Submitted:
01 August 2024
Posted:
01 August 2024
You are already at the latest version
Abstract
Keywords:
1. Introduction
2. Governing Equations
2.1. Mass Conservation Equation
2.2. Momentum Conservation Equation
2.3. Realizable -Epsilon Delayed Detached Eddy Simulation (DDES) Model
2.4. Cavitation Modelling
2.5. Equation of State
2.6. Sponge Layer Conditions
3. Numerical Method
3.1. Incompressible Mixture/VOF Model
3.1.1. Volume Continuity Equation
3.1.2. Second phase Fraction Equation
3.2. Compressible Mixture/VOF Model
3.2.1. Volume Continuity Equation
3.2.2. Second Phase Fraction Equation
3.3. Pressure Limits
4. Validation
4.1. Case1: 1-D Two-Phase Time-Dependent Test Case
4.2. Case2: Cavitating Flow over a Circular Cylinder
5. Results
5.1. Computational Domain and Boundary Conditions
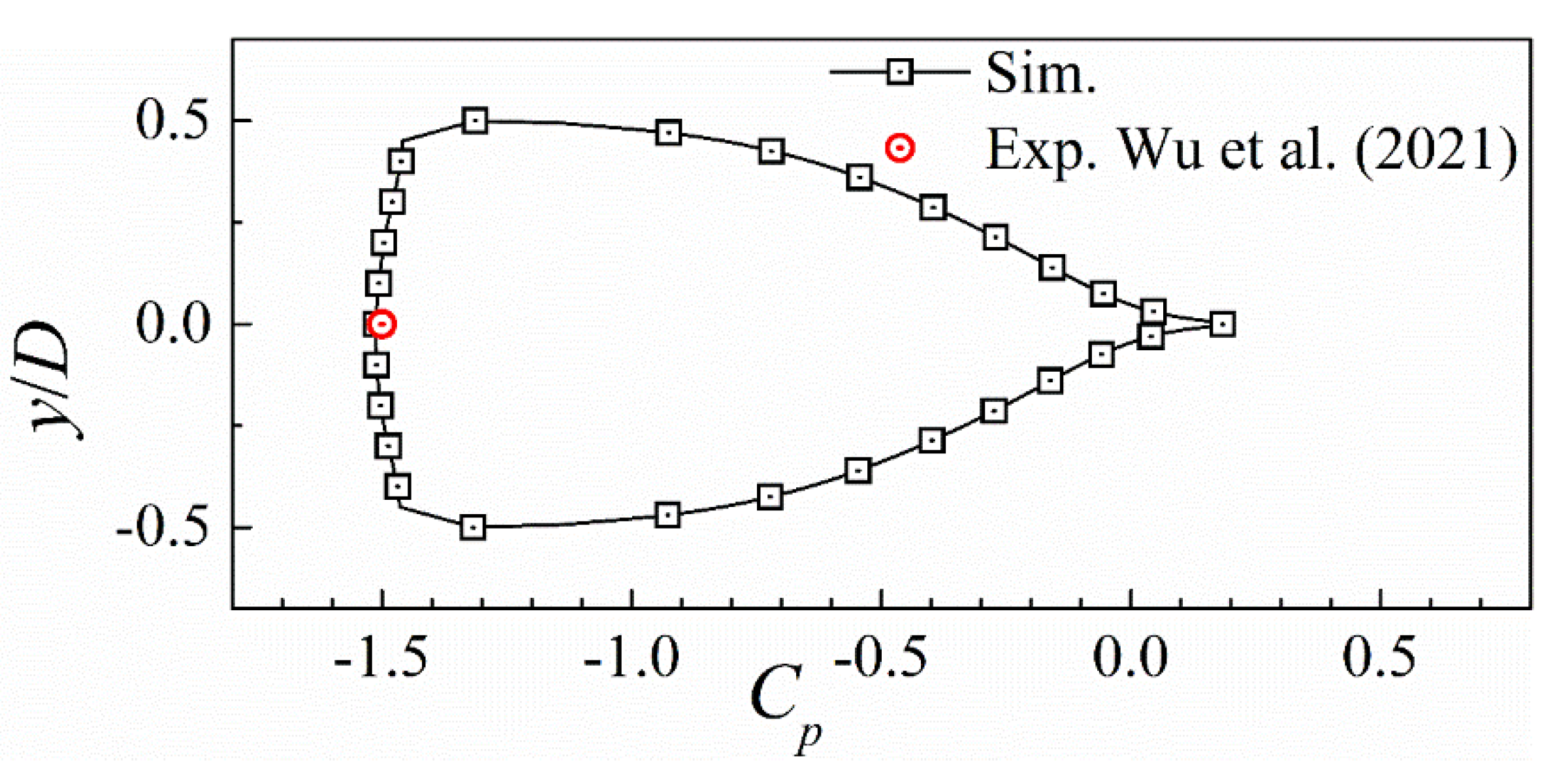
5.2. Verification and Validation of the Non-Cavitating Case
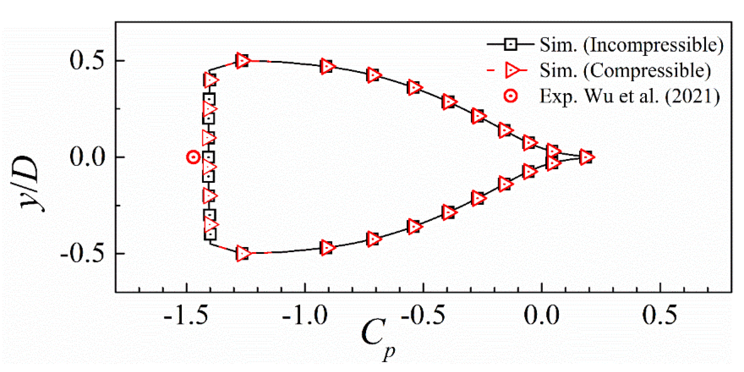
5.3. Assessment of the Compressible Cavitation Model
5.3.1. Pressure on the Wedge Surface
5.3.2. Unsteady Loads on the Wedge Surface
5.3.3. Cavitation Structures
6. Conclusions
- For low frequencies up to 800 Hz, both solvers predict similar amplitudes.
