that the performance under cover would be better than in free exposure.
From this work it was possible to further clarify the potential of the cape gooseberry crop both alone and in companion, without significant differences in the three levels of fertilization in variables such as height or stem perimeter, but it was shown that with organic fertilization this crop increases its number of leaves.
Between the evaluation of different variables and the acceptance of the growers in the field, the companions with the best performance were the cape gooseberry-blackberry and the cape gooseberry- purple passion fruit companion.

Author Contributions

For research articles with several authors, a short paragraph specifying their individual contributions must be provided. The following statements should be used “Conceptualization, J.O.M.-C., J.S.C-S. and D.A.-D.; methodology, D.A.-D.; software, J.O.M.-C., J.S.C-S. and D.A.-D.; validation, D.A.-D. and J.S.C-S.; formal analysis, D.A.-D.; investigation, J.O.M.-C., J.S.C-S. and D.A.-D.; resources, X.X.; data curation, J.O.M.-C; writing—original draft preparation, X.X.; writing—review and editing, J.S.C-S. and D.A.-D.; visualization, J.O.M.-C. and D.A.-D.; supervision, J.S.C-S..; project administration, J.S.C-S.; funding acquisition, J.S.C-S. and D.A.-D. All authors have read and agreed to the published version of the manuscript.

Funding

The study was funded by the Sistema General de Regalias (SGR) of the Ministerio de Ciencia Tecnología e Innovación, Colombia (MINCIENCIAS). Research project: “Estudio de sistemas de cultivo asociados a los frutales andinos estrategia innovadora para la reactivación económica de los municipios de Sandoná, La Florida, Arboleda, Providencia y El Peñol” with BPIN number 2020000100677.

Data Availability Statement

Data are contained within the article. For any additional informationcontact the author by correspondence.

Acknowledgments

Theauthorswouldliketoextendtheir heartfelt gratitude to Johana M. Belalcazar, Jenifer B. Vargas, Laura M. Pantoja, Luisa F. Vallejo, Javier M. Chamorro, Carlos Charfuelan, and Tania M. Pantoja for their invaluable support and dedication in collecting and organizing the data for this study; their contributions are deeply appreciated. The authors are deeply grateful to Martha I. Cabrera Otalora for their invaluable support and guidance.

Conflicts of Interest

The authors declare no conflicts of interest.

