Submitted:
26 July 2024
Posted:
29 July 2024
You are already at the latest version
Abstract
Keywords:
1. Introduction
2. Experimental Setup
2.1. Devices
3. Influence of Radiation Damage
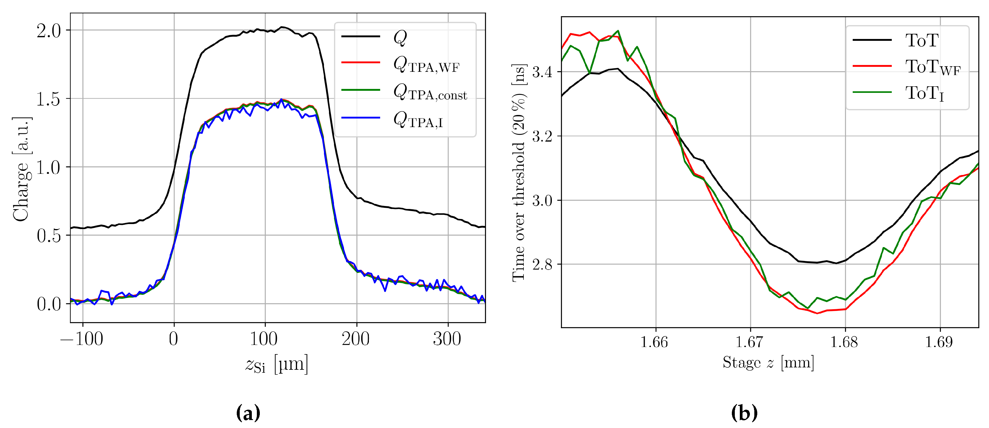
3.1. Correction of the Single Photon Absorption Offset
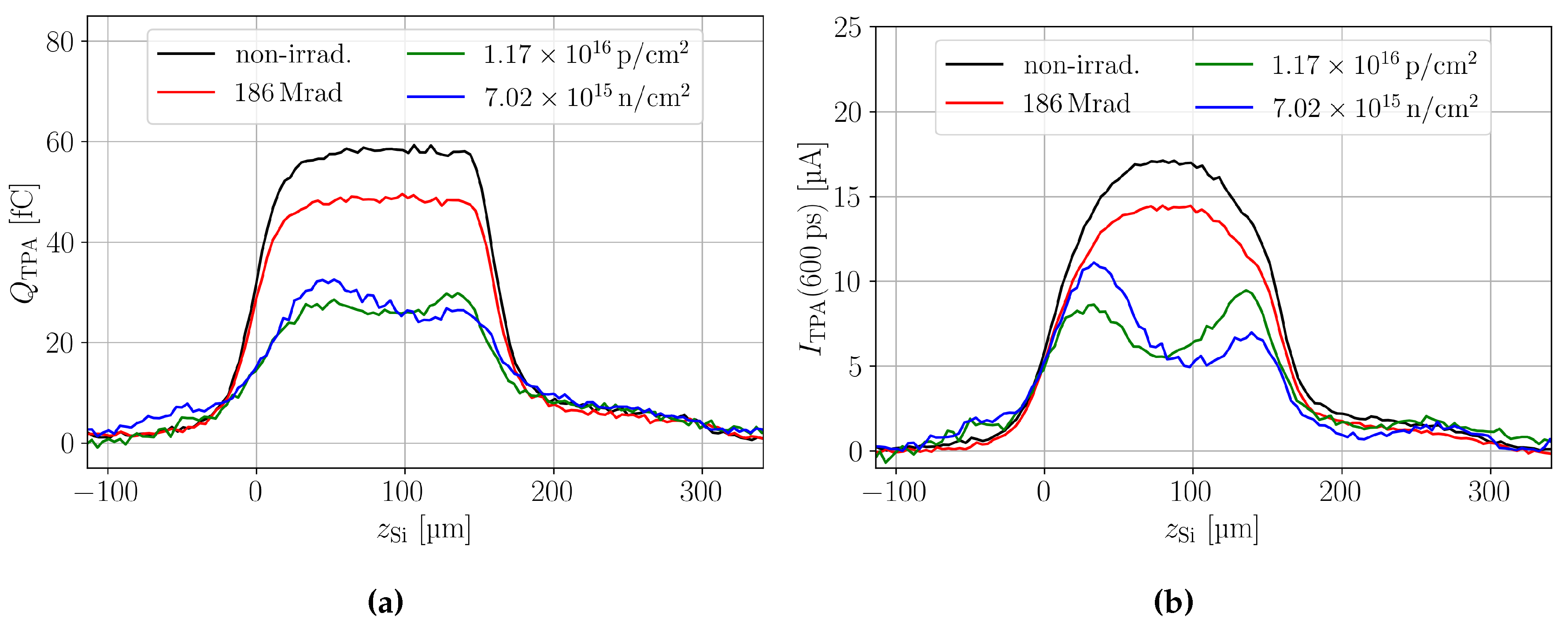
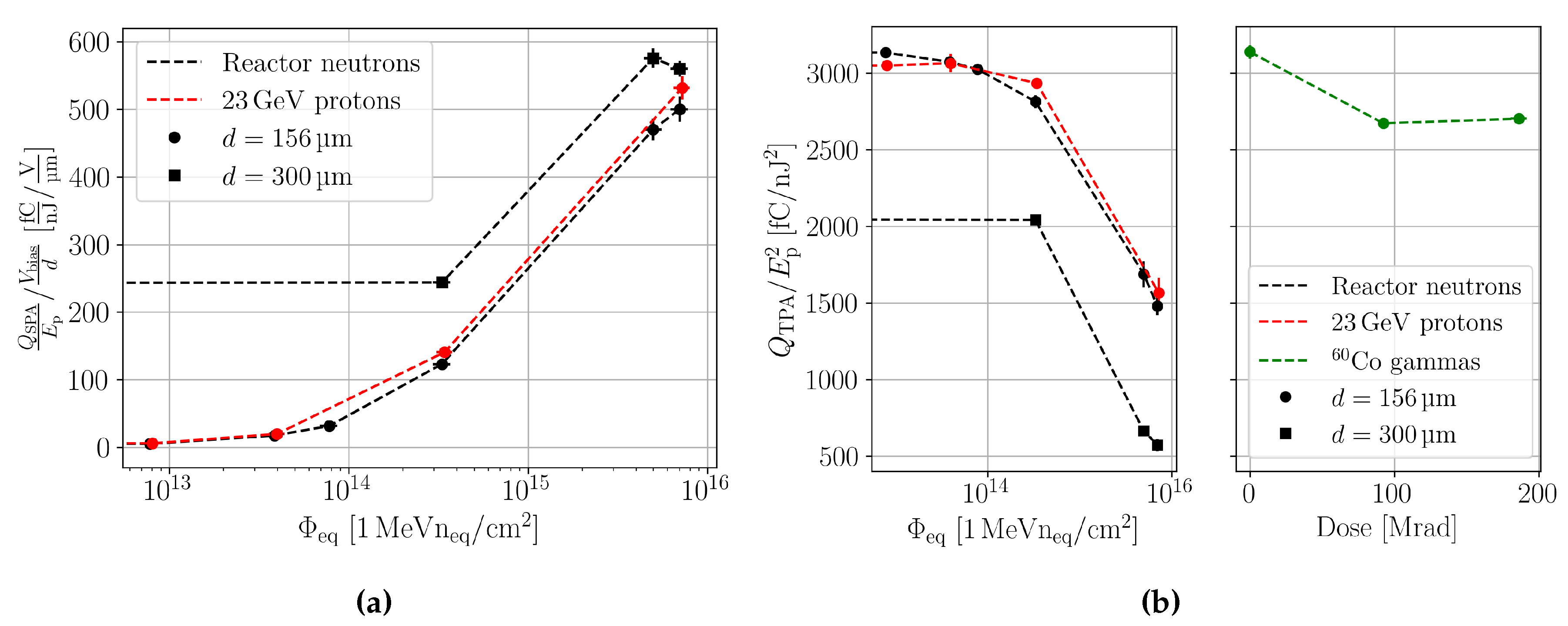
3.2. Influence of Neutron and Proton Irradiation
3.3. Influence of Gamma Irradiation
3.4. Comparison of Neutron, Proton, and Gamma Irradiation
3.5. Beam Depletion Due to SPA
3.6. Influence on the Two Photon Absorption Coefficient
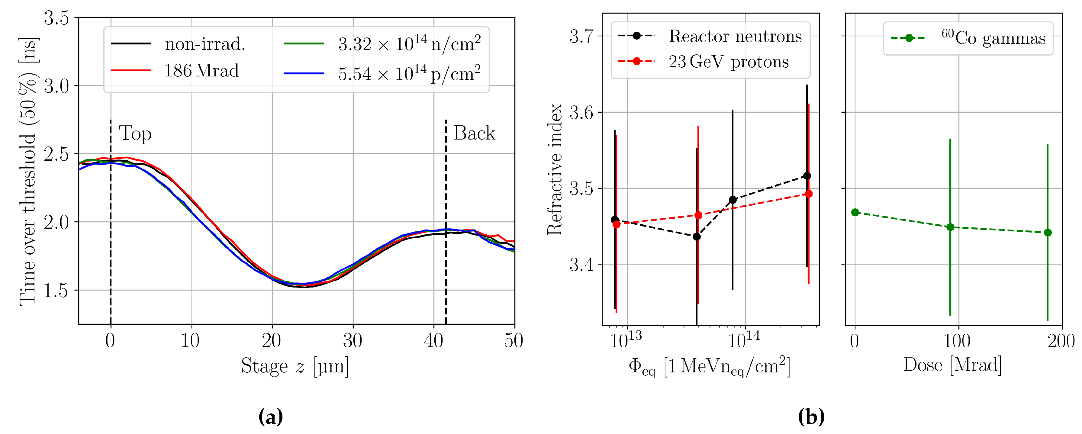
3.7. Refractive Index
4. Conclusions
Author Contributions
Funding
Informed Consent Statement
Data Availability Statement
Acknowledgments
Conflicts of Interest
Abbreviations
| CC | Collected charge |
| CCE | Charge collection efficiency |
| DUT | Device under test |
| FWHM | Full width at half maximum |
| MIP | Minimum ionising particle |
| MPV | Most probable value |
| PCB | Printed circuit board |
| SNR | Signal-to-noise ratio |
| SPA | Single Photon Absorption |
| TCT | Transient Current Technique |