- For higher frequencies above 1000 Hz, the compressible solver predicts larger amplitudes.
Author Contributions
Funding
Data Availability Statement
Conflicts of Interest
References
- Franc, J.P.; Michel, J.M. Fundamentals of Cavitation; Springer science & Business media, 2006.
- Young, J.O.; Holl, J.W. Effects of Cavitation on Periodic Wakes behind Symmetric Wedges. 1966.
- Belahadji, B.; Franc, J.P.; Michel, J.M. Cavitation in the Rotational Structures of a Turbulent Wake. Journal of Fluid Mechanics 1995, 287, 383–403. [Google Scholar] [CrossRef]
- Ausoni, P.; Farhat, M.; Escaler, X.; Egusquiza, E.; Avellan, F. Cavitation Influence on von Kármán Vortex Shedding and Induced Hydrofoil Vibrations. Journal of Fluids Engineering 2007, 129, 966–973. [Google Scholar] [CrossRef]
- Wu, J.; Deijlen, L.; Bhatt, A.; Ganesh, H.; Ceccio, S.L. Cavitation Dynamics and Vortex Shedding in the Wake of a Bluff Body. Journal of Fluid Mechanics 2021, 917, A26. [Google Scholar] [CrossRef]
- Niedźwiedzka, A.; Schnerr, G.H.; Sobieski, W. Review of Numerical Models of Cavitating Flows with the Use of the Homogeneous Approach. Archives of thermodynamics 2016, 37. [Google Scholar] [CrossRef]
- Folden, T.S.; Aschmoneit, F.J. A Classification and Review of Cavitation Models with an Emphasis on Physical Aspects of Cavitation. Physics of Fluids 2023, 35, 081301. [Google Scholar] [CrossRef]
- Coutier-Delgosha, O.; Reboud, J.L.; Delannoy, Y. Numerical Simulation of the Unsteady Behaviour of Cavitating Flows. International Journal for Numerical Methods in Fluids 2003, 42, 527–548. [Google Scholar] [CrossRef]
- Ji, B.; Luo, X.; Arndt, R.E.A.; Wu, Y. Numerical Simulation of Three Dimensional Cavitation Shedding Dynamics with Special Emphasis on Cavitation–Vortex Interaction. Ocean Engineering 2014, 87, 64–77. [Google Scholar] [CrossRef]
- Gnanaskandan, A.; Mahesh, K. Large Eddy Simulation of the Transition from Sheet to Cloud Cavitation over a Wedge. International Journal of Multiphase Flow 2016, 83, 86–102. [Google Scholar] [CrossRef]
- Arndt, R.E.A. Cavitation in Fluid Machinery and Hydraulic Structures. Annual Review of Fluid Mechanics 1981, 13, 273–326. [Google Scholar] [CrossRef]
- Callenaere, M.; Franc, J.P.; Michel, J.M.; Riondet, M. The Cavitation Instability Induced by the Development of a Re-Entrant Jet. Journal of Fluid Mechanics 2001, 444, 223–256. [Google Scholar] [CrossRef]
- Kawanami, Y.; Kato, H.; Yamaguchi, H.; Tanimura, M.; Tagaya, Y. Mechanism and Control of Cloud Cavitation. Journal of Fluids Engineering 1997, 119, 778–794. [Google Scholar] [CrossRef]
- Laberteaux, K.R.; Ceccio, S.L. Partial Cavity Flows. Part 1. Cavities Forming on Models without Spanwise Variation. Journal of Fluid Mechanics 2001, 431, 1–41. [Google Scholar] [CrossRef]
- Leroux, J.-B.; Astolfi, J.A.; Billard, J.Y. An Experimental Study of Unsteady Partial Cavitation. Journal of Fluids Engineering 2004, 126, 94–101. [Google Scholar] [CrossRef]
- Wu, J.; Ganesh, H.; Ceccio, S. Multimodal Partial Cavity Shedding on a Two-Dimensional Hydrofoil and Its Relation to the Presence of Bubbly Shocks. Experiments in Fluids 2019, 60, 1–17. [Google Scholar] [CrossRef]