References

  1. Alvez, N.V.; Alayon Luaces, P. Evaluación de policultivos frutihortícolas agroecológicos del Nordeste Argentino. Boletín de La Sociedad Argentina de Botánica 2020, 55, 273–284. [Google Scholar] [CrossRef]
  2. Alcaldía Municipal de Ipiales. (2020). Plan de desarrollo 2020 -2023 “Hablemos con hechos.” Turismo Activo y Progresivo, Abril, 141. https://www.obsgestioneducativa.com/download/plan-de-desarrollo-municipal-ipiales-2020-2023/.
  3. Aguilar Aburto, Jennifer. (2019). Bioecological Aspects and Spatial Distribution of Frankliniella occidentalis in Blackberry Cultivation (Rubus sp.) in Michoacán. [Online]. Available: https://repositorio.chapingo.edu.mx/server/api/core/bitstreams/9c8ff952-0bb1-433f-b8f9- 6ab81a18f8b4/content.
  4. Ángel De Jesús, A. B. , Fornos, M., Uriel, B., Sandoval, J., Asesores, R., Henry, I., Duarte, A., Javier, C. I., & Rivera, I. S. (n.d.). National Agrarian University Faculty of Agronomy For Comprehensive and Sustainable Agrarian Development.
  5. Benavides, M.A. (2022). Alternativas para la comercialización internacional de fertilizantes agrícolas de la empresa AGROCHULDEy el fomento a las exportaciones.
  6. Capera-Rivas co, A. ; del Técnico Profesional en Procesos estudiante Melendez, J.P.; García-Galindo, L.A.; Capera-Rivas, A.; Mayorquín, N. (2020). Alternativas microbiológicas para la remediación de suelos y aguas contaminados con fertilizantes nitrogenados Microbiological alternatives for the remediation of soils and water contaminated with nitrogen fertilizers. Scientia et Technica Año XXV, 25(01).
  7. Gómez Herrera, D.A.; Muñoz Monsalve, C. (2020). Análisis del comportamiento morfológico de las variables altura y diámetro de tallo, en los sistemas de siembra mono cultivo y asocio, de las especies Aguacate (Persea Americana) variedad hass y Tomate de Árbol (Solanum Betaceum), durante 12 meses, en el. https://repository.unad.edu.co/bitstream/handle/10596/39011/dagomezhe.pdf?sequence=1&isAllowed=y.
  8. De La Fundación, G.; Relief, A.; Manuel, J.; Higuera, I.; Uribe Villa, C.; Jaime, L.; Herrera, A.; En Mercadeo, M. (2020). Estudio de factibilidad para el proyecto de fabricación de módulos de acuaponía y prestación de servicios afines para el área rural de Uribia, Manaure y Maicao en La.
  9. FAO. (2022). El mercado mundial de fertilizantes: balance de la situación de un mercado en dificultades. Organanización de La Naciones Unidad Para La Alimentación y La Agricultura. https://investing.com.
  10. Fischer Gerhard, M. D. , M. S., B.-L. H. E. M. Z. (2022). Advances in the Cultivation of Berries in the Tropics. In Advances in the Cultivation of Berries in the Tropics (First Edition). Colombian Society of HorticulturalSciences. [CrossRef]
  11. Fonseca, J.Y.; Castañeda, A.E.; Escarraga, J.O.; Cubillos, D.D. Characterization of Phytopathogenic Diseases in Tree Tomato Cultivation (Solanum betaceum) at El Reposo Farm in Facatativá, Cundinamarca. Agropecu. Sci. 2019, 5, 24–31. [Google Scholar] [CrossRef]
  12. Gustavo Hernández, D.; Escuela, G.; Panamericana, A.; Honduras, Z. (2019). Evaluation of Growth, Development, and Yield of Three Maize Varieties in Association with Beans and Soybeans, Under Two Planting Arrangements.
  13. Gardner, E.S. Exponential smoothing: The state of the art. J. Forecast. 1985, 4, 1–28. [Google Scholar] [CrossRef]
  14. GISDATACENTER. (2023). GISDATACENTER SAS. AGROMEL Es La Marca Registrada de GISDATACENTER.
  15. Instituto Colombiano Agropecuario - ICA. (2019). En Ipiales, productores de uchuva se blindan contra las moscas de la fruta. MinAgricultura. https://www.ica.gov.co/noticias/ica-productores-uchuva-blindan-moscas-fruta-narino.
