Submitted:
05 August 2024
Posted:
07 August 2024
You are already at the latest version
Abstract
Keywords:
1. Introduction
2. Finite Element Calculation of Electromagnetic Field for Air-Core Inductors
2.1. Two Types of Inductor Structures
2.2. Parameterized Finite Element Modeling
2.3. Spatial Magnetic Field Distribution Characteristics of Inductors
3. Generation of Training Data and Modeling of BP Neural Network
3.1. Monte Carlo Sampling
3.2. Modeling of BP Neural Network
4. Analysis of Factors Affecting the Inductance Value of Inductors
4.1. Sensitivity Analysis of Structural Parameters
4.2. The Effect of Excitation Frequency
5. Optimization of Inductor Structural Parameters Based on BP-GA Algorithm
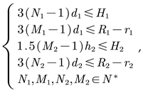
5.1. Mathematical Model for the Structural Optimization of Inductors
5.2. Optimization by BP-GA Joint Algorithm
5.3. Finite Element Validation
6. Conclusions
Author Contributions
Funding
Institutional Review Board Statement
Informed Consent Statement
Data Availability Statement
Conflicts of Interest
References
- Tian, M.; Wang, T.; Zhang, H.; et al. Review and prospect of controllable reactors. Journal of Jilin University (Engineering and Technology Edition), 2023, 53, 328–345. [Google Scholar]
- Zhang, Y.; Zhao, J.; Qin, C.; Zhang, R.; Li, S. Analysis of turn-to-turn short circuit magnetic field of dry-type air-core reactor. In Proceedings of the 2023 3rd New Energy and Energy Storage System Control Summit Forum (NEESSC), Mianyang, China, 2023., September 26-28.
- Bai, G.; Gu, C.; Lai, L. Electromagnetic analysis of an air-core HTS transformer. IEEE Transactions on Applied Superconductivity, 2019, 29, 1–3. [Google Scholar] [CrossRef]
- Jin, L.; Zhu, D.; Yang, Q.; et al. Grey-box model and optimization for inductance calculation of EHV reactors. Transactions of China Electrotechnical Society, 2022, 37, 6093–6103. [Google Scholar]
- Wang, T.; Tian, M.; Zhang, H.; et al. Unified study on electromagnetic characteristics of controllable reactors based on transformer models. Power System Technology, 2023, 47, 2947–2956. [Google Scholar]
- Yuan, F.; Lv, K.; Liu, J.; et al. Optimization method for coil structure of iron-core reactors based on electromagnetic-thermal-structural multi-physics coupling. Transactions of China Electrotechnical Society, 2022, 37, 6431–6441. [Google Scholar]
- Hao, S.; Li, Z.; Ma, F.; Li, B. Characteristic analysis of inductor in pulsed power supply changing with shape ratio. In Proceedings of the 2020 Spring International Conference on Defence Technology (ICDT Spring), Nanjing, China, 2020., April 20-24.
- Liu, X.; Yu, X.; Li, Z. Inductance calculation and energy density optimization of the tightly coupled inductors used in inductive pulsed power supplies. IEEE Transactions on Plasma Science, 2017, 45, 1026–1031. [Google Scholar] [CrossRef]
- Jiang, Z.; Zhou, H.; Song, J.; et al. Calculation and experimental analysis of temperature field in dry-type air-core reactor. Transactions of China Electrotechnical Society, 2017, 32, 218–224. [Google Scholar]
- Shetty, C.; et al. Analytical expressions for inductances of 3-D air-core inductors for integrated power supply. IEEE Journal of Emerging and Selected Topics in Power Electronics, 2022, 10, 1363–1383. [Google Scholar] [CrossRef]
- Liu, Z.; Wang, J.; Geng, Y.; Shi, C.; et al. Calculation and analysis of magnetic field and inductance of dry-type air-core reactor. High Voltage Apparatus, 2003, 39, 7–11. [Google Scholar]
- Gan, Y.; Bai, R.; Zhang, Q. Steady-state electromagnetic field and electromotive force analysis of dry-type air-core reactor based on field-circuit coupling. Power System Protection and Control, 2019, 47, 144–149. [Google Scholar]
- Lin, Q. Magnetic field analysis of dry-type air-core reactor. Transformer, 2019, 56, 29–33. [Google Scholar]
