Submitted:
22 July 2024
Posted:
22 July 2024
You are already at the latest version
Abstract
Keywords:
1. Introduction
2. Aging and the Impedance Spectroscopy of HV Cables
2.1. Aging Parameter Model
2.2. Impedance Spectroscopy of HV Cables
3. Simulations and Results
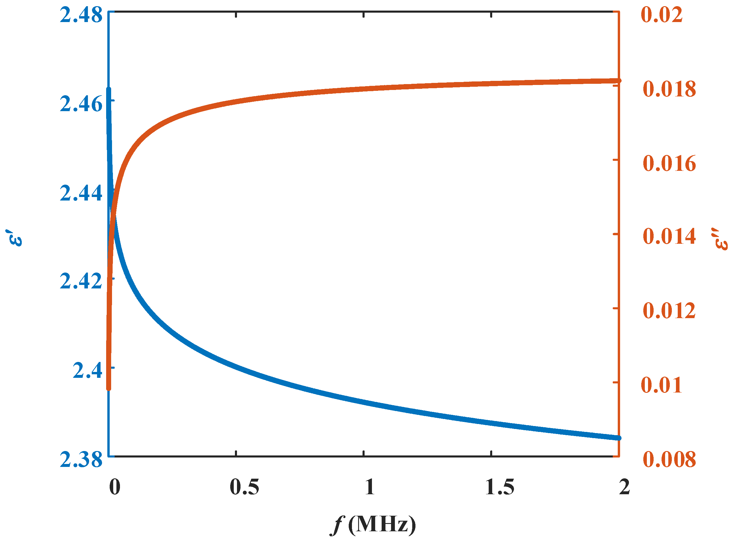
3.1. Dielectric Constant and Impedance of HV cables
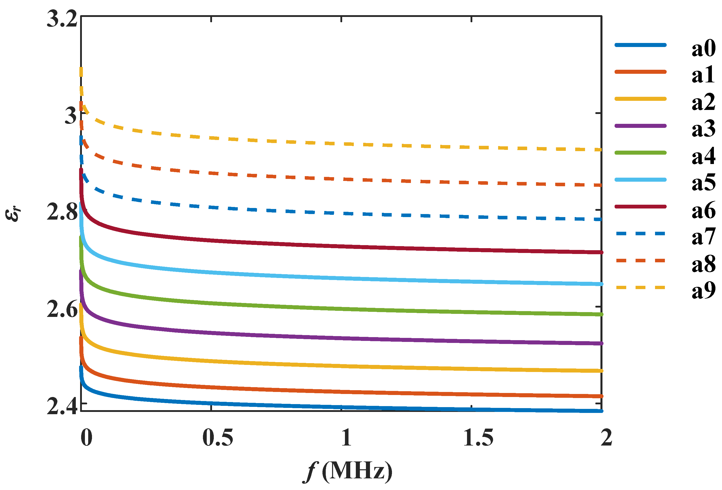
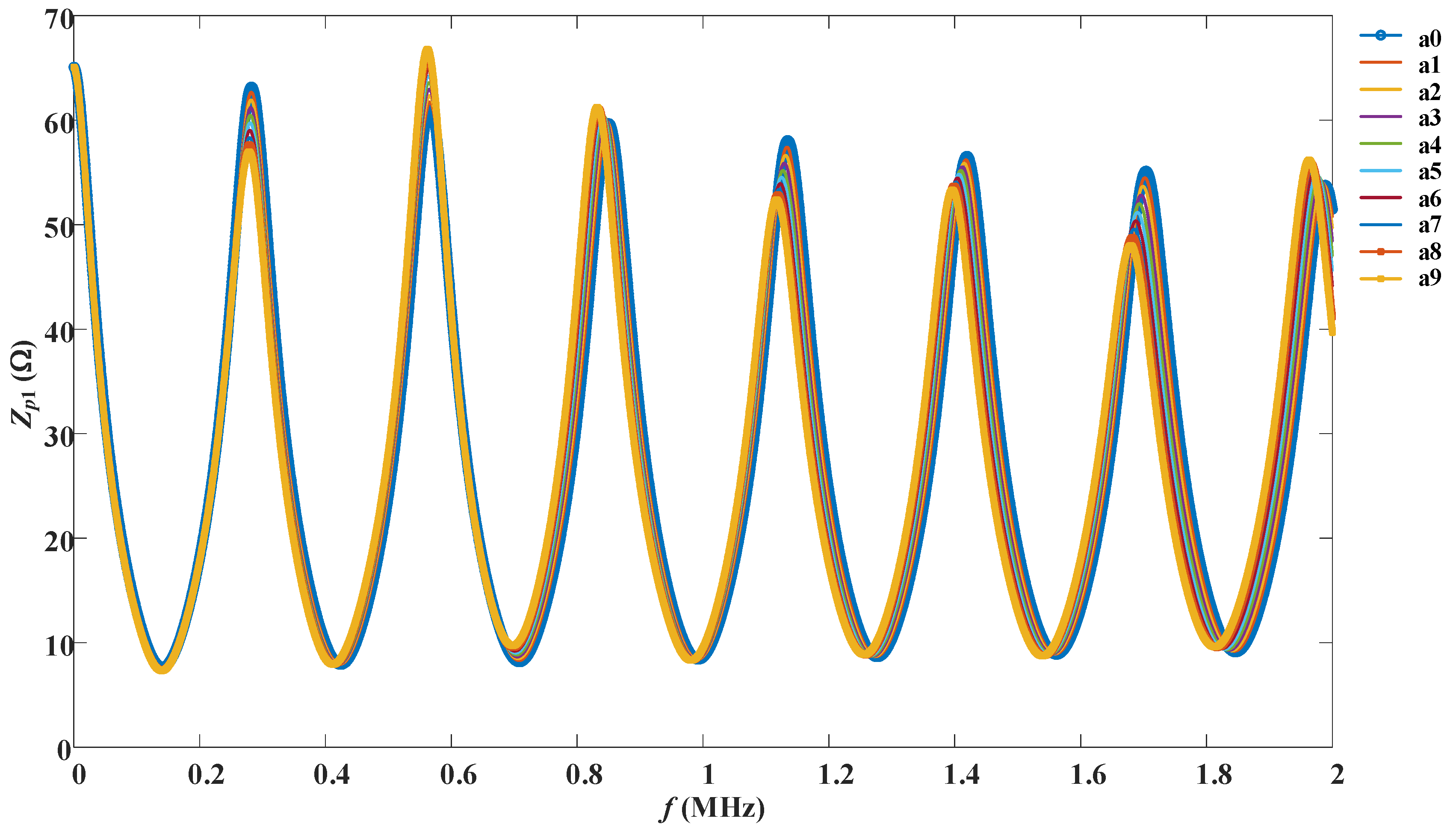
3.2. Impedance Spectroscopy of Different Aging Conditions
