Preprint
Communication

This version is not peer-reviewed.

A High-Gain Broadband Circularly Polarized Crossed Dipole Antenna

A peer-reviewed article of this preprint also exists.

Submitted:

17 July 2024

Posted:

17 July 2024

You are already at the latest version

Abstract
A high-gain broadband circularly polarized crossed dipole antenna is designed. This antenna utilizes two pairs of cross dipoles and a pair of phase delay lines to form circularly polarized radiation. Open-circuit stubs are loaded on the four arms of these two pairs of cross dipoles to introduce new circularly polarized resonating frequency. A rectangular ring patch is introduced directly below the cross dipoles to form the third circularly polarized resonating frequency, thereby broadening the axial ratio bandwidth of the antenna. In addition, metal posts are loaded at the four right angles of the rectangular ring patch to increase the antenna gain. Measurement results show that the antenna achieves a 3dB axial ratio bandwidth of 29.2% (1.9 GHz-2.55 GHz) and maintains a gain of 7.5 dB within the passband, exhibiting good circularly polarized radiation performance.
Keywords: 
;  ;  ;  

1. Introduction

Circularly polarized antennas have advantages such as reducing polarization mismatch, resisting multipath interference, and suppressing the Faraday rotation effect. Therefore, circularly polarized antennas are widely used in various wireless communication systems, including global positioning systems (GPS) [1], wireless local area networks (WLAN) [2,3,4], satellite communication systems [5,6], etc. With the development of modern wireless communication, how to improve the axial ratio bandwidth and gain of circularly polarized antennas has become an urgent problem to be solved.
Traditional methods for achieving circularly polarized radiation include corner truncation, surface slotting, and adding parasitic elements, but the axial ratio bandwidth of antennas designed by these methods generally does not exceed 5% [7,8,9]. In 2008, a new type of printed cross dipole antenna proposed by Baik et al. received widespread attention [10]. This antenna uses a pair of printed three-quarter circular rings to create a 90° phase difference between two pairs of dipoles, forming a circular polarization frequency and achieving an axial ratio bandwidth of 15.6%. By changing the shape of the dipoles, these antennas achieved 27%, 26.4%, 25.3%, and 23.2% axial ratio bandwidths, respectively [11,12,13,14]. And the average gains of theses antennas are 6.8 dB, 8 dB, 7 dB, and 7.1 dB within the passband, respectively. By adding parasitic elements, the axial ratio bandwidth of these antennas reached 22.89%, with an average gain of 7.6 dB [15]. The antenna designed in [11] achieved a wide circularly polarized bandwidth, but the gain within the passband was 6.8 dB; the antennas designed in articles [12,13,14,15] achieved high gains but did not achieve wide circularly polarized bandwidths. However, the above antennas can not simultaneously achieve wide axial ratio bandwidth and high gain.
To simultaneously achieve wide axial ratio bandwidth and high gain, this paper proposes a high-gain broadband circularly polarized crossed dipole antenna. Utilizing two pairs of crossed dipoles and a pair of three-quarter circular rings forms the first circularly polarized resonating frequency. Subsequently, open-circuit stubs are loaded on the four arms of these two pairs of crossed dipoles to introduce new circularly polarized resonating frequency. Finally, a rectangular ring patch is printed on the substrate directly below the crossed dipoles to form the third circularly polarized resonating frequency, thereby broadening the axial ratio bandwidth of the antenna. It is worth noting that loading metal posts at the four right angles of the rectangular ring patch can increase the antenna gain. The results show that the antenna achieves a 3 dB axial ratio bandwidth of 29.2% (1.9GHz-2.55GHz) and maintains a gain of 7.5 dB within the passband, exhibiting good circularly polarized radiation performance.

