Submitted:
16 July 2024
Posted:
16 July 2024
You are already at the latest version
Abstract
Keywords:
1. Introduction
2. Materials and Methods
2.1. Design and Participants
2.2. Sample Collection and Genotyping
2.3. Data Collection
2.4. Statistical Analysis
3. Results
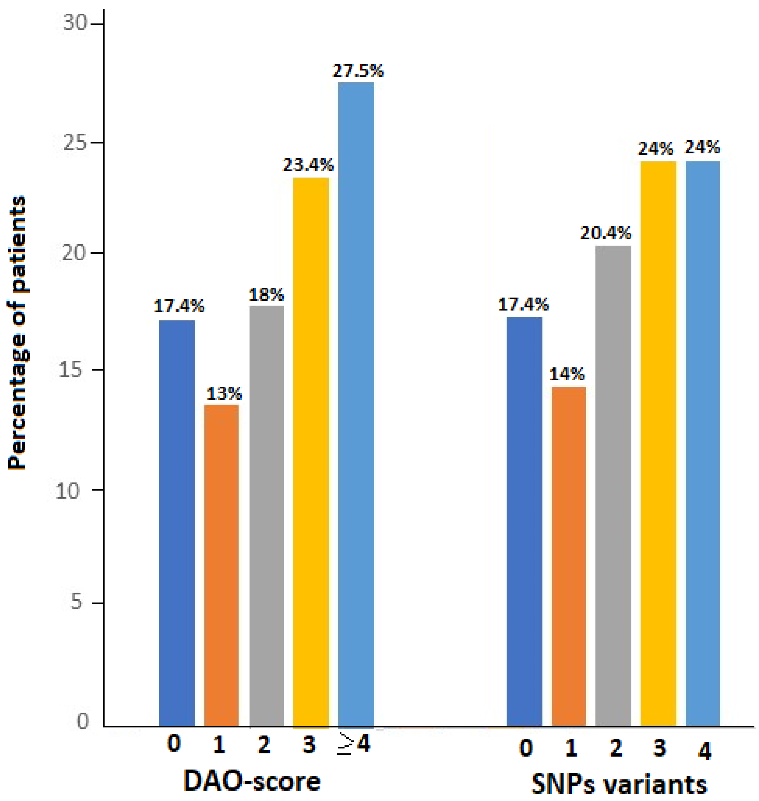
3.1. General Characteristics of Patients, Prevalence of DAO Deficiency, and SNPs Variants
3.2. DAO Deficiency and DAO-Score in Relation to the Study Variables

3.3. Type and Number of SNPs Variants in Relation to the Study Variables
3.4. Predictive Variables of Insomnia-Related Symptoms and SNPs Variants
4. Discussion
5. Conclusions
Supplementary Materials
Author Contributions
Funding
Institutional Review Board Statement
Informed Consent Statement
Data Availability Statement
Acknowledgments
Conflicts of Interest
References
- Sateia, M.J. International classification of sleep disorders-third edition: highlights and modifications. Chest 2014, 146, 1387–1394. [Google Scholar] [CrossRef]
- Ohayon, M.M. Epidemiology of insomnia: what we know and what we still need to learn. Sleep Med Rev 2002, 6, 97–111. [Google Scholar] [CrossRef]
- Riemann, D.; Baglioni, C.; Bassetti, C.; Bjorvatn, B.; Dolenc Groselj, L.; Ellis, J.G.; Espie, C.A.; Garcia-Borreguero, D.; Gjerstad, M.; Gonçalves, M.; et al. European guideline for the diagnosis and treatment of insomnia. J Sleep Res 2017, 26, 675–700. [Google Scholar] [CrossRef]
- Torrens, I.; Argüelles-Vázquez, R.; Lorente-Montalvo, P.; Molero-Alfonso, C.; Esteva, M. Prevalence of insomnia and characteristic of patients with insomnia in a health area of Majorca (Spain). Aten Primaria 2019, 51, 617–625. [Google Scholar] [CrossRef]
- Roth, T. Insomnia: definition, prevalence, etiology, and consequences. J Clin Sleep Med 2007, 3 (Suppl 5), S7–S10. [Google Scholar] [CrossRef]
- Barbry, P.; Simon-Bouy, B.; Mattéi, M.G.; Le Guern, E.; Jaume-Roig, B.; Chassande, O.; Ullrich, A.; Lazdunski, M. Localization of the gene for amiloride binding protein on chromosome 7 and RFLP analysis in cystic fibrosis families. Hum Genet 1990, 85, 587–589. [Google Scholar] [CrossRef]
- Chassande, O.; Renard, S.; Barbry, P.; Lazdunski, M. The human gene for diamine oxidase, an amiloride binding protein. Molecular cloning, sequencing, and characterization of the promoter. J Biol Chem 1994, 269, 14484–1449. [Google Scholar] [CrossRef]
- Novotny, W.F.; Chassande, O.; Baker, M.; Lazdunski, M.; Barbry, P. Diamine oxidase is the amiloride-binding protein and is inhibited by amiloride analogues. J Biol Chem 1994, 269, 9921–9925. [Google Scholar] [CrossRef]
- Schwelberger, H.G.; Bodner, E. Purification and characterization of diamine oxidase from porcine kidney and intestine. Biochim Biophys Acta 1997, 1340, 152–164. [Google Scholar] [CrossRef]
- Schwelberger, H.G.; Hittmair, A.; Kohlwein, S.D. Analysis of tissue and subcellular localization of mammalian diamine oxidase by confocal laser scanning fluorescence microscopy. Inflamm Res 1998, 47 (Suppl 1), S60–S61. [Google Scholar] [CrossRef]
