Submitted:
25 July 2024
Posted:
26 July 2024
You are already at the latest version
Abstract
Keywords:
1. Introduction
2. Materials and Methods
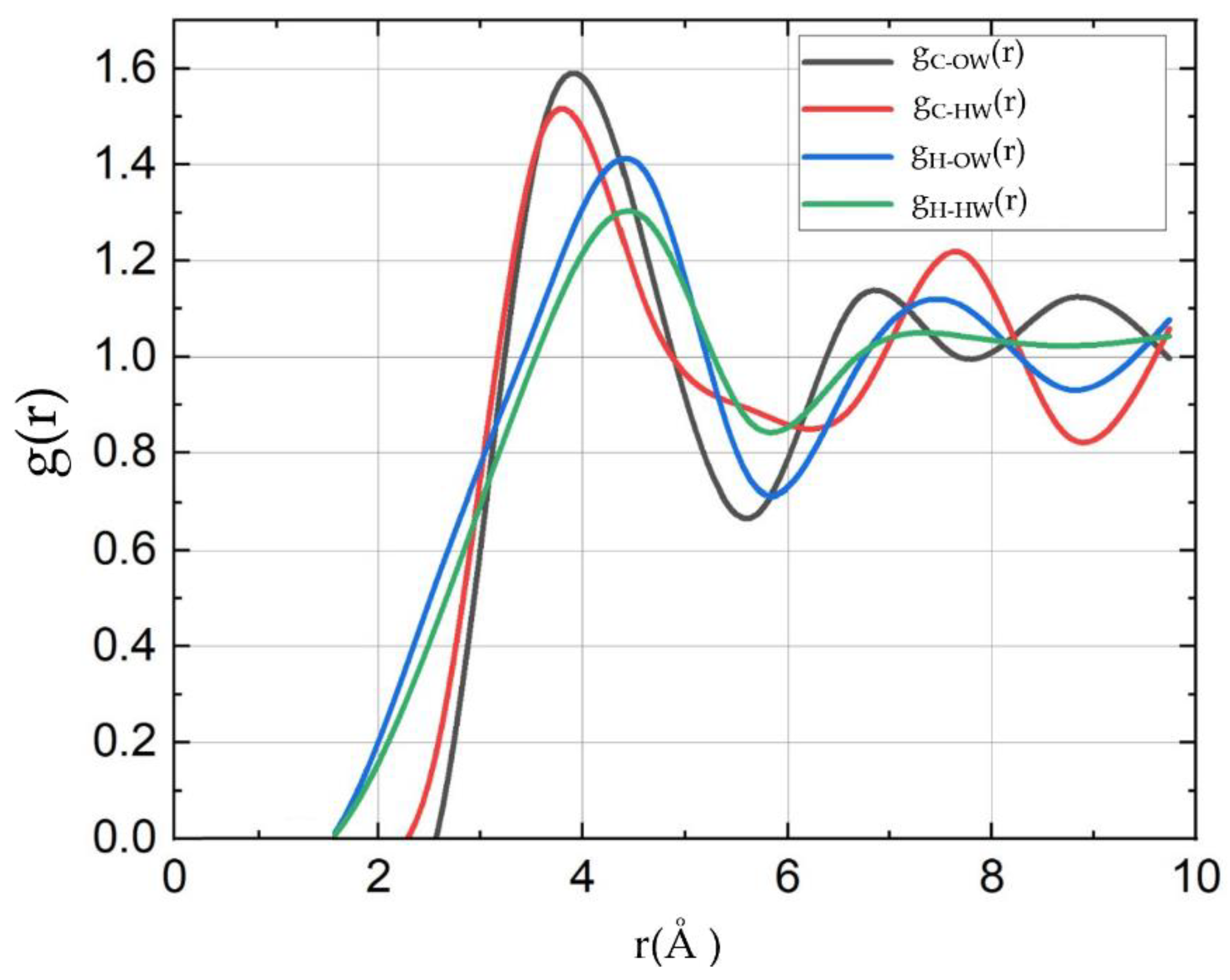
3. Results and Discussion
4. Conclusions and Future Works
Author Contributions
Funding
Data Availability Statement
Conflicts of Interest
References
- Moradi, M.; Chen, Y. Monte Carlo simulation of diffuse optical spectroscopy for 3D modeling of dental tissues. Sensors 2023, 23, 5118. [Google Scholar] [CrossRef] [PubMed]
- Moradi, M.; Vasudevan, S.; Bhusal, A.; Weininger, S.; Chen, Y.; Pfefer, J. Modeling light-tissue interactions in pulse oximetry: effect of device design and skin pigmentation. In Proceedings of the Design and Quality for Biomedical Technologies XVII, St. Bellingham, WA, USA; 2024; p. 1283302. [Google Scholar]
- Hatami, F.; Moradi, M. Comparative Analysis of Machine Learning Models for Predicting Viscosity in Tri-n-Butyl Phosphate Mixtures Using Experimental Data. Computation 2024, 12, 133. [Google Scholar] [CrossRef]
- Hatami, F.; Moradi, M. Comparison of Different Machine Learning Approaches to Predict Viscosity of Tri-n-Butyl Phosphate Mixtures Using Experimental Data. arXiv 2023, arXiv:2311.02522. [Google Scholar]
- Moradi, M.; Eslami, M.; Hashemabad, S.K.; Friedman, D.S.; Boland, M.V.; Wang, M.; Elze, T.; Zebardast, N. PyGlaucoMetrics: An Open-Source Multi-Criteria Glaucoma Defect Evaluation. Investigative Ophthalmology & Visual Science 2024, 65, OD38–OD38. [Google Scholar]
- Hatami, F. Energy Spectrum of Primary Knock-on Atoms and Atomic Displacement Calculations in Metallic Alloys Under Neutron Irradiation. arXiv 2024, arXiv:2406.08438. [Google Scholar]
- Chipot, C.; Pearlman, D.A. Free energy calculations. The long and winding gilded road. Molecular Simulation 2002, 28, 1–12. [Google Scholar] [CrossRef]
- Cieplak, P.; Kollman, P.A. Calculation of the free energy of association of nucleic acid bases in vacuo and water solution. Journal of the American Chemical Society 1988, 110, 3734–3739. [Google Scholar] [CrossRef]
- Jorgensen, W.L. The many roles of computation in drug discovery. Science 2004, 303, 1813–1818. [Google Scholar] [CrossRef] [PubMed]
- Wilhelm, E.; Battino, R.; Wilcock, R.J. Low-pressure solubility of gases in liquid water. Chemical reviews 1977, 77, 219–262. [Google Scholar] [CrossRef]
- Hine, J.; PK, M. The intrinsic hydrophilic character of organic compounds. Correlations in terms of structural contributions. 1975. [Google Scholar]
- Abraham, M.H. Thermodynamics of solution of homologous series of solutes in water. Journal of the Chemical Society, Faraday Transactions 1: Physical Chemistry in Condensed Phases 1984, 80, 153–181. [Google Scholar] [CrossRef]
- Pearson, R.G. Ionization potentials and electron affinities in aqueous solution. Journal of the American Chemical Society 1986, 108, 6109–6114. [Google Scholar] [CrossRef]