2. ANTENNA DESIGN

2.1. Antenna Configuration

The configuration of the proposed circularly polarized crossed dipole antenna is shown in Figure 1. This antenna is consist of three layers of dielectric substrates. A square ground plane ( S 1 x S 1 ) is printed on the back surface of the bottom layer ( tan δ = 0.02 , ε r = 4.4 ) with height of h1. A rectangular metal ring patch ( W 4 , S 3 x S 3 ) is printed on the upper surface of the middle layer ( tan δ = 0.02 , ε r = 4.4 ) with height of h3. In addition, four metal posts ( r 3 , h 3 + h 4 ) are loaded at the four right angles of the rectangular ring patch, forming a square cavity structure, then suppressing surface waves and improving the gain of the antenna. Meanwhile, two pairs of cross dipole arms ( L 1 , W 1 , L 2 , W 2 , L 4 ) with open-circuit branches ( L 3 x W 3 ) are printed on both the upper and lower surfaces of the top layer ( tan δ = 0.0025 , ε r = 3.38 ) with a thickness of h1. And the two pairs of cross dipole arms are connected by the phase delay lines ( r 1 , r 2 ) to provide a 90° phase difference, achieving circular polarization radiation.

2.2. Step-by-Step Design Process

Figure 2 shows the design process of the antenna. Ant.I is designed basing on the traditional cross dipoles. In Ant.II, open-circuit branches are loaded on each dipole arm. In Ant.III, the dipole arm is improved to a windmill shape, and a dielectric substrate is added between the cross dipole arms and the ground plane. A rectangular ring metal patch is printed on the upper surface of this dielectric substrate, with metal posts loaded at the four right angles of the rectangular ring metal patch.
To reveal the mechanism of the proposed antenna, the S 11 , AR, and gain results of Ant.I, Ant.II and Ant.III are shown in Figure 3. It can be seen that the impedance bandwidth of Ant.I is 45.3% (1.79 GHz-2.84 GHz), and only a circularly polarized resonating frequency is produced. The 3dB axial ratio bandwidth is 14.7% (2.01 GHz-2.33 GHz). By loading open-circuit branches on each dipole arm in Ant.II, a new circularly polarized resonant frequency is introduced. And axial ratio bandwidth are broadened to 29% (2.44GHz-3.27GHz), respectively. The rectangular ring metal patch introduced in Ant.III also generates a circularly polarized resonant frequency. And the axial ratio bandwidth is further improved 30.5% (1.89GHz-2.57GHz). Moreover, four metal posts are loaded at the four right angles of the rectangular ring patch in Ant.III, a square cavity structure is formed, then surface waves are suppressed and the gain of Ant.III is increased about 1.5 dB compared to Ant.I, and Ant.II. Finally, the high-gain and broadband circularly polarized performance are realized. It should be mentioned that, the resonant frequency of the rectangular ring metal patch can be calculated by the empirical formula [16]:
f 11 = c 2 ( l 1 + l 2 ) × ( 1 + ε r 2 ε r ) 1 / 2 ,
wherein, c is the speed of light in free space, 2( l 1 + l 2 ) is the average circumference of the ring antenna, and f 11 is the fundamental mode of the square ring antenna [16].

2.3. Surface Current Analysis

The current distribution at T/4 and T/2 on the cross dipole and the rectangular ring metal patch at the three circularly polarized resonating frequencies of 2.01 GHz, 2.33 GHz, and 2.51 GHz are shown in Figure 4. The direction of the current is marked with black arrows. It can be seen that, the main current distribution at 2.01 GHz is on the cross dipole arms and rotating counterclockwise. Which indicates that the radiation of this operating frequency is a right-hand circularly polarized wave (RHCP). Similarly, the current at 2.33 GHz is mainly distributed on the loaded open-circuit branches, while the current at 2.51 GHz is mainly distributed on the rectangular ring patch. The current distributions show the three circularly polarized resonating frequencies are generating by the cross dipole, the loaded open-circuit branches and the rectangular ring patch, respectively. And all the three circularly polarized resonating frequencies are showing RHCP performance. Thus the broadband circularly polarized performance can be realized.

