Submitted:
29 July 2024
Posted:
30 July 2024
You are already at the latest version
Abstract
Keywords:
1. Introduction
- Comprehensive Evaluation: The study evaluates the effectiveness of various machine learning and deep learning models for fake news detection using a comprehensive set of performance metrics, including accuracy, precision, recall, and F1 score.
- Word Embedding Impact: The study systematically analyzes the impact of different word embedding techniques (TF-IDF, Word2Vec, and FastText) on the performance of machine learning and deep learning models.
- Rich Dataset Utilization: The TruthSeeker dataset, comprising diverse and temporally extensive data, is utilized to ensure robust training and testing of models.
- Comparative Analysis: The performance of individual classifiers and CNN architectures is compared to identify optimal strategies for fake news detection.
2. Related Work
- Dataset Quality: The performance of fake news detection models is significantly impacted by the quality of the datasets used for training and evaluation. The presence of inherent biases or inconsistencies in datasets can hinder model accuracy.
- Model-Representation Instability: An absence of a single, universally effective text representation technique for fake news classification has been observed. The complex and often deceptive nature of fake news content necessitates a multifaceted approach.
3. Materials and Methods
| Algorithm 1:Tweet Preprocessing and Machine Learning Model Evaluation |
|
3.1. Dataset Description
| Algorithm 2:Tweet Preprocessing and CNN Model Evaluation |
|
3.2. Dataset Preprocessing
- Text Cleaning: The initial step in the pre-processing pipeline is text cleaning. This involves removing any URLs, special characters, numerical values, emoticons, emojis, mentions, and hashtags from the raw tweet text. The purpose of this step is to eliminate non-alphanumeric characters and other elements that do not contribute to the semantic content of the tweets. Additionally, extra spaces are removed, and the text is trimmed to ensure uniformity. Finally, the entire text is converted to lowercase to standardize the input and treat words with different letter cases as the same word.
- Tokenization: Following text cleaning, the next step is tokenization. Tokenization involves splitting the cleaned text into individual words, also known as tokens. This step is essential for breaking down the text into smaller, processable units that can be analyzed independently. Each token represents a single word, which allows for more granular manipulation and analysis of the text data.
- Stop Word Removal: The final step in the pre-processing pipeline is stop word removal. Stop words are common words such as "the," "and," "in," etc., that appear frequently in the text but do not carry significant meaning or contribute much to the context. Removing these stop words helps to reduce noise and focus on the more informative parts of the text. A predefined list of stop words is used for this purpose, and any token matching a stop word is removed from the text.
3.3. Word Embedding Techniques
3.3.1. Term Frequency-Inverse Document Frequency (TF-IDF)
3.3.2. Word2Vec
3.3.3. FastText
3.4. Machine Learning Techniques
- Naive Bayes (NB): Naive Bayes classifiers, based on Bayes’ theorem, are extensively used for text classification tasks. This probabilistic algorithm calculates the likelihood of a class label based on feature probabilities. The assumption of feature independence given the class label simplifies computation, allowing for efficient training and prediction. Despite their practical effectiveness in tasks like spam filtering and sentiment analysis, Naive Bayes classifiers can be sensitive to feature correlations and non-Gaussian class distributions [22].
- Logistic Regression (LR): Logistic Regression is a widely used statistical method for binary classification problems. It models the probability of a binary outcome based on one or more predictor variables by applying a logistic function to a linear combination of the input features. The output probabilities are used to assign class labels, typically using a threshold of 0.5. Logistic Regression is prized for its simplicity, interpretability, and efficiency, making it suitable for large datasets. It provides insights into the relationships between features and the target variable through coefficients that indicate the strength and direction of these relationships. However, Logistic Regression assumes linear relationships between the features and the log-odds of the target variable, which might not capture more complex patterns in the data [23].
