Submitted:
22 July 2024
Posted:
22 July 2024
You are already at the latest version
Abstract
Keywords:
1. Introduction
2. Materials and Methods
2.1. Patient Population and Study Design
2.2. Study Participants and Recruitment
2.3. Urinary Cotinine Collection and Measurement
2.4. Statistical Analysis
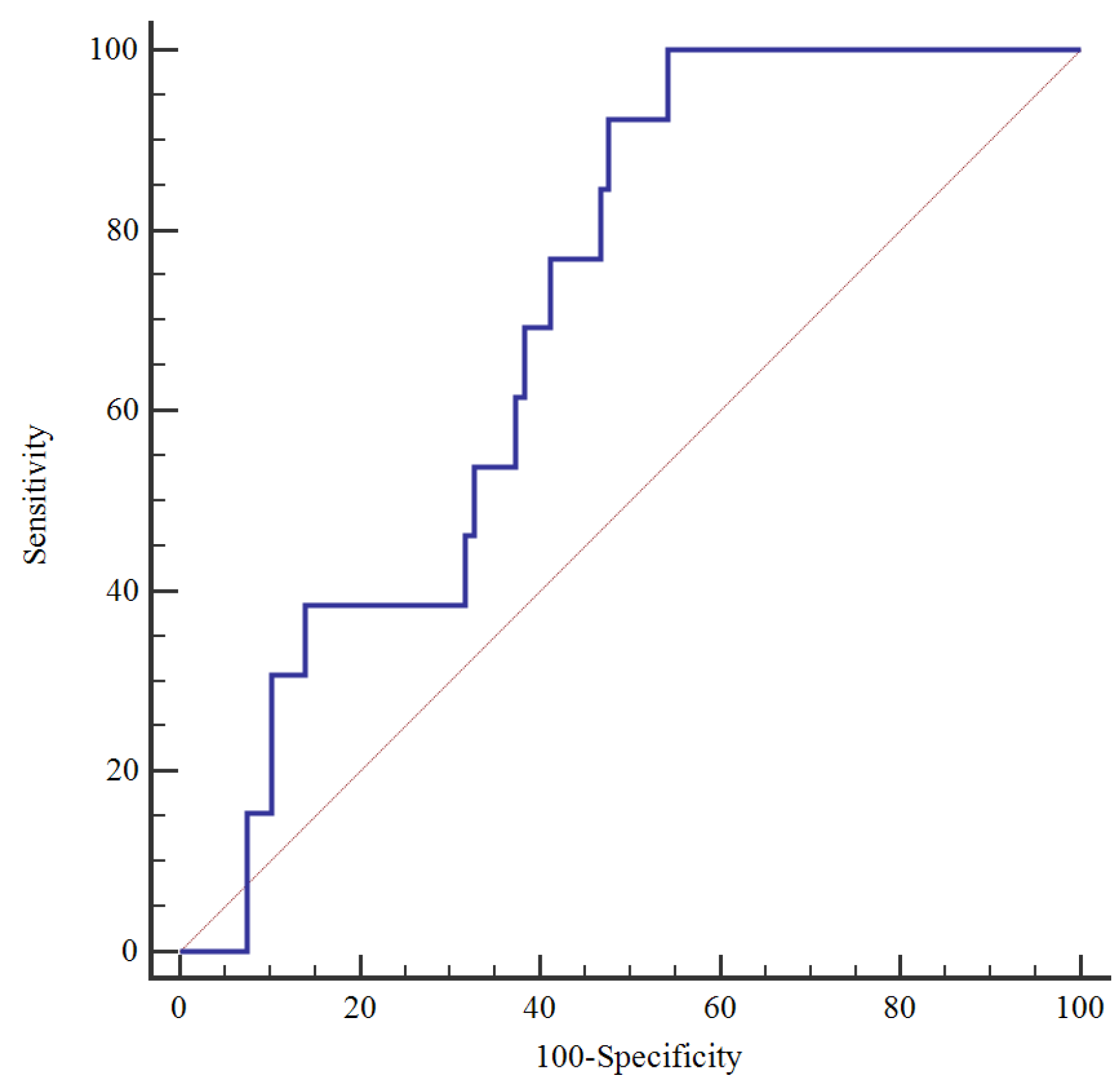
3. Results
4. Discussion
5. Conclusions
Author Contributions
Funding
Institutional Review Board Statement
Informed Consent Statement
Data Availability Statement
Acknowledgments
Conflicts of Interest
References
- Gluckman, P.D.; Hanson, M.A.; Cooper, C.; Thornburg, K.L. Effect of in utero and early-life conditions on adult health and disease. N Engl J Med 2008, 359, 61-73. [CrossRef] [PubMed]
- Rogers, J.M. Smoking and pregnancy: Epigenetics and developmental origins of the metabolic syndrome. Birth Defects Res 2019, 111, 1259-1269. [CrossRef]
- Bianco-Miotto, T.; Craig, J.M.; Gasser, Y.P.; van Dijk, S.J.; Ozanne, S.E. Epigenetics and DOHaD: from basics to birth and beyond. J Dev Orig Health Dis 2017, 8, 513-519. [CrossRef]
- De Smidt, J.J.A.; Odendaal, H.J.; Nel, D.G.; Nolan, H.; Du Plessis, C.; Brink, L.T.; Oelofse, A. The effects of in utero exposure to teratogens on organ size: a prospective paediatric study. J Dev Orig Health Dis 2021, 12, 748-757. [CrossRef]
- Health, A.I.o.; Welfare. Australia's mothers and babies; AIHW: Canberra, 2023.
- AIHW. Australian Institute of Health and Welfare 2024. Aboriginal and Torres Strait Islander Health Performance Framework: summary report March 2024. Canberra: AIHW. Accessed [16/7/2024]. 2024.
- He, B.; Zhang, Q.; Guo, Y.; Ao, Y.; Tie, K.; Xiao, H.; Chen, L.; Xu, D.; Wang, H. Prenatal smoke (Nicotine) exposure and offspring's metabolic disease susceptibility in adulthood. Food and Chemical Toxicology 2022, 168, 113384. [CrossRef] [PubMed]