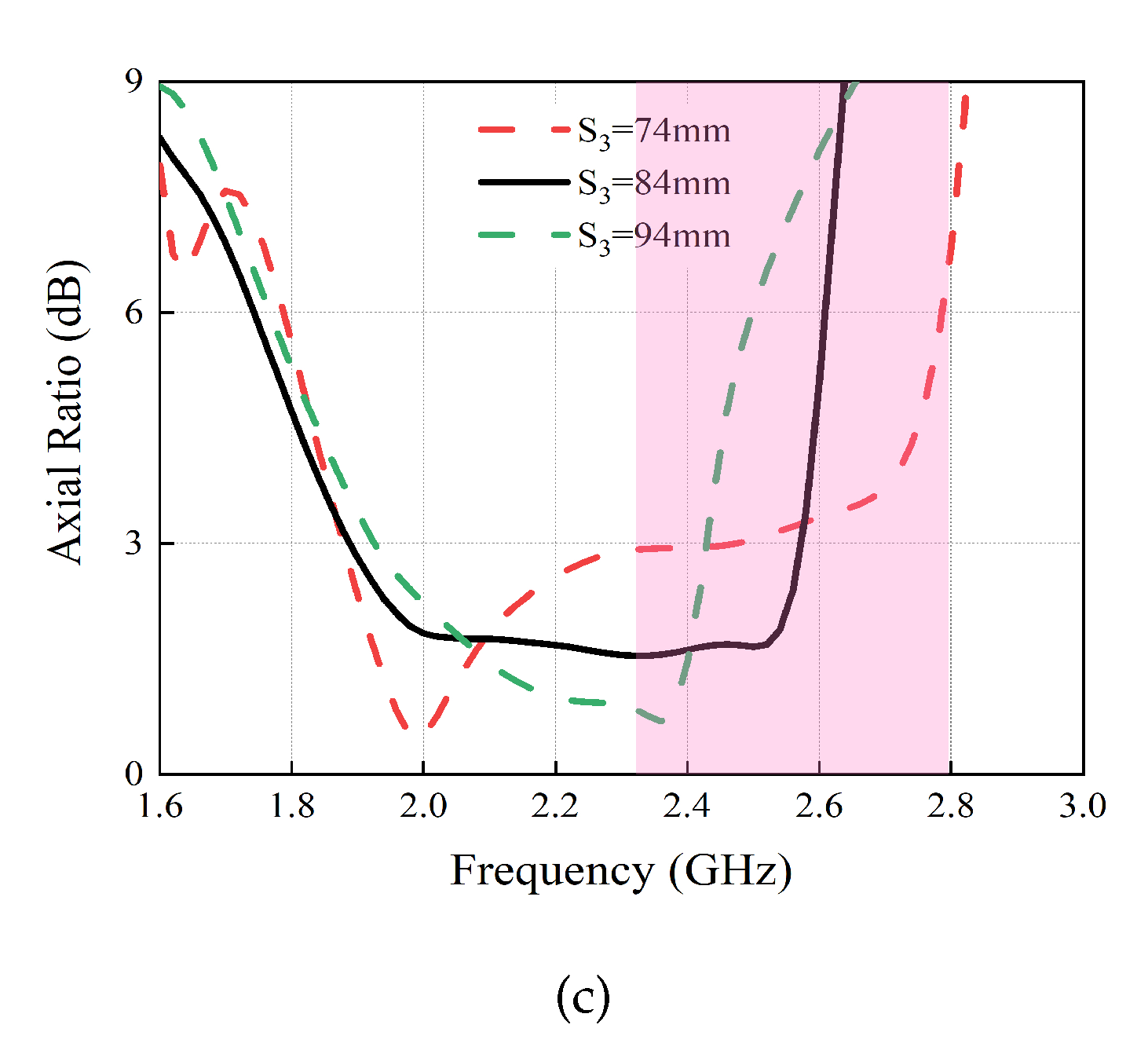
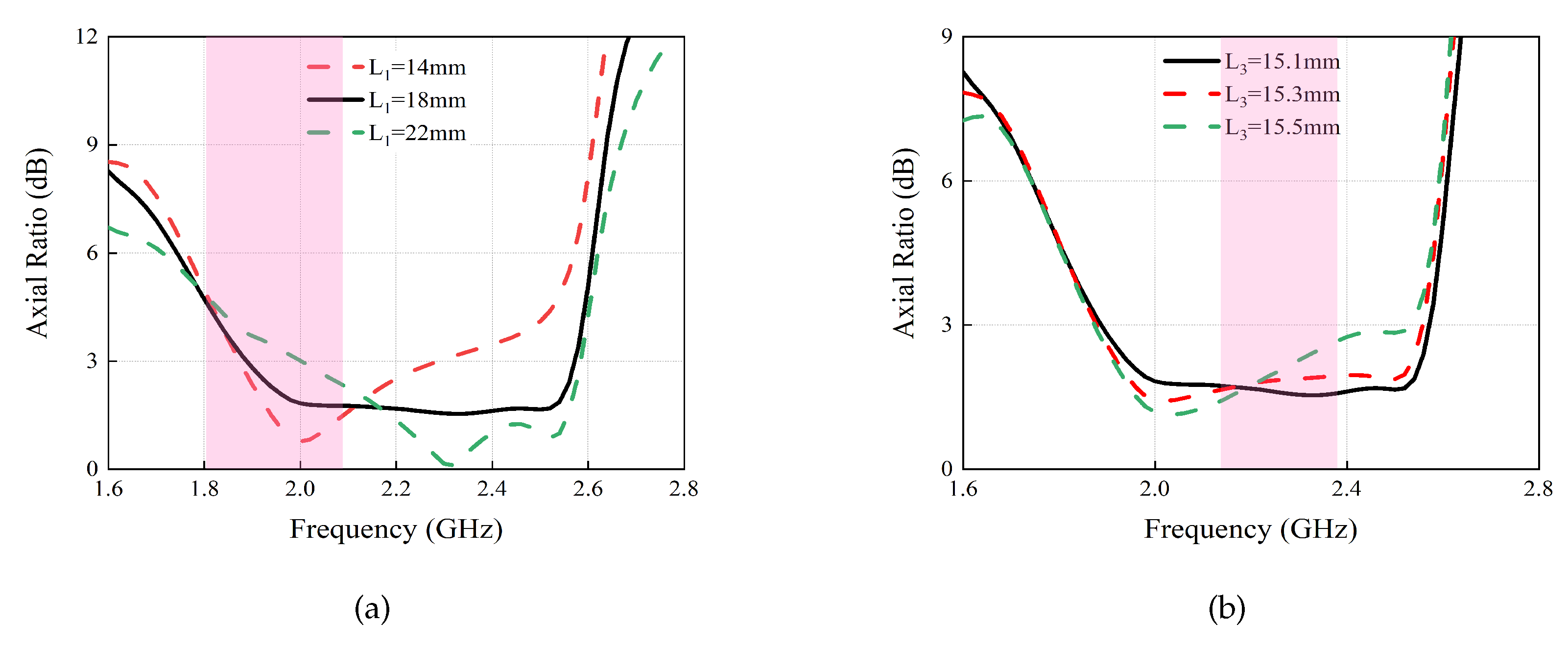
2.4. Antenna Parameter Analysis