  16. Larramendi, L.A.R.; Hernández, F.G.; Castro, H.G.; Flores, M.F.; Castañeda, J.C.G.; Ruiz, R.P. (2019). Leaf Anatomy Related to the Photosynthetic Pathway in Coffee Trees (Coffea arabica L., var. Caturra Rojo) Exposed to Different Levels of Solar Radiation in the Sierra Maestra, Granma, Cuba. [CrossRef]
  17. Larrea Chávez, E.A. (2021). Elaboration and Quality Control of a Powdered Dietary Supplement Based on Goldenberry (Physalis peruviana) and Guava (Psidium guajava). http://repositorio.ug.edu.ec/handle/redug/53786.
  18. Lê, Sébastien & Josse, Julie & Husson, François, 2008. "FactoMineR: An R Package for Multivariate Analysis," Journal of Statistical Software, Foundation for Open Access Statistics, vol. 25(i01).
  19. López Cerda, I. G. (2018). Análisis de cuatro cultivos precolombinos en asocio, establecidos en dos métodos de labranza: camellones prehispánicos y labranza convencional. Diriamba, Carazo 2018. UNIVERSIDAD NACIONAL AGRARIA.
  20. Ministerio de Agricultura. (2019). Plan departamental de extension agropecuaria del departamento de Nariño PDEA - Nariño. Gobernacion de Nariño, 222. https://www.minagricultura.gov.co/ministerio/direcciones/Documents/PDEA%27s Aprobados/PDEA Nariño.pdf%0A.
  21. Marín-Garza, T., Gómez-Merino, F. C., Trejo-Téllez, L. I., Pastelín-Solano, M. C., & Castañeda-Castro,.
  22. O. (2019). Functional and Nutraceutical Potential of Grafted Coffee (Coffea spp.) Leaves During an Annual Cycle.
  23. Marco Antonio Mendoza Moreno. (2021). Efectos de la labranza convencional y labranza de conservación en la producción agrícola: Revisión de literatura. Escuela Agrícola Panamericana, Zamorano, 43. https://bdigital.zamorano.edu/server/api/core/bitstreams/a8681a48-2637-44e2-9867-5b12a8ee8a51/content.
  24. Ohash, Diana; et al. (2018). Propuesta de Manejo Integrado de Plagas para el cultivo de yerba mate. Manejo integrado del cultivo. In 75 (75th ed., Vol. 75). E.E.A Cerro Azul —INTA.Miscelánea.
  25. Popat, R.; , Banakara K. Doebioresearch: Analysis of Design of Experiments for Biological Research. 2020. Available online: https://CRAN.R-project.org/package=doebioresearch (accessed on 28 May 2022).
  26. Rebolledo-Martínez, L.; Megchún-García, J.V.; Rebolledo-Martínez, A.; Orozco-Corona, D.M. Association of Persian Lime (Citrus latifolia) and Coconut Palm (Cocos nucifera L.) Trees with the Contribution of Dry Matter by Annual Crops. Ibero-American Journal of Bioeconomy and Climate Change 2019, 5, 1248–1266. [Google Scholar] [CrossRef]
  27. Rosero Alpala, M.G.; Tapie, W.A.; Rosero Alpala, D.A. Diversidad fenotípica de papas nativas en las comunidades indígenas de la etnia de los Pastos (Nariño, Colombia): Agricultura ecológica para la seguridad alimentaria y el desarrollo rural. Revista Peruana de Biología 2020, 27, 509–516. [Google Scholar] [CrossRef]
  28. Ruiz Gaitan, M.C.G.L. ; J.V.C. (2018). The Cultivation of Gooseberry (Physalis peruviana L.) (Volume 6). Journal for Sustainable Agricultural Transformation ISSN: 2415-2862. https://aes.ucf.edu.cu/index.php/aes.
  29. Santana Alvarado, W.H.; Monge Freile, M.F.; Muñoz Mestanza, R.D.; Quiñonez Chonillo, E.X. (2023). Effect of Organic Substrates on the Initial Vegetative Development of Peach Palm (Bactris gasipaes) Cultivation in.
  30. Santo Domingo de los Tsáchilas 2022. Scientific Code Journal of Research, 4(E1), 180–197. [CrossRef]
  31. Tumbani, Z. (2018). Evaluacion de la asociacion con dos especies fabaceas (Crotalaria Júncea y Lupinus mutabilis) con el cultivo de cilantro (Coriandrum Sativum L.) en invernadero de la comunicad de la comunidad Sullkataca baja del municipio de Laja. Universidad Mayor de San Andrés, 50–107. http://dspace.ups.edu.ec/handle/123456789/17965.
  32. Vargas-Tierras, Y.B.; Prado-Beltrán, J.K.; Nicolalde-Cruz, J.R.; Casanoves, F.; De Melo Virginio-Filho, E.; Viera-Arroyo, W.F. (2018). Characterization and role of Amazonian fruit crops in family farms in the provinces of Sucumbíos and Orellana (Ecuador). Corpoica Ciencia y Tecnologia Agropecuaria, 19(3), 501–515. [CrossRef]