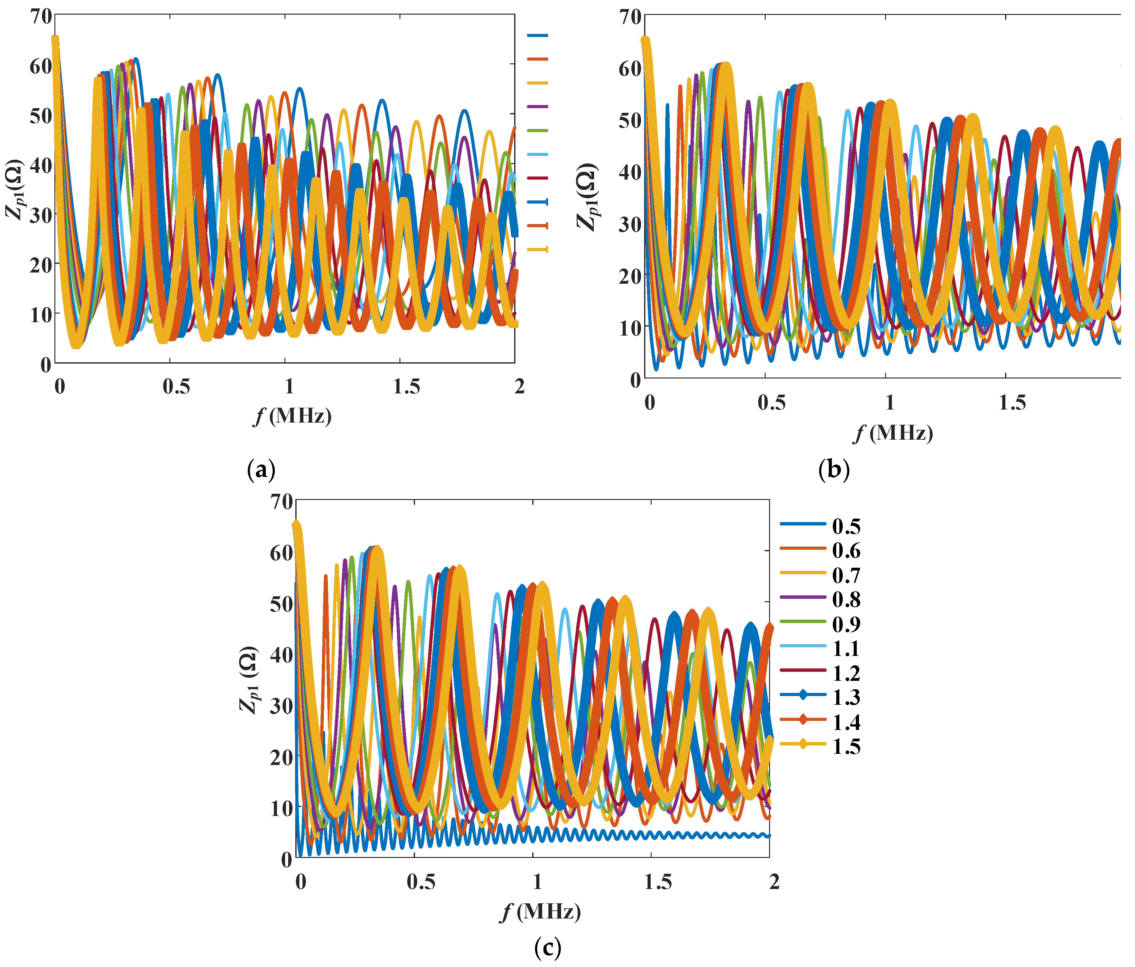
3.3. Impedance Spectroscopy for Local Deterioration
3.3.1. Impedance Spectroscopy for Local Deterioration of Different Locations
3.3.2. Impedance Spectroscopy for Local Deterioration of Different Sizes
3.4. Influence Factor Analysis
3.4.1. Influence of the Load
3.4.2. Influence of the Length
3.4.3. Influence of the Metal Resistivity
3.4.4. Influence of the Geometry Parameters
4. Diagnosis of the Aging State
4.1. Known Geometric Parameters
4.2. Unknown Geometric Parameters
5. Discussion
6. Conclusions
Author Contributions
Funding
Data Availability Statement
Conflicts of Interest
References
- Xing, Y.; Liu, J.; Su, J.; Zha, J.; Li, G.; Guo, Z.; Zhao, X.; Feng, M. Effect of nucleating agents on the electrical properties of crosslinked polyethylene under tensile stress. High Voltage. 2024, 9, 429–439. [Google Scholar] [CrossRef]
- Hamad, A.A.; Ghunem, R.A. A techno-economic framework for replacing aged XLPE cables in the distribution network. IEEE Trans. Power Del. 2020, 35, 2387 - 2393.