To validate the aforementioned analysis, Figure illustrates the primary parameter influences on the axial ratio of the proposed antenna. Initially, the impact of the crossed dipole arm length ( L 1 ) on antenna performance is examined. Observations indicate that adjusting L 1 leads to a shift in the circularly polarized resonating frequency at 2.01 GHz, while the other two resonant frequencies at 2.33 GHz and 2.51 GHz remain unchanged. This confirms that the operating frequency is generated by the cross dipole arms. Next, the effect of the loaded open-circuit stub length ( L 3 ) is examined. It is found that the operating frequency at 2.33 GHz shifts towards higher frequencies when L 3 is shortened and towards lower frequencies when L 3 is elongated. The other two frequencies remain stable, verifying that this particular operating frequency is produced by the loaded open-circuit stubs. Lastly, the influence of the rectangular ring metal patch length ( S 3 ) on antenna performance is assessed. Results show that this parameter significantly affects the operating frequency at 2.51 GHz, confirming that this frequency is generated by the rectangular ring patch. The antenna parameters are optimized using H F S S 19.2. Optimal circularly polarized performance is achieved when L 1 = 18 mm, S 3 = 84 mm, L 3 = 15.1 mm.
Figure 5. Simulation axial ratio plots for Antenna Ant.III with varying lengths of the dipole arm L 1 , the open stub L 3 , and the rectangular ring metal patch S 3 . (a) L 1 . (b) L 3 . (c) S 3 .
Figure 5. Simulation axial ratio plots for Antenna Ant.III with varying lengths of the dipole arm L 1 , the open stub L 3 , and the rectangular ring metal patch S 3 . (a) L 1 . (b) L 3 . (c) S 3 .
Preprints 112451 g005aPreprints 112451 g005b

