Submitted:
20 July 2024
Posted:
22 July 2024
You are already at the latest version
Abstract

Keywords:
1. Introduction
2. Numerical Method
2.1. Geometric Model and Boundary Conditions
2.2. Computational Conditions and Mesh
2.3. Large Eddy Simulation (LES) Control Equations
3. Numerical Validation
| numerical example | method | |
|---|---|---|
| coarse grid | 0.121203215 | LES |
| medium Grid | 0.121200056 | LES |
| fine grid | 0.121200048 | LES |
| D.Scarsell | 0.099652680 | EXP |
| D.Scarsell | 0.106277874 | DNS |


4. Analysis and Discussion
4.1. Average Dynamic Pressure Drop
4.2. Analysis of Drag Reduction Rate
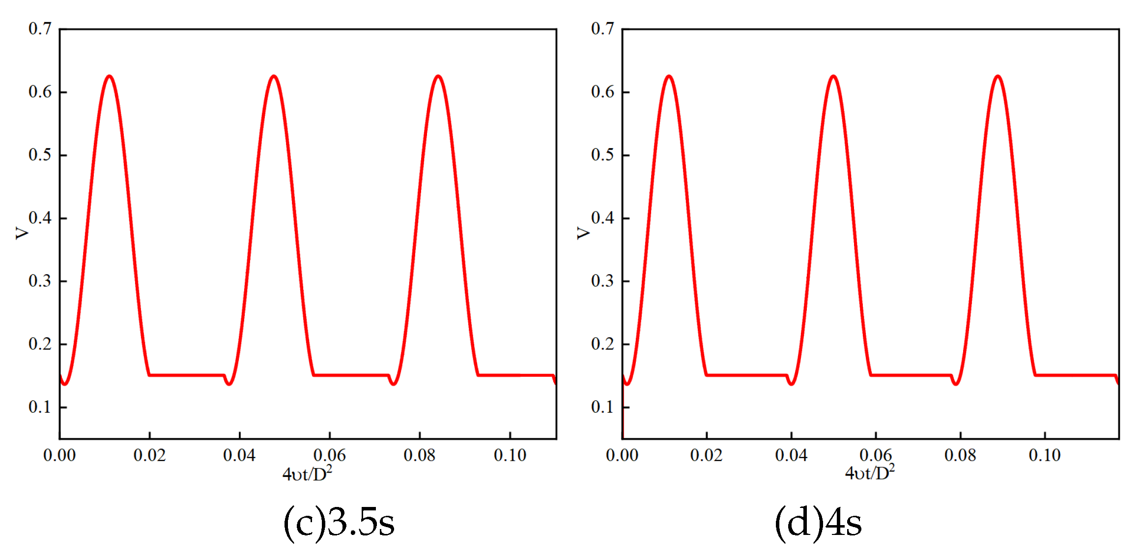
4.3. Cloud Image Analysis
5. Conclusion
Data Availability Statement
Conflicts of Interest
References
- Dean, Brian, and Bharat Bhushan. Shark-skin surfaces for fluid-drag reduction in turbulent flow: a review. Philosophical Transactions of the Royal Society A: Mathematical, Physical and Engineering Sciences 1929, 368, 4775–4806. [Google Scholar]
- Quadrio, Maurizio, Pierre Ricco, and Claudio Viotti. Streamwise-travelling waves of spanwise wall velocity for turbulent drag reduction. Journal of Fluid Mechanics 2009, 627, 161–178. [Google Scholar] [CrossRef]
- Kühnen, Jakob, et al. Destabilizing turbulence in pipe flow. Nature Physics 2018, 14.4, 386–390. [Google Scholar]
- Hof, B, De Lozar, A, Avila, M., Tu, X, & Schneider, T. M. Eliminating turbulence in spatially intermittent flows. science 2010, 327, 1491–1494. [Google Scholar] [CrossRef] [PubMed]
- Ashill, P. R. "Flow Control: Passive, Active, and Reactive Flow Management M. Gad-el-Hak Cambridge University Press, The Edinburgh Building, Cambridge CB2 2RU, UK. 2000. 421pp." The Aeronautical Journal 105.1045 (2001): 150-150.
- Du Y, Karniadakis G E. Suppressing Wall Turbulence by Means of. science 2000, 288, 1230–1230. [Google Scholar] [CrossRef] [PubMed]
- Auteri, Franco, et al. Experimental assessment of drag reduction by traveling waves in a turbulent pipe flow. Physics of Fluids 2010, 22, 115103. [Google Scholar] [CrossRef]
- Lieu, Binh K, Rashad Moarref, and Mihailo R. Jovanović. Controlling the onset of turbulence by streamwise travelling waves. Part 2. Direct numerical simulation. Journal of Fluid Mechanics 2010, 663, 100–119. [Google Scholar] [CrossRef]
- Moarref, Rashad, and Mihailo R. Jovanović. Controlling the onset of turbulence by streamwise travelling waves. Part 1. Receptivity analysis. Journal of fluid mechanics 2010, 663, 70–99. [Google Scholar] [CrossRef]
- Rathnasingham, Ruben, and Kenneth S. Breuer. Active control of turbulent boundary layers. Journal of Fluid Mechanics 2003, 495, 209–233. [Google Scholar] [CrossRef]
- Willis, Ashley P, Yongyun Hwang, and Carlo Cossu. Optimally amplified large-scale streaks and drag reduction in turbulent pipe flow. Physical Review E—Statistical, Nonlinear, and Soft Matter Physics 2010, 82, 036321. [Google Scholar] [CrossRef] [PubMed]