- K-Nearest Neighbors (KNN): KNN is a non-parametric algorithm that classifies by determining the majority class among the K nearest neighbors of a data point. Distance metrics like Euclidean or Manhattan distance are used to identify these neighbors, with the majority vote determining the class label. While KNN is simple to implement and effective for multi-class problems, it can become computationally expensive with large datasets and is sensitive to the choice of K and distance metric. Additionally, KNN is affected by the curse of dimensionality, where performance degrades as the number of features increases [24].
- Support Vector Machines (SVMs): SVMs are a versatile classification tool applicable to both binary and one-class problems. They aim to identify the optimal hyperplane that separates different classes while maximizing the margin between them. The choice of kernel functions, such as linear, polynomial, or radial basis function (RBF), enables the modeling of both linear and non-linear relationships. The regularization parameter C adjusts the balance between margin width and classification error, influencing the model’s complexity and performance [25].
- Multilayer Perceptron (MLP): MLP is a feedforward neural network consisting of multiple layers of neurons. MLPs learn complex, non-linear relationships through forward propagation of inputs and backpropagation for error correction. Activation functions like ReLU or sigmoid introduce non-linearity, enabling the network to model intricate patterns. MLPs are effective for high-dimensional data but can be computationally demanding and prone to overfitting if not properly regularized [26].
- Decision Trees (DT): Decision Trees are a well-known machine learning algorithm used for classification tasks. They construct a model in a tree structure, with internal nodes representing feature tests, branches indicating test outcomes, and leaf nodes denoting class labels. The model is developed through recursive partitioning of the feature space, based on the attribute providing the highest information gain. Decision Trees are appreciated for their interpretability and visualization, offering insights into the decision-making process. They can handle both numerical and categorical features and are robust against outliers. However, they are prone to overfitting, especially when the tree is too deep or the dataset is small [27].
- Random Forest (RF): Random Forest is an ensemble learning method that aggregates multiple decision trees to improve classification accuracy. Each tree is trained on a random subset of features and data, with predictions aggregated through majority voting. This approach reduces overfitting by combining diverse trees and provides feature importance scores, aiding in understanding feature contributions to predictions. Random Forest is effective for high-dimensional data, missing values, and outliers, though it can be computationally intensive [28].
3.5. Deep Learning and Convolutional Neural Networks (CNNs)
3.6. Performance Measures
- Accuracy quantifies the overall effectiveness of a model by measuring the proportion of correctly classified instances, including both true positives (TP) and true negatives (TN), relative to the total number of instances. It indicates the model’s general performance but may not fully capture its effectiveness in detecting fake news if class distributions are imbalanced.
- Precision assesses the model’s ability to correctly identify fake news articles, minimizing the rate of false positives (FP). It is particularly important in scenarios where false alarms are costly, as it measures the ratio of true positives to the total number of instances flagged as fake news.
- Recall evaluates the model’s capability to detect all actual fake news instances. It calculates the proportion of true positives among the total number of actual fake news articles, including those that were missed (false negatives, FN). High recall ensures that the majority of fake news articles are identified, which is crucial for minimizing the risk of overlooked false information.
-
F1 Score provides a balanced measure of a model’s precision and recall by computing their harmonic mean. This metric is especially useful in fake news detection to balance the trade-off between precision and recall, ensuring that neither false positives nor false negatives dominate the evaluation.where:
- –
- denotes the number of true positives, representing correctly identified fake news articles.
- –
- denotes the number of true negatives, indicating correctly classified genuine news articles.
- –
- denotes the number of false positives, representing genuine articles incorrectly classified as fake news.
- –
- denotes the number of false negatives, indicating fake news articles that were incorrectly classified as genuine.