3. Antenna Design

To address the advantages of the proposed work, the performances comparison of the relevant circularly polarized antenna are listed in Table 1. It can be seen that the proposed antenna has both broadband and high gain performances.
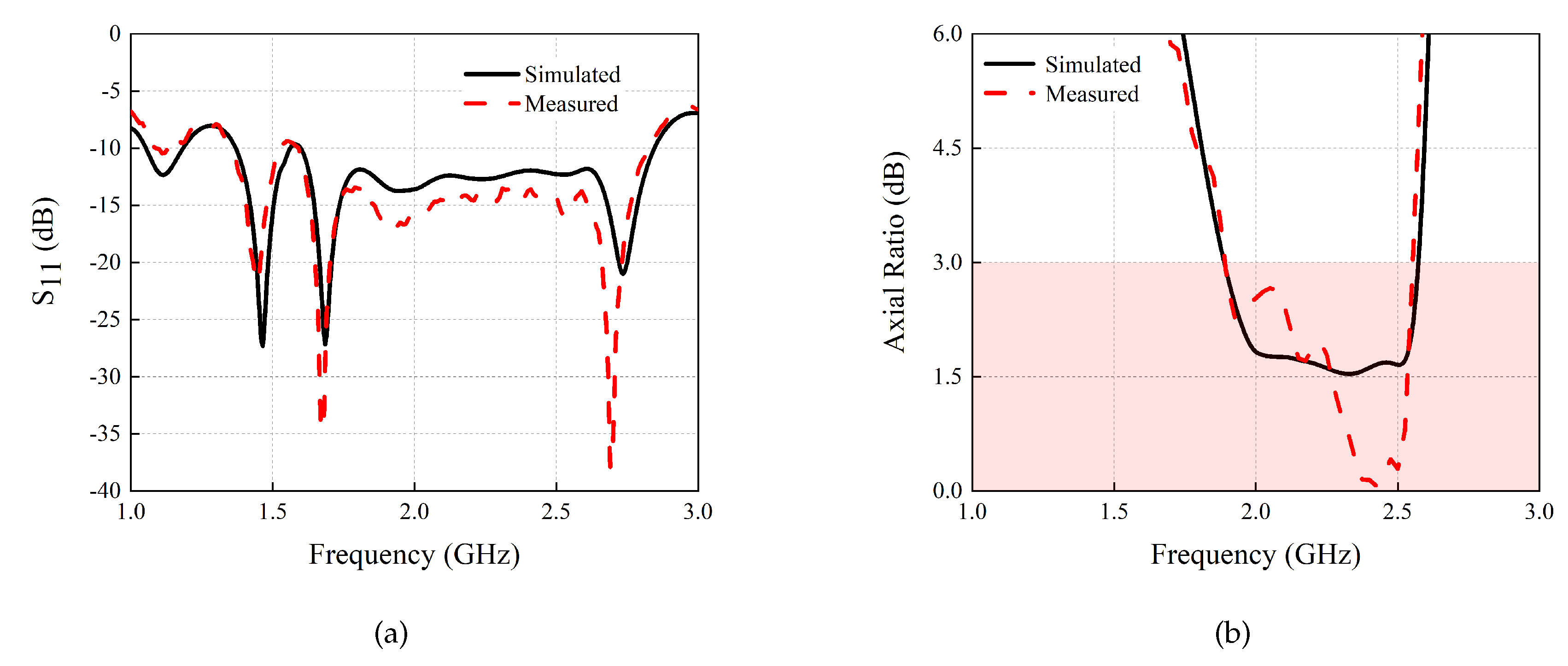
The proposed broadband circularly polarized crossed dipole antenna has been fabricated and tested. The S-parameters were measured using an Agilent N5227A vector network analyzer, while the axial ratio (AR), gain, and radiation pattern results were obtained with a Satimo system. Figure displays the simulated and measured S-parameters, axial ratio, and realized gain. It is evident that the simulation impedance bandwidth of -10 dB spans 56.1% (1.60 GHz to 2.85 GHz). The antenna’s 3 dB axial ratio bandwidth is 30.5% (1.89 GHz to 2.57 GHz), with a consistent gain of 8.1 dB within the passband. The measured impedance bandwidth of -10 dB is 44.5% (1.78 GHz to 2.80 GHz). The 3 dB axial ratio bandwidth is 29.2% (1.9 GHz to 2.55 GHz), and the gain within the passband is maintained at 7.5 dB. When compared to the simulation results, the impedance bandwidth remains largely unchanged. However, the gain in the passband is reduced by approximately 0.6 dB, which can be attributed to fabrication and testing inaccuracies. The normalized radiation patterns of the proposed antenna at 1.9 GHz, 2.225 GHz, and 2.55 GHz are illustrated in Figure 8. These patterns show a strong agreement between simulation and measurement results. The antenna’s primary radiation direction is stable throughout the entire operational bandwidth. In the radiation direction, the strength of the main polarization field (right circular polarization) is approximately 20 dB stronger than the cross-polarization field (left circular polarization). This confirms that the antenna exhibits effective right circular polarization.
Figure 6. Simulation and measured results of the antenna. (a) S 11 . (b) AR. (c) Gain.
Figure 6. Simulation and measured results of the antenna. (a) S 11 . (b) AR. (c) Gain.
Preprints 112451 g006aPreprints 112451 g006b
Figure 7. Photographs of the fabricated Antenna. (a) Top view. (b) Side view.
Figure 7. Photographs of the fabricated Antenna. (a) Top view. (b) Side view.
Preprints 112451 g007
Figure 8. Radiation patterns of the proposed antenna at (a) 1.9 GHz and (b) 2.225 GHz (black lines: simulation, red lines: measurement).
Figure 8. Radiation patterns of the proposed antenna at (a) 1.9 GHz and (b) 2.225 GHz (black lines: simulation, red lines: measurement).
Preprints 112451 g008
Table 1 summarizes a performance comparison of relevant circularly polarized antennas, highlighting the advantages of the proposed design. Notably, the proposed antenna offers both broadband capabilities and high gain performance.