- Garrido, N.M.; Economou, I.G.; Queimada, A.J.; Jorge, M.; Macedo, E.A. Prediction of the n-hexane/water and 1-octanol/water partition coefficients for environmentally relevant compounds using molecular simulation. AIChE journal 2012, 58, 1929–1938. [Google Scholar] [CrossRef]
- Yang, L.; Ahmed, A.; Sandler, S.I. Comparison of two simulation methods to compute solvation free energies and partition coefficients. Journal of Computational Chemistry 2013, 34, 284–293. [Google Scholar] [CrossRef]
- Bapat, D.U.; Dalvi, V.H. Molecular insights into water clusters formed in tributylphosphate–di-(2-ethylhexyl) phosphoric acid extractant systems from experiments and molecular dynamics simulations. The Journal of Physical Chemistry B 2019, 123, 1618–1635. [Google Scholar] [CrossRef]
- Zwanzig, R.W. High-temperature equation of state by a perturbation method. I. Nonpolar gases. The Journal of Chemical Physics 1954, 22, 1420–1426. [Google Scholar] [CrossRef]
- Kirkwood, J.G. Statistical mechanics of fluid mixtures. The Journal of chemical physics 1935, 3, 300–313. [Google Scholar] [CrossRef]
- Straatsma, T.; Berendsen, H.; Postma, J. Free energy of hydrophobic hydration: A molecular dynamics study of noble gases in water. The Journal of chemical physics 1986, 85, 6720–6727. [Google Scholar] [CrossRef]
- Bash, P.A.; Singh, U.; Langridge, R.; Kollman, P.A. Free energy calculations by computer simulation. Science 1987, 236, 564–568. [Google Scholar] [CrossRef]
- Plimpton, S. Fast parallel algorithms for short-range molecular dynamics. Journal of computational physics 1995, 117, 1–19. [Google Scholar] [CrossRef]
- Paluch, A.S.; Shah, J.K.; Maginn, E.J. Efficient solvation free energy calculations of amino acid analogs by expanded ensemble molecular simulation. Journal of Chemical Theory and Computation 2011, 7, 1394–1403. [Google Scholar] [CrossRef] [PubMed]
- Jorgensen, W.L.; Blake, J.F.; Buckner, J.K. Free energy of TIP4P water and the free energies of hydration of CH4 and Cl-from statistical perturbation theory. Chemical physics 1989, 129, 193–200. [Google Scholar] [CrossRef]
- Shirts, M.R.; Pande, V.S. Solvation free energies of amino acid side chain analogs for common molecular mechanics water models. The Journal of chemical physics 2005, 122. [Google Scholar] [CrossRef] [PubMed]
- Pearlman, D.A. A comparison of alternative approaches to free energy calculations. The Journal of Physical Chemistry 1994, 98, 1487–1493. [Google Scholar] [CrossRef]
- Beutler, T.C.; Mark, A.E.; van Schaik, R.C.; Gerber, P.R.; Van Gunsteren, W.F. Avoiding singularities and numerical instabilities in free energy calculations based on molecular simulations. Chemical physics letters 1994, 222, 529–539. [Google Scholar] [CrossRef]
- Jorgensen, W.L.; Thomas, L.L. Perspective on free-energy perturbation calculations for chemical equilibria. Journal of chemical theory and computation 2008, 4, 869–876. [Google Scholar] [CrossRef]