4. Results
4.1. Machine Learning Results
4.2. Deep Learning Results
4.2.1. Learning Curves Comparison
- CNN Model 1(Figure 4): The training of CNN Model 1 with TF-IDF embedding showed a consistent and significant improvement in both accuracy and reduction in loss over the epochs. Initially, the model began with an accuracy of 95.63% and a loss of 0.1187. As the training progressed to the second epoch, there was a notable improvement, with accuracy increasing to 98.17% and the loss decreasing to 0.0534. This positive trend continued in the third epoch, where accuracy reached 98.81% and the loss further dropped to 0.0351. By the fourth epoch, the model’s accuracy had improved to 99.14%, accompanied by a reduction in loss to 0.0255. Moving into the fifth epoch, the accuracy climbed to 99.30%, and the loss fell to 0.0198. In the sixth epoch, there was a slight increase in accuracy to 99.37%, with the loss further reducing to 0.0175. The seventh epoch saw the model achieving an accuracy of 99.50%, while the loss was further reduced to 0.0139. During the eighth epoch, the accuracy was 99.51%, with a minimal loss of 0.0135. By the ninth epoch, accuracy had increased to 99.59%, and the loss had decreased to 0.0112. Finally, in the tenth epoch, the model achieved its highest accuracy of 99.62% with a loss of 0.0106.
- CNN Model 2 (Figure 4): The training of CNN Model 2 with TF-IDF embeddings presented a different pattern, starting with a significantly lower accuracy of 51.23% and a higher loss of 0.6935. In the second epoch, the model showed a slight improvement with an accuracy of 51.62% and a reduction in loss to 0.6914. By the third epoch, the accuracy had increased to 51.99% and the loss had decreased to 0.6901. The fourth epoch observed a more substantial increase in accuracy to 52.75% and a decrease in loss to 0.6892. The fifth epoch saw the accuracy rise to 53.27% and the loss reduce to 0.6882. In the sixth epoch, accuracy improved to 53.59% with a corresponding loss decrease to 0.6864. The seventh epoch achieved an accuracy of 54.44% and a loss of 0.6850. By the eighth epoch, the accuracy was 55.06%, with the loss decreasing to 0.6827. The ninth epoch saw a slight decrease in accuracy to 54.97%, but a reduction in loss to 0.6821. Finally, in the tenth epoch, the model attained its highest accuracy of 55.56% with a loss of 0.6807.
- CNN Model 3 (Figure 4): The training of CNN Model 3 with TF-IDF embedding displayed a strong performance throughout, starting with an initial accuracy of 95.58% and a loss of 0.1157. In the second epoch, the model showed a significant improvement, with accuracy increasing to 98.66% and the loss reducing to 0.0401. The third epoch saw a further increase in accuracy to 99.34% and a substantial drop in loss to 0.0206. By the fourth epoch, the accuracy had improved to 99.55% and the loss had decreased to 0.0136. The fifth epoch saw the accuracy rise to 99.73% with a loss of 0.0087. In the sixth epoch, the accuracy further improved to 99.77% with a corresponding loss decrease to 0.0068. The seventh epoch achieved an accuracy of 99.82% and a loss of 0.0051. By the eighth epoch, the accuracy was 99.85% with the loss decreasing to 0.0047. The ninth epoch saw a minimal increase in accuracy to 99.85%, with a slight reduction in loss to 0.0044. Finally, in the tenth epoch, the model achieved its highest accuracy of 99.89% with a loss of 0.0033.
- CNN Model 1 (Figure 5): The training of CNN Model 1 with Word2Vec embedding displayed a steady improvement in both accuracy and reduction in loss over the epochs. Initially, the model started with an accuracy of 86.53% and a loss of 0.3176. By the second epoch, accuracy increased to 89.54% and the loss decreased to 0.2563. This positive trend continued, with the third epoch showing an accuracy of 90.55% and a loss of 0.2322. In the fourth epoch, the accuracy rose to 91.19% and the loss dropped to 0.2201. The fifth epoch saw further improvement, with accuracy reaching 91.49% and the loss falling to 0.2098. In the sixth epoch, accuracy increased to 91.82% and the loss decreased to 0.2029. The seventh epoch saw an accuracy of 92.10% and a loss of 0.1939. By the eighth epoch, the accuracy was 92.29% with a loss of 0.1896. The ninth epoch showed an accuracy of 92.52% and a loss of 0.1852. Finally, in the tenth epoch, the model achieved an accuracy of 92.65% with a loss of 0.1803.