4. Conclusions

The high-gain broadband circularly polarized cross dipole antenna has been proposed. The antenna employs two pairs of cross dipoles and a pair of three-quarter rings to generate circular polarization radiation. By loading open-circuit branches onto the four arms of the two pairs of crossed dipoles, a new circular polarization radiation frequency is introduced. A rectangular ring patch placed directly beneath the crossed dipoles creates a third axial ratio frequency, effectively enhancing the axial ratio bandwidth of the antenna. Metal posts positioned at the four right angles of the rectangular ring patch serve to boost the antenna’s gain. Experimental results reveal that the antenna’s 3 dB axial ratio bandwidth spans 29.2% (1.9 GHz to 2.55 GHz), with a consistent gain of 7.5 dB throughout the passband, demonstrating good circular polarization radiation characteristics. Consequently, the proposed antenna holds significant potential for applications in wireless communication systems.

Author Contributions

Conceptualization, C.P.L.; Validation, W.Y.L.; Software, W.Y.L.; Project administration, X.J.L.; Supervision, X.J.L. All authors have read and agreed to the published version of the manuscript.

Funding

This work was supported by the College Student Innovation and Entrepreneurship Training Program Project under Grant 202411819058. (Corresponding author: X.J.L.).

Data Availability Statement

Not applicable.

Conflicts of Interest

The authors declare no conflict of interest.