| ToT | Time over threshold |
| TPA | Two Photon Absorption |
References
- Eremin, V.; Strokan, N.; Verbitskaya, E.; Li, Z. Development of transient current and charge techniques for the measurement of effective net concentration of ionized charges (Neff) in the space charge region of p-n junction detectors. Nuclear Instruments and Methods in Physics Research A: Accelerators, Spectrometers, Detectors and Associated Equipment 1996, 372, 388–398. [Google Scholar] [CrossRef]
- Mandić, I.; Cindro, V.; Gorišek, A.; Kramberger, G.; Mikuž, M.; Zavrtanik, M. Observation of full charge collection efficiency in heavily irradiated n+p strip detectors irradiated up to 3×1015neq/cm2. Nuclear Instruments and Methods in Physics Research A: Accelerators, Spectrometers, Detectors and Associated Equipment 2010, 612, 474–477. [Google Scholar] [CrossRef]
- Casse, G.; Allport, P.; Booth, P.; Greenall, A.; Jackson, J.; Jones, T.; Smith, N.; Turner, P.; Carter, J.; Morgan, D.; Robinson, D.; Beck, G.; Carter, A. A comparative study of oxygenated and non-oxygenated Si pad diodes, miniature and large area microstrip detectors. Nucl. Instrum. Methods Phys. Res. A: Accel., Spectrom., Detect. Assoc. Equip. 2001, 466, 335–344. [Google Scholar] [CrossRef]
- Wiehe, M.; Fernández García, M.; Moll, M.; Montero, R.; Palomo, F.R.; Vila, I.; Muñoz-Marco, H.; Otgon, V.; Pérez-Millán, P. Development of a Tabletop Setup for the Transient Current Technique Using Two-Photon Absorption in Silicon Particle Detectors. IEEE Transactions on Nuclear Science 2021, 68, 220–228. [Google Scholar] [CrossRef]
- Fernández García, M.; Jaramillo Echeverría, R.; Moll, M.; Montero, R.; Palomo Pinto, R.; Vila, I.; Wiehe, M. High resolution 3D characterization of silicon detectors using a Two Photon Absorption Transient Current Technique. Nuclear Instruments and Methods in Physics Research Section A: Accelerators, Spectrometers, Detectors and Associated Equipment 2020, 958, 162865. [Google Scholar] [CrossRef]
- Vila Álvarez, I.; De Castro Manzano, P.; Fernández García, M.; González, J.; Jaramillo Echevarría, R.; Moll, M.; Montero, R.; Palomo Pinto, F.R. TPA-TCT: A novel Transient Current Technique based on the Two Photon Absorption (TPA) process. 25th RD50 Workshop (CERN), 2014.