- CNN Model 2 (Figure 5): The training of CNN Model 2 with Word2Vec embedding showed a different pattern, beginning with an accuracy of 82.53% and a loss of 0.3892. In the second epoch, the model’s accuracy increased to 87.65% while the loss decreased to 0.2982. The third epoch demonstrated an accuracy of 89.19% and a loss of 0.2680. By the fourth epoch, accuracy had improved to 90.07% and the loss had dropped to 0.2478. The fifth epoch saw the accuracy rise to 90.58% and the loss decrease to 0.2343. In the sixth epoch, accuracy reached 91.12% with a loss of 0.2219. The seventh epoch showed an accuracy of 91.39% and a loss of 0.2139. By the eighth epoch, the accuracy improved to 91.94% and the loss reduced to 0.2022. The ninth epoch saw the accuracy increase to 92.20% and the loss drop to 0.1959. Finally, in the tenth epoch, the model achieved its highest accuracy of 92.52% with a loss of 0.1877.
- CNN Model 3 (Figure 5): The training of CNN Model 3 with Word2Vec embedding displayed a noticeable performance throughout. The model began with an accuracy of 86.73% and a loss of 0.3117. By the second epoch, accuracy improved to 90.50% and the loss decreased to 0.2361. The third epoch showed an accuracy of 91.87% and a loss of 0.2057. In the fourth epoch, accuracy reached 92.71% and the loss dropped to 0.1860. The fifth epoch saw an accuracy of 93.30% with a loss of 0.1722. In the sixth epoch, accuracy improved to 93.74% and the loss decreased to 0.1605. The seventh epoch achieved an accuracy of 94.04% with a loss of 0.1535. By the eighth epoch, the accuracy was 94.29% with a loss of 0.1448. The ninth epoch saw an accuracy of 94.58% and a loss of 0.1372. Finally, in the tenth epoch, the model achieved its highest accuracy of 94.89% with a loss of 0.1324.
- CNN Model 1 (Figure 6): The training of CNN Model 1 with FastText embedding displayed a steady improvement in both accuracy and reduction in loss over the epochs. Initially, the model started with an accuracy of 80.93% and a loss of 0.4217. By the second epoch, accuracy increased to 83.75% and the loss decreased to 0.3695. This positive trend continued, with the third epoch showing an accuracy of 84.81% and a loss of 0.3485. In the fourth epoch, the accuracy rose to 85.39% and the loss dropped to 0.3336. The fifth epoch saw further improvement, with accuracy reaching 85.98% and the loss falling to 0.3245. In the sixth epoch, accuracy increased to 86.25% and the loss decreased to 0.3181. The seventh epoch saw an accuracy of 86.61% and a loss of 0.3107. By the eighth epoch, the accuracy was 87.08% with a loss of 0.3035. The ninth epoch showed an accuracy of 87.12% and a loss of 0.2999. Finally, in the tenth epoch, the model achieved an accuracy of 87.28% with a loss of 0.2970.
- CNN Model 2 (Figure 6): The training of CNN Model 2 with FastText embeddings showed a different pattern, beginning with an accuracy of 75.28% and a loss of 0.5063. In the second epoch, the model’s accuracy increased to 80.91% while the loss decreased to 0.4249. The third epoch demonstrated an accuracy of 82.70% and a loss of 0.3957. By the fourth epoch, accuracy had improved to 83.67% and the loss had dropped to 0.3770. The fifth epoch saw the accuracy rise to 84.37% and the loss decrease to 0.3628. In the sixth epoch, accuracy reached 84.97% with a loss of 0.3516. The seventh epoch showed an accuracy of 85.67% and a loss of 0.3399. By the eighth epoch, the accuracy improved to 85.89% and the loss reduced to 0.3317. The ninth epoch saw the accuracy increase to 86.18% and the loss drop to 0.3253. Finally, in the tenth epoch, the model achieved its highest accuracy of 86.54% with a loss of 0.3174.