References

  1. Chen, Hua-Ming and Wang, Yang-Kai and Lin,Yi-Fang and Lin,Che-Yen and Pan, Shan-Cheng,T. Microstrip-Fed Circularly Polarized Square-Ring Patch Antenna for GPS Applications. IEEE Transactions on Antennas and Propagation 2009, 4, 1264–1267. [CrossRef]
  2. Tan, Ming-Tao and Wang, Bing-Zhong, T. A Dual-Band Circularly Polarized Planar Monopole Antenna for WLAN/Wi-Fi Applications. IEEE Antennas and Wireless Propagation Letters 2016, 670–673. [CrossRef]
  3. Narbudowicz, Adam and John, Matthias and Sipal,Vitand Bao,Xiulong and Ammann,Max J.,T Design Method for Wideband Circularly Polarized Slot Antennas. IEEE Transactions on Antennas and Propagation 2015, 10, 4271–4279. [CrossRef]
  4. Ge, Lei and Li, Mingjian and Li,Yujian and Wong,Hang and Luk,Kwai-Man, T. Linearly Polarized and Circularly Polarized Wideband Dipole Antennas With Reconfigurable Beam Direction. IEEE Transactions on Antennas and Propagation 2018, 4, 1747–1755. [CrossRef]
  5. Hasani, Hamed and Silva, Joana S. and Capdevila, Santiago and García-Vigueras, María and Mosig, Juan R., T. Dual-Band Circularly Polarized Transmitarray Antenna for Satellite Communications at (20, 30) GHz. IEEE Transactions on Antennas and Propagation 2019, 8, 5325–5333. [CrossRef]
  6. So, Kwok Kan and Wong, Hang and Luk, Kwai Man and Chan,Chi Hou, T. Miniaturized Circularly Polarized Patch Antenna With Low Back Radiation for GPS Satellite Communications. IEEE Transactions on Antennas and Propagation 2015 12, 5934–5938. [CrossRef]
  7. Lin, Quan Wei and Wong, Hang and Zhang, Xiu Yin and Lai, Hau Wah, T. Printed Meandering Probe-Fed Circularly Polarized Patch Antenna With Wide Bandwidth. IEEE Antennas and Wireless Propagation Letters 2014, 654–657. [CrossRef]
  8. Yang F.and Xue-Xia Zhang and Xiaoning Ye and Rahmat-Samii, Y., T. Wide-band E-shaped patch antennas for wireless communications. IEEE Transactions on Antennas and Propagation 2001 7, 1094–1100. [CrossRef]
  9. Dai Wen-Juan and Huang, Zhi-Fang T. A broadband circularly polarized stacked microstrip patch antenna with parasitic elements. International Journal of RF and Microwave Computer-Aided Engineering 2021 11, e22842. [CrossRef]
  10. J-W. Baik and K.-J. Lee and W.-S. Yoon and T.-H. Lee and Y.-S. Kim T. Circularly polarised printed crossed dipole antennas with broadband axial ratio. Electronics Letters 2008 6, 785–786. [CrossRef]
  11. He, Yejun and He, Wei and Wong, Hang, T. A Wideband Circularly Polarized Cross-Dipole Antenna. IEEE Antennas and Wireless Propagation Letters 2014, 67–70. [CrossRef]
  12. Elsaid, Mohamed and Mahmoud, Korany R. and Hussein, Mohamed and Hameed, Mohamed F. O. and Yahia, Ashraf and Obayya, Salah S. A., T. Ultra-wideband circularly polarized crossed-dual-arm bowtie dipole antenna backed by an artificial magnetic conductor. Microwave and Optical Technology Letters 2019, 12, 2801–2810. [CrossRef]
  13. He, Wei and He, Yejun and Zhang, Long and Wong, Sai-Wai, T. An Improved Broadband Circularly Polarized Cross-Dipole Antenna With An AMC Reflector. 2019 IEEE International Conference on Microwaves, Antennas, Communications and Electronic Systems (COMCAS) 2019, 1–3. [CrossRef]