- Palomo Pinto, F.R.; Vila Álvarez, I.; De Castro Manzano, P.; Fernández García, M.; Moll, M. Two Photon Absorption and carrier generation in semiconductors. 25th RD50 Workshop (CERN), 2014.
- Wiehe, M. Development of a Two-Photon Absorption - TCT system and Study of Radiation Damage in Silicon Detectors. PhD thesis, Albert-Ludwigs-Universität Freiburg im Breisgau, 2021.
- Pape, S.; Currás, E.; Fernández García, M.; Moll, M. Techniques for the Investigation of Segmented Sensors Using the Two Photon Absorption-Transient Current Technique. Sensors 2023, 23. [Google Scholar] [CrossRef] [PubMed]
- Fernández García, M.; González Sánchez, J.; Jaramillo Echeverría, R.; Moll, M.; Montero, R.; Moya, D.; Palomo Pinto, F.R.; Vila, I. On the determination of the substrate effective doping concentration of irradiated HV-CMOS sensors using an edge-TCT technique based on the Two-Photon-Absorption process. JINST 2017, 12, C01038. [Google Scholar] [CrossRef]
- Pape, S.; Fernández García, M.; Moll, M.; Montero, R.; Palomo, F.; Vila, I.; Wiehe, M. Characterisation of irradiated and non-irradiated silicon sensors with a table-top two photon absorption TCT system. Journal of Instrumentation 2022, 17, C08011. [Google Scholar] [CrossRef]
- Pape, S. Characterisation of Silicon Detectors Using the Two Photon Absorption – Transient Current Technique. PhD thesis, TU Dortmund University, 2024.
- Almagro-Ruiz, A.; Pape, S.; Muñoz-Marco, H.; Wiehe, M.; Currás, E.; Fernández-García, M.; Moll, M.; Montero, R.; Palomo, F.R.; Quintana, C.; Vila, I.; Pérez-Millán, P. Fiber laser system of 1550nm femtosecond pulses with configurable properties for the two-photon excitation of transient currents in semiconductor detectors. Appl. Opt. 2022, 61, 9386–9397. [Google Scholar] [CrossRef] [PubMed]
- CIVIDEC Instrumentation GmbH, Vienna, Austria. https://cividec.at/index.php, accessed on 2023-09-26.
- CiS Forschungsinstitut für Mikrosensorik GmbH, Erfurt, Germany. https://www.cismst.de/, accessed on 2023-09-26.
- Jožef Stefan Institute, Ljubljana, Slovenia. https://www.ijs.si/ijsw/JSI, accessed on 2024-02-15.
- PS-IRRAD Proton Facility, CERN, Switzerland. https://ps-irrad.web.cern.ch/ps-irrad, accessed on 2024-02-15.
- Ruđer Bošković Institute, Zagreb, Croatia. https://www.irb.hr/eng, accessed on 2024-02-15.