- Comas-Basté, O.; Sánchez-Pérez, S.; Veciana-Nogués, M.T.; Latorre-Moratalla, M.; Vidal-Carou, M.D.C. Histamine intolerance: The current state of the art. Biomolecules 2020, 10, 1181. [Google Scholar] [CrossRef]
- Maintz, L.; Yu, C.F.; Rodríguez, E.; Baurecht, H.; Bieber, T.; Illig, T.; Weidinger, S.; Novak, N. Association of single nucleotide polymorphisms in the diamine oxidase gene with diamine oxidase serum activities. Allergy 2011, 66, 893–902. [Google Scholar] [CrossRef]
- van Odijk, J.; Weisheit, A.; Arvidsson, M.; Miron, N.; Nwaru, B.; Ekerljung, L. The use of DAO as a marker for histamine intolerance: measurements and determinants in a large random population-based survey. Nutrients 2023, 15, 2887. [Google Scholar] [CrossRef]
- Ayuso, P.; García-Martín, E.; Martínez, C.; Agúndez, J.A. Genetic variability of human diamine oxidase: occurrence of three nonsynonymous polymorphisms and study of their effect on serum enzyme activity. Pharmacogenet Genomics 2007, 17, 687–693. [Google Scholar] [CrossRef] [PubMed]
- García-Martín, E.; Ayuso, P.; Martínez, C.; Agúndez, J.A. Improved analytical sensitivity reveals the occurrence of gender-related variability in diamine oxidase enzyme activity in healthy individuals. Clin Biochem 2007, 40, 1339–1341. [Google Scholar] [CrossRef] [PubMed]
- Izquierdo-Casas, J.; Comas-Basté, O.; Latorre-Moratalla, M.L.; Lorente-Gascón, M.; Duelo, A.; Vidal-Carou, M.C.; Soler-Singla, L. Low serum diamine oxidase (DAO) activity levels in patients with migraine. J Physiol Biochem 2018, 74, 93–99. [Google Scholar] [CrossRef] [PubMed]
- Blasco-Fontecilla, H.; Bella-Fernández, M.; Wang, P.; Martin-Moratinos, M.; Li, C. Prevalence and clinical picture of diamine oxidase gene variants in children and adolescents with attention deficit hyperactivity disorder: A pilot study. J Clin Med 2024, 13, 1659. [Google Scholar] [CrossRef] [PubMed]
- Okutan, G.; Ruiz Casares, E.; Perucho Alcalde, T.; Sánchez Niño, G.M.; Penadés, B.F.; Terrén Lora, A.; Torrente Estríngana, L.; et al. Prevalence of genetic diamine oxidase (DAO) deficiency in female patients with fibromyalgia in Spain. Biomedicines 2023, 11, 660. [Google Scholar] [CrossRef]
- Tiseo, C.; Vacca, A.; Felbush, A.; Filimonova, T.; Gai, A.; Glazyrina, T.; Hubalek, I.A.; Marchenko, Y.; Overeem, L.H.; Piroso, S.; et al. Migraine and sleep disorders: a systematic review. J Headache Pain 2020, 21, 126. [Google Scholar] [CrossRef] [PubMed]
- Becker, S.P. ADHD and sleep: Recent advances and future directions. Curr Opin Psychol 2020, 34, 50–56. [Google Scholar] [CrossRef]
- Spaeth, M.; Rizzi, M.; Sarzi-Puttini, P. Fibromyalgia and sleep. Best Pract Res Clin Rheumatol 2011, 25, 227–239. [Google Scholar] [CrossRef] [PubMed]
- Thakkar, M.M. Histamine in the regulation of wakefulness. Sleep Med Rev 2011, 15, 65–74. [Google Scholar] [CrossRef]