  14. Chen Qiang and Zhang Hou and Yang, Lu-Chun and Zhong, Tao, T. A metasurface-based slit-loaded wideband circularly polarized crossed dipole antenna. International Journal of RF and Microwave Computer-Aided Engineering 2018, 1, e21173. [CrossRef]
  15. Saurav, Kushmanda and Sarkar, Debdeep and Srivastava, Kumar Vaibhav, T. 2017 XXXIInd General Assembly and Scientific Symposium of the International Union of Radio Science (URSI GASS). Wide-band circularly polarized cavity backed crossed dipole antenna 2017, 1–4. [CrossRef]
  16. Ding, Kang and Gao, Cheng and Qu, Dexin and Yin, Qin, T. Compact Broadband Circularly Polarized Antenna With Parasitic Patches. IEEE Transactions on Antennas and Propagation 2017, 9, 4854–4857. [CrossRef]
Figure 1. A High-Gain Broadband Circularly Polarized Crossed Dipole Antenna. (a) Top view. (b) Side view.( S 1 = 120 , S 2 = 90.4 , S 3 = 84 , W 1 = 10 , W 2 = 6 , W 3 = 6.5 , W 4 = 2 , L 1 = 18 , L 2 = 17.8 , L 3 = 15.1 , L 4 = 7.2 , h 1 = 0.8 , h 2 = 1 , h 3 = 2 , h 4 = 41 , r 0 = 0.46 , r 1 = 5 , r 2 = 5.5 , q = 2.3 , all in mm).
Figure 1. A High-Gain Broadband Circularly Polarized Crossed Dipole Antenna. (a) Top view. (b) Side view.( S 1 = 120 , S 2 = 90.4 , S 3 = 84 , W 1 = 10 , W 2 = 6 , W 3 = 6.5 , W 4 = 2 , L 1 = 18 , L 2 = 17.8 , L 3 = 15.1 , L 4 = 7.2 , h 1 = 0.8 , h 2 = 1 , h 3 = 2 , h 4 = 41 , r 0 = 0.46 , r 1 = 5 , r 2 = 5.5 , q = 2.3 , all in mm).
Preprints 112451 g001
Figure 2. Reference antenna structure diagrams. (a) Ant.I. (b) Ant.II. (c) Ant.III.
Figure 2. Reference antenna structure diagrams. (a) Ant.I. (b) Ant.II. (c) Ant.III.
Preprints 112451 g002
Figure 3. Results of Reference antenna. (a) S 11 . (b) AR. (c) Gain.
Figure 3. Results of Reference antenna. (a) S 11 . (b) AR. (c) Gain.
Preprints 112451 g003
Figure 4. Current distribution of the antenna from 90 degrees to 180 degrees at 2.01 GHz, 2.33 GHz, and 2.51 GHz respectively (a) 2.01 GHz (b) 2.33 GHz (c) 2.51 GHz.
Figure 4. Current distribution of the antenna from 90 degrees to 180 degrees at 2.01 GHz, 2.33 GHz, and 2.51 GHz respectively (a) 2.01 GHz (b) 2.33 GHz (c) 2.51 GHz.
Preprints 112451 g004
Table 1. Comparison of the proposed and reported CP cross-dipole antennas.
Table 1. Comparison of the proposed and reported CP cross-dipole antennas.
Reference S 11 BW(%) AR BW(%) Overlapping
BW(%)
Average
Gain(dB)
[11] 50.2 27 53.7 6.8
[12] 50.5 26.4 52.2 8
[13] 47.3 25.3 53.4 7
[14] 31.6 23.2 73.4 7.1
[15] 64.6 22.89 35.4 7.6
Proposed 55.2 29.2 52.9 7.5
Disclaimer/Publisher’s Note: The statements, opinions and data contained in all publications are solely those of the individual author(s) and contributor(s) and not of MDPI and/or the editor(s). MDPI and/or the editor(s) disclaim responsibility for any injury to people or property resulting from any ideas, methods, instructions or products referred to in the content.
Copyright: This open access article is published under a Creative Commons CC BY 4.0 license, which permit the free download, distribution, and reuse, provided that the author and preprint are cited in any reuse.
Prerpints.org logo

Preprints.org is a free preprint server supported by MDPI in Basel, Switzerland.

Subscribe

Disclaimer

Terms of Use

Privacy Policy

Privacy Settings

© 2026 MDPI (Basel, Switzerland) unless otherwise stated