  33. Wickham, H. (2016). ggplot2: Elegant Graphics for Data Analysis. Springer-Verlag New York.
Figure 2. Integral analysis of growth variables with comparison of Regression Coefficients (β) under the Split Strip Design Model. A. Plant height, B. Stem perimeter, C. Number of leaves, D. Leaf area and E. Leaf area index.
Figure 2. Integral analysis of growth variables with comparison of Regression Coefficients (β) under the Split Strip Design Model. A. Plant height, B. Stem perimeter, C. Number of leaves, D. Leaf area and E. Leaf area index.
Preprints 115172 g002
Table 1. Information and data of experimental plots.
Table 1. Information and data of experimental plots.
Name - plot Block/System X Y Area (m2) masl
Tablon 1-low/1 947277.0898 591090.2 5072 2655
Cundala 1-low/2 947119.3487 590739.8 6839 2586
Chapicha 1-low/3 945570.4425 590613.2 5003 2676
Rancheria 1-low/4 947074.3692 590816.7 6418 2620
Santa Barbara 1-low/5 947507.7808 591300.7 5237 2576
Culacal 2- medium/1 944307.8386 589604.8 6358 2686
Cundala 2- medium/2 945619.9373 589926.4 5470 2742
Tuquer 2- medium/3 943785.2733 589759.5 5190 2695
Churumbuta 2- medium/4 946619.0676 590880.7 5087 2751
Yerba buena 2- medium/5 942863.7872 588375.7 6593 2736
Capuli 3- high/1 943370.221 588113.5 5178 2812
Churumbuta Laguna de vaca 3- high/2 946547.2773 590646.6 5120 2768
campanario 3- high/3 943103.9658 588347.8 5107 2800
Cundala 3- high/4 945680.5052 589754.3 8276 2770
Chuchala 3- high/5 943173.5561 587244.1 5140 2753
Table 2. ANDEVA mean squares for regression coefficients (β) under the split-strip design mode.
Table 2. ANDEVA mean squares for regression coefficients (β) under the split-strip design mode.
FV G.L AP PT NHT AF IAF
Block 2 0.029 ns 0.023 ns 4989.3* 0.135 ns 0,136 ns
Companion 8 0.034 * 1.621 ** 16039.7** 0.517 * 0,525 *
Fertilization 2 0.001 ns 0.027 ns 41.4 ns 0.003 ns 0,417 ns
Companion*Fertilization 16 0.001 ns 0.018 ns 252.9 ns 0.006 ns 0,650 ns
Error a 15 0.029 0.07381 1203.9 176 0,173
Error b 34 0.003 0.01091 243.4 0.009 0,009
Mean 0,478 0.886 62.48 0.7 0.17
R2 0,874 0.97 0.952 0.955 0.955
CV(%) 12,09 11.78 24.97 14.02 14.03
**Altamente significarito. *Signigicativo. Ns No es significativo.
Table 3. Comparison of means for the regression coefficients (β) of the variables evaluated under the split strip design model.
Table 3. Comparison of means for the regression coefficients (β) of the variables evaluated under the split strip design model.
Treatments AP PT NHT AF IAF
UF 24.23 a 1.08 b 117.66 ab 0.93 ab 0.92 ab
MF 19.01 ab 0.50 c 134.47 a 0.96 ab 0.91 ab
MGF 18.19 ab 0.56 c 59.63 cd 1.02 a 1.36 a
TMF 15.93 ab 1.06 b 58.56 cd 0.69 ab 0.68 abc
GF 14.95 ab 0.45 c 34.89 de 0.64 adc 0.62 abc
UGF 14.74 ab 0.57 c 28.65 de 0.44 c 0.47 c
UMF 14.55 ab 0.71 c 84.31 bc 0.75 abc 0.72 abc
TGF 13.03 b 1.08 b 19.58 e 0.51 bc 0.49 c
TF 11.38 b 1.80 a 13.26 e 0.33 c 0.38 c
UF 24.23 a 1.08 b 117.66 ab 0.93 ab 0.92 ab
1 Tables may have a footer.
Disclaimer/Publisher’s Note: The statements, opinions and data contained in all publications are solely those of the individual author(s) and contributor(s) and not of MDPI and/or the editor(s). MDPI and/or the editor(s) disclaim responsibility for any injury to people or property resulting from any ideas, methods, instructions or products referred to in the content.
Copyright: This open access article is published under a Creative Commons CC BY 4.0 license, which permit the free download, distribution, and reuse, provided that the author and preprint are cited in any reuse.
Prerpints.org logo

Preprints.org is a free preprint server supported by MDPI in Basel, Switzerland.

Subscribe

Disclaimer

Terms of Use

Privacy Policy

Privacy Settings

© 2026 MDPI (Basel, Switzerland) unless otherwise stated