- CNN Model 3 (Figure 6): The training of CNN Model 3 with FastText embedding displayed a relatively moderate performance throughout. The model began with an accuracy of 80.96% and a loss of 0.4155. By the second epoch, accuracy improved to 84.50% and the loss decreased to 0.3548. The third epoch showed an accuracy of 85.88% and a loss of 0.3301. In the fourth epoch, accuracy reached 86.67% and the loss dropped to 0.3119. The fifth epoch saw an accuracy of 87.30% with a loss of 0.2992. In the sixth epoch, accuracy improved to 87.69% and the loss decreased to 0.2889. The seventh epoch achieved an accuracy of 88.25% with a loss of 0.2802. By the eighth epoch, the accuracy was 88.47% with a loss of 0.2725. The ninth epoch saw an accuracy of 88.72% and a loss of 0.2674. Finally, in the tenth epoch, the model achieved its highest accuracy of 88.99% with a loss of 0.2618.
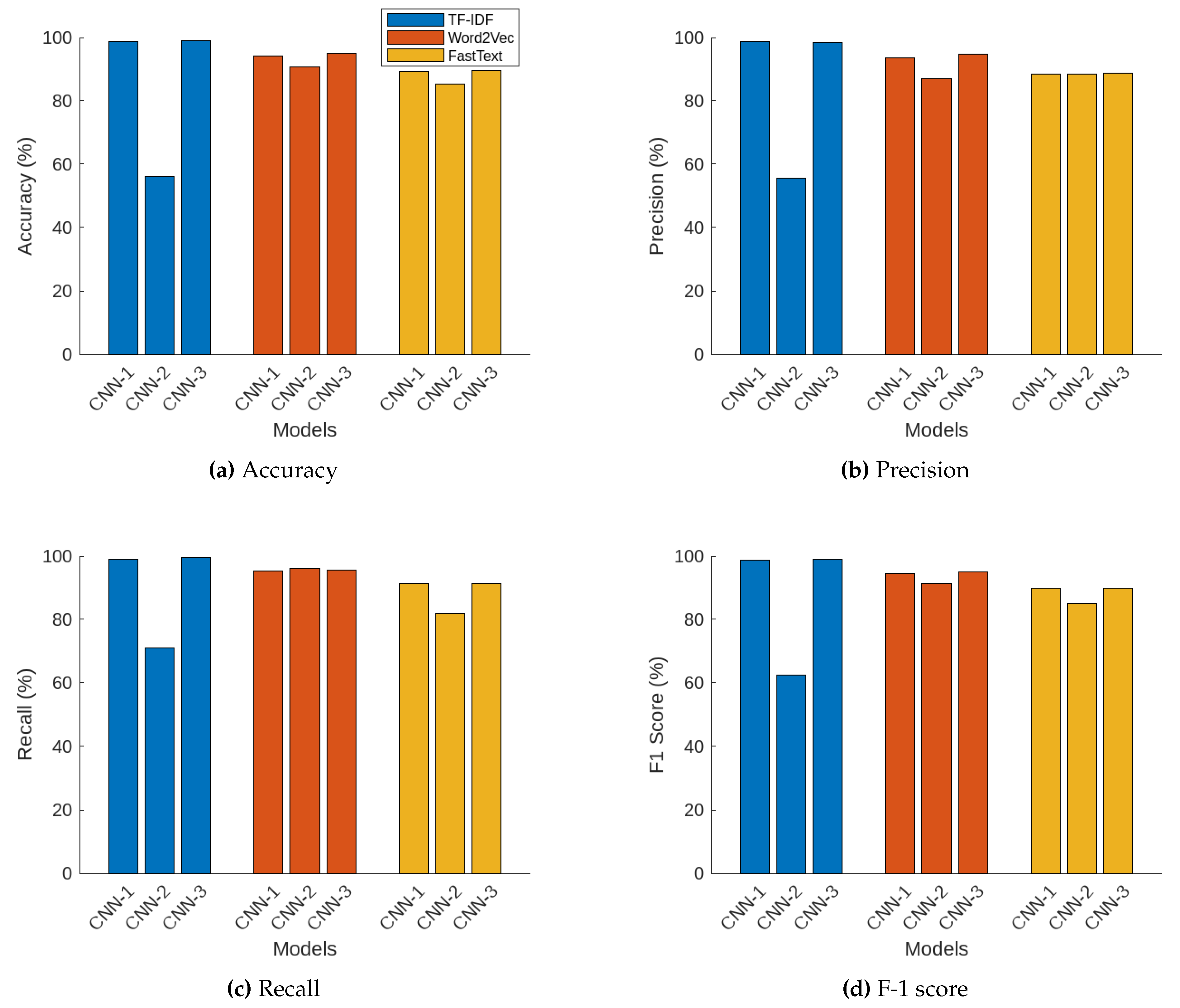
4.2.2. Performance Evaluation Results
5. Discussion
6. Conclusions
Author Contributions
Funding
Institutional Review Board Statement
Informed Consent Statement
Data Availability Statement
Acknowledgments
Conflicts of Interest
Abbreviations
| Conv1D | Convolutional 1D |
| ReLU | Rectified Linear Unit |
| CNN | Convolutional Neural Network |
| TF-IDF | Term Frequency-Inverse Document Frequency |
| MLP | Multilayer Perceptron |
| SVM | Support Vector Machine |
| KNN | K-Nearest Neighbors |
| RF | Random Forest |
| DT | Decision Tree |
| NB | Naive Bayes |
| LR | Logistic Regression |
References
- Olan, F.; Jayawickrama, U.; Arakpogun, E.O.; Suklan, J.; Liu, S. Fake news on Social Media: the Impact on Society. Information Systems Frontiers 2024, 26, 443–458. [Google Scholar] [CrossRef] [PubMed]
- Allcott, H.; Gentzkow, M. Social Media and Fake News in the 2016 Election. Journal of Economic Perspectives 2017, 31, 211–236. [Google Scholar] [CrossRef]
- Gupta, A.; Roy, A. Manipulation of Social Media during the 2019 Indian General Elections. Asian Journal of Communication 2019, 29, 537–556. [Google Scholar]
- Cinelli, M.; Galeazzi, A. The COVID-19 social media infodemic. Scientific Reports 2020, 10, 1–10. [Google Scholar] [CrossRef] [PubMed]
- Meesad, P. Thai Fake News Detection Based on Information Retrieval, Natural Language Processing and Machine Learning. SN Computer Science 2021, 2, 425. [Google Scholar] [CrossRef] [PubMed]