- Lv, J.; Mao, C.; Zhu, L.; Zhang, H.; Pengpeng, H.; Xu, F.; Liu, Y.; Zhang, L.; Xu, Z. The effect of prenatal nicotine on expression of nicotine receptor subunits in the fetal brain. Neurotoxicology 2008, 29, 722-726. [CrossRef]
- Aoyagi, Y.; Momoi, N.; Kanai, Y.; Go, H.; Abe, Y.; Miyazaki, K.; Tomita, Y.; Hayashi, M.; Endo, K.; Mitomo, M.; et al. Prenatal nicotine exposure affects cardiovascular function and growth of the developing fetus. J Obstet Gynaecol Res 2020, 46, 1044-1054. [CrossRef]
- Suter, M.A.; Aagaard, K.M. The impact of tobacco chemicals and nicotine on placental development. Prenat Diagn 2020, 40, 1193-1200. [CrossRef] [PubMed]
- Kataoka, M.C.; Carvalheira, A.P.P.; Ferrari, A.P.; Malta, M.B.; de Barros Leite Carvalhaes, M.A.; de Lima Parada, C.M.G. Smoking during pregnancy and harm reduction in birth weight: a cross-sectional study. BMC Pregnancy and Childbirth 2018, 18, 67. [CrossRef]
- Kunutsor, S.K.; Spee, J.M.; Kieneker, L.M.; Gansevoort, R.T.; Dullaart, R.P.F.; Voerman, A.-J.; Touw, D.J.; Bakker, S.J.L. Self-Reported Smoking, Urine Cotinine, and Risk of Cardiovascular Disease: Findings From the PREVEND (Prevention of Renal and Vascular End-Stage Disease) Prospective Cohort Study. Journal of the American Heart Association 2018, 7, e008726. [CrossRef]
- Abdullah, B.; Muadz, B.; Norizal, M.N.; Ismail, N.; Kornain, N.K.; Kutty, M. Pregnancy outcome and cord blood cotinine level: A cross-sectional comparative study between secondhand smokers and non-secondhand smokers. European Journal of Obstetrics and Gynecology and Reproductive Biology 2017, 214, 86-90. [CrossRef] [PubMed]
- Health, Q. Queensland Health. Townsville Hospital and Health Service Annual Report 2020-2021 [Internet]: State of Queensland; 2021 [cited 2022 Sept 15].