- Ye, C.; Yu, K.; Zhang, G.; et al. The windings inductance calculation of an air-core compulsator. IEEE transactions on magnetics, 2009, 45, 522–524. [Google Scholar]
- Tan, W.; Zhou, L.; Gong, X.; et al. Research on structural optimization design of controllable reactor with taps. Transformer, 2019, 56, 9–14. [Google Scholar]
- Li, S.; Lu, J.; Cheng, L.; et al. Stress analysis and structural design of pulsed reactor for electromagnetic launch. Journal of National University of Defense Technology, 2019, 41, 39–45. [Google Scholar]
- Sun, H.; Yu, X.; Li, Z.; Li, B.; He, H. Inductance calculation and structural optimization of toroidal circular disk-type inductors in IPPS. IEEE Transactions on Plasma Science, 2021, 49, 2247–2255. [Google Scholar] [CrossRef]
- Li, Z.; Yu, X.; Ma, S.; et al. Structural parameter optimization of inductors used in inductive pulse power supply. IEEE Transactions on Plasma Science, 2015, 43, 1456–1461. [Google Scholar]
- Wang, Y.; Zhang, D.; Lu, L.; et al. Technical Reviews of Power Loss Optimization in High-Frequency PSiPs—In Relation to Power Switches and Power Inductors. Applied Sciences, 2023, 13, 13166. [Google Scholar] [CrossRef]
- Li, Y.; Zhang, Z.; Zhu, L.; et al. Calculation and Design of Dry-Type Hollow Reactors. Transformer, 2013, 50, 1–6. [Google Scholar]
- Hung, Y.C. A review of Monte Carlo and quasi-Monte Carlo sampling techniques. Wiley Interdisciplinary Reviews-Computational Statistics, 2023, 16, 1637. [Google Scholar] [CrossRef]
- Qi, S.; Lu, X.; Liu, H.; et al. Application of BP Neural Network Optimized by Genetic Algorithm in Fault Diagnosis of Distribution Network. Electric Power Science and Technology, 2023, 38, 182–187. [Google Scholar]
- Wang, Y.; Liu, L.; Zhang, M.; et al. Review of Turn-to-Turn Insulation Detection for Dry-Tors. Electric Power Capacitor and Reactive Power Compensation, 2018, 39, 91–95. [Google Scholar]












| Inductor Type | Structural Design Variables | Lower Design Limit | Upper Design Limit |
| AHI | r1 (mm) | 50 | 100 |
| R1 (mm) | 150 | 250 | |
| N1 | 5 | 14 | |
| M1 | 3 | 7 | |
| H1 (mm) | 200 | 400 | |
| RHI | r2 (mm) | 50 | 100 |
| R2 (mm) | 150 | 250 | |
| N2 | 5 | 14 | |
| M2 | 5 | 9 | |
| H2 (mm) | 200 | 400 |
| Inductor Type | Evaluation Index | L | L/V | Wj | |
| AHI | Training samples | R2 | 0.9987 | 0.9985 | 0.9992 |
| RRMSE | 0.0033 | 0.0027 | 0.0006 | ||
| Testing samples | R2 | 0.9963 | 0.9965 | 0.9984 | |
| RRMSE | 0.0078 | 0.0063 | 0.0011 | ||
| RHI | Training samples | R2 | 0.9982 | 0.9984 | 0.9990 |
| RRMSE | 0.0037 | 0.0026 | 0.0005 | ||
| Testing samples | R2 | 0.9903 | 0.9938 | 0.9960 | |
| RRMSE | 0.0092 | 0.0055 | 0.0013 | ||
| Inductor Type | Structural Design Variables | Optimal parameter |
| AHI | r1 (mm) | 95.15 |
| R1 (mm) | 186.70 | |
| N1 | 8 | |
| M1 | 4 | |
| H1 (mm) | 272.89 | |
| RHI | r2 (mm) | 50.34 |
| R2 (mm) | 158.72 | |
| N2 | 8 | |
| M2 | 6 | |
| H2 (mm) | 315.03 |
| Inductor Type | L (μH) | L/V (μH/m3) | Wj | |
| AHI | Sample of optimal L/V | 486.0346 | 8459.9692 | 2.8657 |
| Sample of optimal Wj | 116.7442 | 3531.5769 | 1.7934 | |
| post-optimization | 114.6565 | 3510.6846 | 1.7115 | |
| RHI | Sample of optimal L/V | 803.1687 | 13330.8319 | 3.9640 |
| Sample of optimal Wj | 114.9423 | 4591.9504 | 3.0388 | |
| post-optimization | 127.8841 | 4539.2142 | 2.8768 | |
Disclaimer/Publisher’s Note: The statements, opinions and data contained in all publications are solely those of the individual author(s) and contributor(s) and not of MDPI and/or the editor(s). MDPI and/or the editor(s) disclaim responsibility for any injury to people or property resulting from any ideas, methods, instructions or products referred to in the content. |
© 2024 by the authors. Licensee MDPI, Basel, Switzerland. This article is an open access article distributed under the terms and conditions of the Creative Commons Attribution (CC BY) license (http://creativecommons.org/licenses/by/4.0/).