- Asudani, D.S.; Nagwani, N.K.; Singh, P. Impact of word embedding models on text analytics in deep learning environment: a review. Artificial Intelligence Review 2023, 56, 10345–10425. [Google Scholar] [CrossRef] [PubMed]
- Dadkhah, S.; Zhang, X.; Weismann, A.G.; Firouzi, A.; Ghorbani, A.A. The Largest Social Media Ground-Truth Dataset for Real/Fake Content: TruthSeeker. IEEE Transactions on Computational Social Systems 2024, 11, 3376–3390. [Google Scholar] [CrossRef]
- di Tollo, G.; Andria, J.; Filograsso, G. The Predictive Power of Social Media Sentiment: Evidence from Cryptocurrencies and Stock Markets Using NLP and Stochastic ANNs. Mathematics 2023, 11. [Google Scholar] [CrossRef]
- Xie, T.; Ge, Y.; Xu, Q.; Chen, S. Public Awareness and Sentiment Analysis of COVID-Related Discussions Using BERT-Based Infoveillance. AI 2023, 4, 333–347. [Google Scholar] [CrossRef]
- Sufi, F. Social Media Analytics on Russia–Ukraine Cyber War with Natural Language Processing: Perspectives and Challenges. Information 2023, 14. [Google Scholar] [CrossRef]
- Gamal, D.; Alfonse, M.M.; El-Horbaty, E.S.; M. Salem, A.B. Analysis of Machine Learning Algorithms for Opinion Mining in Different Domains. Machine Learning and Knowledge Extraction 2019, 1, 224–234. [Google Scholar] [CrossRef]
- Ryciak, P.; et al. Anomaly detection in log files using selected natural language processing methods. Applied Sciences 2022, 12, 5089. [Google Scholar] [CrossRef]
- Hisham, M.; Hasan, R.; Hussain, S. An Innovative Approach for Fake News Detection using Machine Learning. Sir Syed University Research Journal of Engineering and Technology 2023, 13, 115–124. [Google Scholar] [CrossRef]
- Khanam, Z.; Alwasel, B.; Sirafi, H.; Rashid, M. Fake News Detection Using Machine Learning Approaches. IOP Conference Series: Materials Science and Engineering 2021, 1099, 012040. [Google Scholar] [CrossRef]
- Nguyen, V.H.; Sugiyama, K.; Nakov, P.; Kan, M.Y. Leveraging Social Context for Fake News Detection Using Graph Representation. In Proceedings of the Proceedings of the 29th ACM International Conference on Information & Knowledge Management; 2020; pp. 1165–1174. [Google Scholar]
- Tam, N.T.; Weidlich, M.; Zheng, B.; Yin, H.; Hung, N.Q.V.; Stantic, B. From Anomaly Detection to Rumor Detection Using Data Streams of Social Platforms. Proceedings of the VLDB Endowment 2019, 12, 1016–1029. [Google Scholar] [CrossRef]