- Min, Taegee, et al. Sustained sub-laminar drag in a fully developed channel flow. Journal of Fluid Mechanics 2006, 558, 309–318. [Google Scholar] [CrossRef]
- Scarselli, D, Lopez, J. M, Varshney, A, & Hof, B. Turbulence suppression by cardiac-cycle-inspired driving of pipe flow. Nature 2023, 621, 71–74. [Google Scholar] [CrossRef] [PubMed]
- Cheng, Z, et al. Forcing frequency effects on turbulence dynamics in pulsatile pipe flow. International Journal of Heat and Fluid Flow 2020, 82, 108538. [Google Scholar] [CrossRef]
- Varghese, Sonu S, Steven H. Frankel, and Paul F. Fischer. Direct numerical simulation of stenotic flows. Part 2. Pulsatile flow. Journal of Fluid Mechanics 2007, 582, 281–318. [Google Scholar] [CrossRef]
- Xiao, Bin, and Yuwen Zhang. "Numerical simulation of pulsatile turbulent flow in tapering stenosed arteries." International journal of numerical methods for heat & fluid flow 19.5 (2009): 561-573.
- Yan, B. H. "Analysis of laminar to turbulent transition of pulsating flow in ocean environment with energy gradient method." Annals of nuclear energy 38.12 (2011): 2779-2786.
- Semlitsch, Bernhard, Yue Wang, and Mihai Mihǎescu. Flow effects due to pulsation in an internal combustion engine exhaust port. Energy conversion and management 2014, 86, 520–536. [Google Scholar] [CrossRef]
- Scotti, Alberto, and Ugo Piomelli. Numerical simulation of pulsating turbulent channel flow. Physics of Fluids 2001, 13, 1367–1384. [Google Scholar] [CrossRef]
- Scotti, Alberto, and Ugo Piomelli. Turbulence models in pulsating flows. AIAA journal 2002, 40, 537–544. [Google Scholar] [CrossRef]
- Wang, X. "Investigation on the turbulence characteristics in the near field of round jet flow with DNS, RANS and LES. " ZJU(2010): 5-6.
- SHI S K, HUANG X C, RAO Z Q, et al. Study on force spectrum characteristics of a pump-jet under inflow turbulence. Chinese Journal of Ship Research 2022, 17, 1–C10. [Google Scholar]
- Yu, Y. Q, A. Bergeron, and J. R. Licht. Numerical simulation of involute-plate research reactor flow behavior using RANS, LES and DNS. Annals of Nuclear Energy 2024, 207, 110709. [Google Scholar] [CrossRef]








Disclaimer/Publisher’s Note: The statements, opinions and data contained in all publications are solely those of the individual author(s) and contributor(s) and not of MDPI and/or the editor(s). MDPI and/or the editor(s) disclaim responsibility for any injury to people or property resulting from any ideas, methods, instructions or products referred to in the content. |
© 2024 by the authors. Licensee MDPI, Basel, Switzerland. This article is an open access article distributed under the terms and conditions of the Creative Commons Attribution (CC BY) license (http://creativecommons.org/licenses/by/4.0/).