- Fenton, T.R.; Kim, J.H. A systematic review and meta-analysis to revise the Fenton growth chart for preterm infants. BMC Pediatrics 2013, 13, 59. [CrossRef] [PubMed]
- Thompson, S.G.; Barlow, R.D.; Wald, N.J.; Van Vunakis, H. How should urinary cotinine concentrations be adjusted for urinary creatinine concentration? Clin Chim Acta 1990, 187, 289-295. [CrossRef] [PubMed]
- D'agostino, R.B.; Belanger, A.; D'Agostino Jr, R.B. A suggestion for using powerful and informative tests of normality. The American Statistician 1990, 44, 316-321. [CrossRef]
- Ashorn, P.; Ashorn, U.; Muthiani, Y.; Aboubaker, S.; Askari, S.; Bahl, R.; Black, R.E.; Dalmiya, N.; Duggan, C.P.; Hofmeyr, G.J.; et al. Small vulnerable newborns-big potential for impact. Lancet 2023, 401, 1692-1706. [CrossRef]
- Voigt, M.; Hermanussen, M.; Wittwer-Backofen, U.; Fusch, C.; Hesse, V. Sex-specific differences in birth weight due to maternal smoking during pregnancy. Eur J Pediatr 2006, 165, 757-761. [CrossRef]
- Owili, P.O.; Muga, M.A.; Kuo, H.W. Gender Difference in the Association between Environmental Tobacco Smoke and Birth Weight in Africa. Int J Environ Res Public Health 2018, 15. [CrossRef] [PubMed]
- Guerby, P.; Garabedian, C.; Berveiller, P.; Legendre, G.; Grangé, G.; Berlin, I. Tobacco and Nicotine Cessation During Pregnancy. Obstet Gynecol 2020, 136, 428-429. [CrossRef]
- Mendelsohn, C.; Gould, G.S.; Oncken, C. Management of smoking in pregnant women. Aust Fam Physician 2014, 43, 46-51.
- Brinchmann, B.C.; Vist, G.E.; Becher, R.; Grimsrud, T.K.; Elvsaas, I.-K.Ø.; Underland, V.; Holme, J.A.; Carlsen, K.C.L.; Kreyberg, I.; Nordhagen, L.S.; et al. Use of Swedish smokeless tobacco during pregnancy: A systematic review of pregnancy and early life health risk. Addiction 2023, 118, 789-803. [CrossRef]
- McDermott, M.M.; Newman, A.B. Remote Research and Clinical Trial Integrity During and After the Coronavirus Pandemic. JAMA 2021, 325, 1935-1936. [CrossRef]




|
Neonatal variables |
Maternal urine cotinine not detected | Maternal urine cotinine detected | P |
|
Birth weight (g) |
3458(464) |
3293(519) |
0.010 |
|
Birth weight Z score |
0.17(0.93) |
-0.16(1.04) |
0.010 |
|
Head circumference (cm) |
34.9(1.2) |
34.7(1.7) |
0.204 |
|
Length (cm) |
50.4(2.3) |
49.8(3.0) |
0.074 |
|
Gestation (weeks) |
39.0(1.1) |
38.8(2.0) |
0.223 |
|
Female/Male (N) |
64/54 |
52/68 |
0.093 |
|
SGA/AGA (N) |
3/115 |
13/107 |
0.011 |
Disclaimer/Publisher’s Note: The statements, opinions and data contained in all publications are solely those of the individual author(s) and contributor(s) and not of MDPI and/or the editor(s). MDPI and/or the editor(s) disclaim responsibility for any injury to people or property resulting from any ideas, methods, instructions or products referred to in the content. |
© 2024 by the authors. Licensee MDPI, Basel, Switzerland. This article is an open access article distributed under the terms and conditions of the Creative Commons Attribution (CC BY) license (http://creativecommons.org/licenses/by/4.0/).