- Park, M.; Chai, S. Constructing a User-Centered Fake News Detection Model by Using Classification Algorithms in Machine Learning Techniques. IEEE Access 2023, 11, 71517–71527. [Google Scholar] [CrossRef]
- Khalil, M.; Azzeh, M. Fake news detection models using the largest social media ground-truth dataset (TruthSeeker). International Journal of Speech Technology 2024. [Google Scholar] [CrossRef]
- Dai, S.; Li, K.; Luo, Z.; Zhao, P.; Hong, B.; Zhu, A.; Liu, J. AI-based NLP section discusses the application and effect of bag-of-words models and TF-IDF in NLP tasks. Journal of Artificial Intelligence General science (JAIGS) ISSN:3006-4023 2024, 5, 13–21. [Google Scholar] [CrossRef]
- Johnson, S.J.; Murty, M.R.; Navakanth, I. A detailed review on word embedding techniques with emphasis on word2vec. Multimedia Tools and Applications 2024, 83, 37979–38007. [Google Scholar] [CrossRef]
- Umer, M.; Imtiaz, Z.; Ahmad, M.; Nappi, M.; Medaglia, C.; Choi, G.S.; Mehmood, A. Impact of convolutional neural network and FastText embedding on text classification. Multimedia Tools and Applications 2023, 82, 5569–5585. [Google Scholar] [CrossRef]
- Dharta, F.Y.; Januar Mahardhani, A.; Rachmawati Yahya, S.; Dirsa, A.; Usulu, M. Application of Naive Bayes Classifier Method to Analyze Social Media User Sentiment Towards the Presidential Election Phase. Jurnal Informasi Dan Teknologi 2024, 6, 176–181. [Google Scholar] [CrossRef]
- Leukel, J.; Özbek, G.; Sugumaran, V. Application of logistic regression to explain internet use among older adults: a review of the empirical literature. Universal Access in the Information Society 2024, 23, 621–635. [Google Scholar] [CrossRef]
- Zhang, J.; Li, Y.; Shen, F.; He, Y.; Tan, H.; He, Y. Hierarchical text classification with multi-label contrastive learning and KNN. Neurocomputing 2024, 577, 127323. [Google Scholar] [CrossRef]
- El-Rashidy, M.A.; Mohamed, R.G.; El-Fishawy, N.A.; Shouman, M.A. An effective text plagiarism detection system based on feature selection and SVM techniques. Multimedia Tools and Applications 2024, 83, 2609–2646. [Google Scholar] [CrossRef]
- Rashedi, K.A.; Ismail, M.T.; Al Wadi, S.; Serroukh, A.; Alshammari, T.S.; Jaber, J.J. Multi-Layer Perceptron-Based Classification with Application to Outlier Detection in Saudi Arabia Stock Returns. Journal of Risk and Financial Management 2024, 17. [Google Scholar] [CrossRef]