- Zhou, C.; Yi, H.; Dong, X. Review of recent research towards power cable life cycle management. High Volt. 2017, 2, 179–187. [Google Scholar] [CrossRef]
- Xu, C.; Boggs, S. A. High-frequency loss in unjacketed distribution cable and its effect on pd measurement. IEEE Transactions on Power Delivery, 2009, 24, 495-500. [CrossRef]
- Mustafa, E.; Afia, R.S.A.; Tamus, Z.Á. Dielectric loss and extended voltage response measurements for low-voltage power cables used in nuclear power plant: potential methods for aging detection due to thermal stress. Electr. Eng. 2021, 103, 899–908. [Google Scholar] [CrossRef]
- Nadolny, Z. Electric Field Distribution and Dielectric Losses in XLPE Insulation and Semiconductor Screens of High-Voltage Cables. Energies 2022, 15, 4692. [CrossRef]
- Kaczorek-Chrobak, K.; Fangrat, J.; Papis, B.K. Calorimetric Behaviour of Electric Cables. Energies 2021, 14,1007. [CrossRef]
- Wang, Y.; Kang, N.; Lin, J.; Lu, S.; Liew, K.M. Cross-heating-rate prediction of thermogravimetry of PVC and XLPE cable insulation material: a novel artificial neural network framework. J. Therm. Anal. Calorim. 2022, 147, 14467–14478. [Google Scholar] [CrossRef]
- Wang, Z.; Wang, J. Comparative thermal decomposition characteristics and fire behaviors of commercial cables. J. Therm. Anal. Calorim. 2021, 144, 1209–1218. [Google Scholar] [CrossRef]
- Bel Hadj Ali, N.; Kan, Z.; Peng, H.; Rhode-Barbarigos, L. On static analysis of tensile structures with sliding cables: the frictional sliding case. Engineering with Computers 2021, 37, 1429–1442. [CrossRef]
- Zhang, S.; Zhou, J.; Zhang, H.; Liao, L.; Liu, L. Influence of cable tension history on the monitoring of cable tension using magnetoelastic inductance method. Structural Health Monitoring. 2021, 20, 3392–3405. [Google Scholar] [CrossRef]
- Xu, D.; Jiang, Q.; Li, S.; Qiu, S.; Duan, S.; Huang, S. Safety assessment of cable bolts subjected to tensile loads. Computers and Geotechnics, 2020, 128, 103832. [CrossRef]
- Yang, Y.; Hepburn, D.M.; Zhou, C.; Zhou, W.; Bao, Y. On-line monitoring of relative dielectric losses in cross-bonded cables using sheath currents. IEEE Transactions on Dielectrics and Electrical Insulation 2017, 24, 2677‐2685. [CrossRef]
- Maier, T.; Lick, D.; Leibfried, T. Frequency-Domain Cable Model with a Real Representation of Joints and Smooth Failure Changes and a Diagnostic Investigation with Line Resonance Analysis. in 2018 Condition Monitoring and Diagnosis (CMD), Perth, Australia, 2018.
- Li, G.; Chen, J.; Li, H.; Hu, L.; Zhou, W.; Zhou, C.; Li, M. Diagnosis and Location of Power Cable Faults Based on Characteristic Frequencies of Impedance Spectroscopy. Energies. 2022, 15, 5617. [Google Scholar] [CrossRef]
- Li, M.; Yuan, R.; Chen, J.; Hu, L.; Li, C.; Wang, L.; Guo, A.; Chen, A.; Zhang, X. Feasibility Study on Online Diagnosis of Aging and Deterioration of MV Three-Core Cable Based on Impedance Spectroscopy. IEEE Access. 2023, 11, 36082–36096. [Google Scholar] [CrossRef]
- Zhang, T.; Mandala, A.T.; Zhong, T.; Zhang, N. Jiang, S. Identification of extended Debye model parameters for oil-paper insulation based on voltage response characteristic. Electr. Eng. 2022, 104, 2379–2387. [CrossRef]
- Carson, R. A. J. Low-temperature dielectric relaxation in polyethylene. Proc. R. Soc. Lond. A. 1973, 332, 255–268. [Google Scholar] [CrossRef]
















| The structural parameters | Value (mm) | The metal resistivities | Value (Ω·m) |
|---|---|---|---|
| r1 (outer radius of the core conductor) | 17 | ρc (resistivity of the core conductor) | 1.68 × 10−8 |
| r2 (inner radius of the metal sheath) | 39.4 | ρs (resistivity of the metal sheath) | 1.68 × 10−8 |
| r3 (outer radius of the metal sheath) | 43.9 |
Disclaimer/Publisher’s Note: The statements, opinions and data contained in all publications are solely those of the individual author(s) and contributor(s) and not of MDPI and/or the editor(s). MDPI and/or the editor(s) disclaim responsibility for any injury to people or property resulting from any ideas, methods, instructions or products referred to in the content. |
© 2024 by the authors. Licensee MDPI, Basel, Switzerland. This article is an open access article distributed under the terms and conditions of the Creative Commons Attribution (CC BY) license (http://creativecommons.org/licenses/by/4.0/).