- Cross, A.J. Influence of hamiltonian parameterization on convergence of kirkwood free energy calculations. Chemical physics letters 1986, 128, 198–202. [Google Scholar] [CrossRef]
- Mezei, M.; Beveridge, D. Free energy simulations. Annals of the New York Academy of Sciences 1986, 482, 1–23. [Google Scholar] [CrossRef]
- Boresch, S.; Bruckner, S. Avoiding the van der Waals endpoint problem using serial atomic insertion. Journal of computational chemistry 2011, 32, 2449–2458. [Google Scholar] [CrossRef]
- Giese, T.J.; York, D.M. A GPU-accelerated parameter interpolation thermodynamic integration free energy method. Journal of chemical theory and computation 2018, 14, 1564–1582. [Google Scholar] [CrossRef]
- Gissinger, J.R.; Nikiforov, I.; Afshar, Y.; Waters, B.; Choi, M.-k.; Karls, D.S.; Stukowski, A.; Im, W.; Heinz, H.; Kohlmeyer, A. Type Label Framework for Bonded Force Fields in LAMMPS. The Journal of Physical Chemistry B 2024, 128, 3282–3297. [Google Scholar] [CrossRef] [PubMed]
- Martínez, L.; Andrade, R.; Birgin, E.G.; Martínez, J.M. PACKMOL: A package for building initial configurations for molecular dynamics simulations. Journal of computational chemistry 2009, 30, 2157–2164. [Google Scholar] [CrossRef] [PubMed]
- Kumar, R.A.; Sruthi, S.; Kiruthika, A.; Karthik, V. Atomistic modelling of carbon nanotube networks and analysis of inter filler distance. Materials Today: Proceedings 2021, 39, 1791–1795. [Google Scholar]
- Ben-Naim, A.; Marcus, Y. Solvation thermodynamics of nonionic solutes. The Journal of chemical physics 1984, 81, 2016–2027. [Google Scholar] [CrossRef]
- Graziano, G. Contrasting the hydration thermodynamics of methane and methanol. Physical Chemistry Chemical Physics 2019, 21, 21418–21430. [Google Scholar] [CrossRef]
- Luis, D.P.; García-González, A.; Saint-Martin, H. A theoretical study of the hydration of methane, from the aqueous solution to the sI hydrate-liquid water-gas coexistence. International Journal of Molecular Sciences 2016, 17, 378. [Google Scholar] [CrossRef]


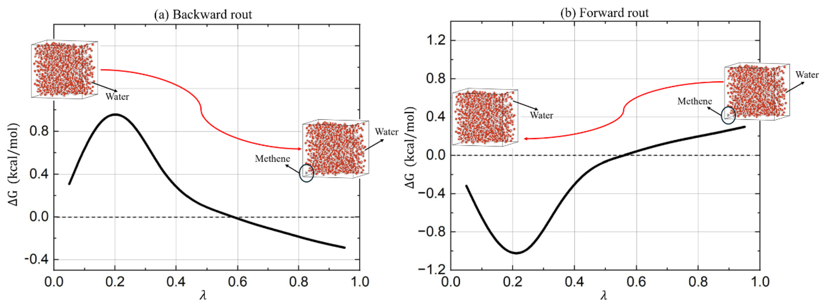
| Method | ΔGForward (kcal/mol) | ΔGBackward (kcal/mol) |
|---|---|---|
| This study (FEP, LAMMPS) |
-2.218(13%) | 2.132 (8%) |
| Shirts’s work [24] (BAR, GROMACS) |
*N/A | 2.27 (15%) |
| Jorgensen’s work [23] (FEP-MC) |
-2.08 (6%) | 2.90 (48%) |
| Experimental [35,36] | -2.005, -1.912 | 2.005, 1.912 |
Disclaimer/Publisher’s Note: The statements, opinions and data contained in all publications are solely those of the individual author(s) and contributor(s) and not of MDPI and/or the editor(s). MDPI and/or the editor(s) disclaim responsibility for any injury to people or property resulting from any ideas, methods, instructions or products referred to in the content. |
© 2024 by the authors. Licensee MDPI, Basel, Switzerland. This article is an open access article distributed under the terms and conditions of the Creative Commons Attribution (CC BY) license (http://creativecommons.org/licenses/by/4.0/).