- Reusens, M.; Stevens, A.; Tonglet, J.; De Smedt, J.; Verbeke, W.; vanden Broucke, S.; Baesens, B. Evaluating text classification: A benchmark study. Expert Systems with Applications 2024, 254, 124302. [Google Scholar] [CrossRef]
- Kanahuati-Ceballos, M.; Valdivia, L.J. Detection of depressive comments on social media using RNN, LSTM, and random forest: comparison and optimization. Social Network Analysis and Mining 2024, 14, 44. [Google Scholar] [CrossRef]
- Taye, M.M. Understanding of Machine Learning with Deep Learning: Architectures, Workflow, Applications and Future Directions. Computers 2023, 12. [Google Scholar] [CrossRef]
- Li, Z.; Liu, F.; Yang, W.; Peng, S.; Zhou, J. A Survey of Convolutional Neural Networks: Analysis, Applications, and Prospects. IEEE Transactions on Neural Networks and Learning Systems 2022, 33, 6999–7019. [Google Scholar] [CrossRef]







| Model | Layer Type | Filters | Kernel Size | Activation | Other Details |
|---|---|---|---|---|---|
| CNN Model 1 | Conv1D | 128 | 5 | ReLU | MaxPooling1D (pool size=2) |
| Flatten | - | - | - | Dense (64 units, ReLU) | |
| Dropout | - | - | - | Dropout (0.5) | |
| Dense (Output) | - | - | Sigmoid | ||
| CNN Model 2 | Conv1D | 64 | 5 | ReLU | BatchNormalization |
| MaxPooling1D | - | 2 | - | Conv1D (128 filters, 5 kernel size) | |
| GlobalMaxPooling1D | - | - | - | Dense (64 units, ReLU) | |
| Dropout | - | - | - | Dropout (0.5) | |
| Dense (Output) | - | - | Sigmoid | ||
| CNN Model 3 | Conv1D | 32 | 3 | ReLU | MaxPooling1D (pool size=2) |
| Conv1D | 64 | 3 | ReLU | MaxPooling1D (pool size=2) | |
| Flatten | - | - | - | Dense (128 units, ReLU) | |
| Dropout | - | - | - | Dropout (0.5) | |
| Dense (Output) | - | - | Sigmoid |
Disclaimer/Publisher’s Note: The statements, opinions and data contained in all publications are solely those of the individual author(s) and contributor(s) and not of MDPI and/or the editor(s). MDPI and/or the editor(s) disclaim responsibility for any injury to people or property resulting from any ideas, methods, instructions or products referred to in the content. |
© 2024 by the authors. Licensee MDPI, Basel, Switzerland. This article is an open access article distributed under the terms and conditions of the Creative Commons Attribution (CC BY) license (http://creativecommons.org/licenses/by/4.0/).