- Ganesh, H.; Mäkiharju, S.A.; Ceccio, S.L. Bubbly Shock Propagation as a Mechanism for Sheet-to-Cloud Transition of Partial Cavities. Journal of Fluid Mechanics 2016, 802, 37–78. [Google Scholar] [CrossRef]
- Bhatt, A.; Ganesh, H.; Ceccio, S.L. Partial Cavity Shedding on a Hydrofoil Resulting from Re-Entrant Flow and Bubbly Shock Waves. Journal of Fluid Mechanics 2023, 957, A28. [Google Scholar] [CrossRef]
- Gnanaskandan, A.; Mahesh, K. Numerical Investigation of Near-Wake Characteristics of Cavitating Flow over a Circular Cylinder. Journal of Fluid Mechanics 2016, 790, 453–491. [Google Scholar] [CrossRef]
- Wang, C.; Wang, G.; Huang, B. Characteristics and Dynamics of Compressible Cavitating Flows with Special Emphasis on Compressibility Effects. International Journal of Multiphase Flow 2020, 130, 103357. [Google Scholar] [CrossRef]
- Vaca-Revelo, D.; Gnanaskandan, A. Numerical Assessment of the Condensation Shock Mechanism in Sheet to Cloud Cavitation Transition. International Journal of Multiphase Flow 2023, 169, 104616. [Google Scholar] [CrossRef]
- Katz, J. Cavitation Phenomena within Regions of Flow Separation. Journal of Fluid Mechanics 1984, 140, 397–436. [Google Scholar] [CrossRef]
- O’Hern, T.J. An Experimental Investigation of Turbulent Shear Flow Cavitation. Journal of Fluid Mechanics 1990, 215, 365–391. [Google Scholar] [CrossRef]
- Iyer, C.O.; Ceccio, S.L. The Influence of Developed Cavitation on the Flow of a Turbulent Shear Layer. Physics of Fluids 2002, 14, 3414–3431. [Google Scholar] [CrossRef]
- Choi, J.; Ceccio, S.L. Dynamics and Noise Emission of Vortex Cavitation Bubbles. Journal of Fluid Mechanics 2007, 575, 1–26. [Google Scholar] [CrossRef]
- Agarwal, K.; Ram, O.; Lu, Y.; Katz, J. On the Pressure Field, Nuclei Dynamics and Their Relation to Cavitation Inception in a Turbulent Shear Layer. Journal of Fluid Mechanics 2023, 966, A31. [Google Scholar] [CrossRef]
- Brandao, F.L.; Bhatt, M.; Mahesh, K. Numerical Study of Cavitation Regimes in Flow over a Circular Cylinder. Journal of Fluid Mechanics 2020, 885, A19. [Google Scholar] [CrossRef]
- Park, S.; Seok, W.; Park, S.T.; Rhee, S.H.; Choe, Y.; Kim, C.; Kim, J.H.; Ahn, B.K. Compressibility Effects on Cavity Dynamics behind a Two-Dimensional Wedge. Journal of Marine Science and Engineering 2020, 8. [Google Scholar] [CrossRef]
- Zwart, P.; Gerber, A.G.; Belamri, T. A Two-Phase Flow Model for Predicting Cavitation Dynamics. In Proceedings of the Fifth International Conference on Multiphase Flow; January 1 2004.
- Egerer, C.P.; Schmidt, S.J.; Hickel, S.; Adams, N.A. Efficient Implicit LES Method for the Simulation of Turbulent Cavitating Flows. Journal of Computational Physics 2016, 316, 453–469. [Google Scholar] [CrossRef]
- Tong, S.-Y.; Zhang, S.; Wang, S.-P.; Li, S. Characteristics of the Bubble-Induced Pressure, Force, and Impulse on a Rigid Wall. Ocean Engineering 2022, 255, 111484. [Google Scholar] [CrossRef]
- Li, H.; Vasquez, S.A. Numerical Simulation of Steady and Unsteady Compressible Multiphase Flows. In Proceedings of the ASME 2012 International Mechanical Engineering Congress and Exposition; American Society of Mechanical Engineers Digital Collection, October 8 2013; pp. 2239–2251.