- Snoj, L.; Žerovnik, G.; Trkov, A. Computational analysis of irradiation facilities at the JSI TRIGA reactor. Applied Radiation and Isotopes 2012, 70, 483–488. [Google Scholar] [CrossRef] [PubMed]
- Fretwurst, E.; Klanner, R.; Schwandt, J.; Vauth, A. Study of the V20 state in neutron-irradiated silicon using photon-absorption measurements. Nuclear Instruments and Methods in Physics Research A: Accelerators, Spectrometers, Detectors and Associated Equipment 2023, 1053, 168353. [Google Scholar] [CrossRef]
- Eremin, V.; Verbitskaya, E.; Li, Z. The origin of double peak electric field distribution in heavily irradiated silicon detectors. Nucl. Instrum. Methods Phys. Res. A: Accel., Spectrom., Detect. Assoc. Equip. 2002, 476, 556–564. [Google Scholar] [CrossRef]
- Spieler, H. Semiconductor Detector Systems, 1 ed.; Oxford University press, 2005.
- Zatocilova, I.; Mikestikova, M.; Latonova, V.; Kroll, J.; Privara, R.; Novotny, P.; Dudas, D.; Kvasnicka, J. Study of bulk damage of high dose gamma irradiated p-type silicon diodes with various resistivities. Journal of Instrumentation 2024, 19, C02039. [Google Scholar] [CrossRef]
- Moll, M. Displacement Damage in Silicon Detectors for High Energy Physics. IEEE Transactions on Nuclear Science 2018, 65, 1561–1582. [Google Scholar] [CrossRef]
- Moll, M. Radiation damage in silicon particle detectors. Microscopic defects and macroscopic properties. PhD thesis, University of Hamburg, 1999. [CrossRef]
- van Lint, V.A.J.; Leadon, R.E.; Colwell, J.F. Energy Dependence of Displacement Effects in Semiconductors. IEEE Transactions on Nuclear Science 1972, 19, 181–185. [Google Scholar] [CrossRef]
- Davidek, T.; Leitner, R. Parametrization of the Muon Response in the Tile Calorimeter. Technical report, CERN-ATL-TILECAL-97-114, 1997.
- Hartmann, F. Evolution of Silicon Sensor Technology in Particle Physics, 2 ed.; Springer Nature, 2017. [CrossRef]
- Heidemann, K.F. Complex-refractive-index profiles of 4 MeV Ge ion-irradiation damage in silicon. Philosophical Magazine B 1981, 44, 465–485. [Google Scholar] [CrossRef]
- Li, H.H. Refractive index of silicon and germanium and its wavelength and temperature derivatives. Journal of Physical and Chemical Reference Data 1980, 9, 561–658. [Google Scholar] [CrossRef]













| Name | Active | Fluence/ | Annealing |
|---|---|---|---|
| thickness [] | Dose | ||
| Pristine | |||
| 21-DS-79 | – | – | |
| 25-DS-66 | |||
| Neutron [] | |||
| 21-DS-78 |
at and at |
||
| 21-DS-84 | |||
| 21-DS-98 | |||
| 21-DS-99 | |||
| 21-DS-101 | |||
| 21-DS-102 | |||
| 25-DS-104 | |||
| 25-DS-87 | |||
| 25-DS-88 | |||
| Proton [] | |||
| 21-DS-97 |
at and at |
||
| 21-DS-96 | |||
| 21-DS-94 | |||
| 21-DS-92 | |||
| Gamma [] | |||
| 19-DS-97 | - | ||
| 19-DS-99 | |||
Disclaimer/Publisher’s Note: The statements, opinions and data contained in all publications are solely those of the individual author(s) and contributor(s) and not of MDPI and/or the editor(s). MDPI and/or the editor(s) disclaim responsibility for any injury to people or property resulting from any ideas, methods, instructions or products referred to in the content. |
© 2024 by the authors. Licensee MDPI, Basel, Switzerland. This article is an open access article distributed under the terms and conditions of the Creative Commons Attribution (CC BY) license (http://creativecommons.org/licenses/by/4.0/).