- Brunhart, M.; Soteriou, C.; Gavaises, M.; Karathanassis, I.; Koukouvinis, P.; Jahangir, S.; Poelma, C. Investigation of Cavitation and Vapor Shedding Mechanisms in a Venturi Nozzle. Physics of Fluids 2020, 32, 083306. [Google Scholar] [CrossRef]
- Mani, A. Analysis and Optimization of Numerical Sponge Layers as a Nonreflective Boundary Treatment. Journal of Computational Physics 2012, 231, 704–716. [Google Scholar] [CrossRef]
- Schmidt, S.J. A low Mach number consistent compressible approach for simulation of cavitating flows, Technical University of Munich: Munich, Germany, 2015.
- Braza, M.; Chassaing, P.; Minh, H.H. Numerical Study and Physical Analysis of the Pressure and Velocity Fields in the near Wake of a Circular Cylinder. Journal of Fluid Mechanics 1986, 165, 79–130. [Google Scholar] [CrossRef]
- Ding, H.; Shu, C.; Yeo, K.S.; Xu, D. Numerical Simulation of Flows around Two Circular Cylinders by Mesh-Free Least Square-Based Finite Difference Methods. International Journal for Numerical Methods in Fluids 2007, 53, 305–332. [Google Scholar] [CrossRef]
- Seo, J.H.; Moon, Y.J.; Shin, B.R. Prediction of Cavitating Flow Noise by Direct Numerical Simulation. Journal of Computational Physics 2008, 227, 6511–6531. [Google Scholar] [CrossRef]
- Harichandan, A.B.; Roy, A. Numerical Investigation of Flow Past Single and Tandem Cylindrical Bodies in the Vicinity of a Plane Wall. Journal of Fluids and Structures 2012, 33, 19–43. [Google Scholar] [CrossRef]
- Qu, L.; Norberg, C.; Davidson, L.; Peng, S.-H.; Wang, F. Quantitative Numerical Analysis of Flow Past a Circular Cylinder at Reynolds Number between 50 and 200. Journal of Fluids and Structures 2013, 39, 347–370. [Google Scholar] [CrossRef]
- Kim, K.H.; Choi, J.I. Lock-in Regions of Laminar Flows over a Streamwise Oscillating Circular Cylinder. Journal of Fluid Mechanics 2019, 858, 315–351. [Google Scholar] [CrossRef]
- Hong, S.; Son, G. Numerical Simulation of Cavitating Flows around an Oscillating Circular Cylinder. Ocean Engineering 2021, 226, 108739. [Google Scholar] [CrossRef]
- Menter, F.R. Best Practice: Scale-Resolving Simulations in ANSYS CFD; ANSYS Germany GmbH, 2015.
















| Braza et al. [36] | 1.40 | 0.75 | 0.20 |
| Ding et al. [37] | 1.35 | 0.66 | 0.196 |
| Seo et al. [38] | 1.08 | 0.60 | 0.19 |
| Harichandan and Roy [39] | 1.32 | 0.60 | 0.194 |
| Qu et al. [40] | 1.32 | 0.66 | 0.196 |
| Gnanaskandan et al. [19] | - | - | 0.198 |
| Kim and Choi [41] | 1.35 | 0.70 | 0.197 |
| Hong and Son [42] | 1.32 | 0.66 | 0.194 |
| Current simulation | 1.32 | 0.65 | 0.194 |
| Seo et al. [38] | 1.08 | 0.42 | 0.16 |
| Gnanaskandan and Mahesh [19] | 1.10 | 0.56 | 0.16 |
| Hong and Son [42] | - | - | 0.177 |
| Current simulation | 1.22 | 0.30 | 0.17 |
| Name | Number of cells | /Δx |
|---|---|---|
| M1 | 1.39×106 | 20 |
| M2 | 2.75×106 | 26 |
| M3 | 4.13×106 | 30 |
| σ | Inlet boundary | Value | Outlet boundary | Value | Top wall | Bottom wall | Other walls |
|---|---|---|---|---|---|---|---|
| Non cavitation | Fixed velocity | 6 m/s | Outlet | - | FSW | FSW | NSW |
| 1.9 | Total pressure | 54540 Pa | Mass flowrate | 34.66 kg/s | FSW | FSW | NSW |
Disclaimer/Publisher’s Note: The statements, opinions and data contained in all publications are solely those of the individual author(s) and contributor(s) and not of MDPI and/or the editor(s). MDPI and/or the editor(s) disclaim responsibility for any injury to people or property resulting from any ideas, methods, instructions or products referred to in the content. |
© 2024 by the authors. Licensee MDPI, Basel, Switzerland. This article is an open access article distributed under the terms and conditions of the Creative Commons Attribution (CC BY) license (http://creativecommons.org/licenses/by/4.0/).