- Vande Griend, J.P.; Anderson, S.L. Histamine-1 receptor antagonism for treatment of insomnia. J Am Pharm Assoc (2003) 2012, 52, e210-9. [Google Scholar] [CrossRef]
- Stahl, S.M. Selective histamine H1 antagonism: novel hypnotic and pharmacologic actions challenge classical notions of antihistamines. CNS Spectr 2008, 13, 1027–1038. [Google Scholar] [CrossRef]
- Scammell, T.E.; Jackson, A.C.; Franks, N.P.; Wisden, W.; Dauvilliers, Y. Histamine: neural circuits and new medications. Sleep 2019, 42, zsy183. [Google Scholar] [CrossRef] [PubMed]
- Ponce Díaz-Reixa, J.; Aller Rodríguez, M.; Martínez Breijo, S.; Suanzes Hernández, J.; Ruiz Casares, E.; Perucho Alcalde, T.; Bohorquez Cruz, M.; Mosquera Seoane, T.; Sánchez Merino, J.M.; Freire Calvo, J.; et al. Lower Urinary Tract Symptoms (LUTS) as a new clinical presentation of histamine intolerance: A prevalence study of genetic diamine oxidase deficiency. J Clin Med 2023, 12, 6870. [Google Scholar] [CrossRef] [PubMed]
- Duelo, A.; Comas-Basté, O.; Sánchez-Pérez, S.; Veciana-Nogués, M.T.; Ruiz-Casares, E.; Vidal-Carou, M.C.; Latorre-Moratalla, M.L. Pilot study on the prevalence of diamine oxidase gene variants in patients with symptoms of histamine intolerance. Nutrients 2024, 16, 1142. [Google Scholar] [CrossRef]
- García-Martín, E.; Martínez, C.; Serrador, M.; Alonso-Navarro, H.; Ayuso, P.; Navacerrada, F.; Agúndez, J.A.; Jiménez-Jiménez, F.J. Diamine oxidase rs10156191 and rs2052129 variants are associated with the risk for migraine. Headache 2015, 55, 276–286. [Google Scholar] [CrossRef]
- Mayo-Yáñez, M.; Díaz-Díaz, A.; Vázquez-Barro, J.C.; Herranz González-Botas, J.; Figueroa, A.; Martín-Martín, C.S. Relationship between allergic rhinitis and diamine oxidase activity: A preliminary report. Allergol Select 2021, 5, 187–194. [Google Scholar] [CrossRef]

| Variables | Total subjects, n = 167 |
| Gender, n (%) | |
| Men | 50 (29.9) |
| Women | 117 (70.1) |
| Age, years, mean (SD) | 48.3 (13.5) |
| Body mass index (BMI), kg/m2, mean (SD) | 23.1 (24.5) |
| DAO deficiency, n (%) | 138 (82.6) |
| SNPs genotype, n (%) | |
| No allelic variants | 29 (17.4) |
| Heterozygous carriers | 125 (74.9) |
| Homozygous carriers | 13 (7.8) |
| c.691G>T (rs2052129) GG | 58 (34.7) |
| GT | 104 (62.3) |
| TT | 5 (3.0) |
| c.47C>T (rs10156191) CC | 61 (36.5) |
| CT | 98 (58.7) |
| TT | 8 (4.8) |
| c.959C>T (rs1049742) CC | 81 (48.5) |
| CT | 85 (50.9) |
| TT | 1 (0.6) |
| c.1990C>G (rs1049793) CC | 96 (57.5) |
| CG | 67 (40.1) |
| GG | 4 (2.4) |
| Insomnia-related symptoms, n (%) | |
| Trouble falling asleep | 101 (60.5) |
| Trouble staying asleep | 147 (88-0) |
| Early morning awakening | 90 (53.9) |
| Frequency of symptoms, n (%) | |
| < 3 days/week | 16 (9.6) * |
| > 3 days/week | 63 (38.0) |
| Every day | 87 (52.4) |
| Daytime symptoms, n (%) | 166 (99.4) |
| Somnolence | 82 (49.1) |
| Fatigue | 133 (79.6) |
| Cognitive impairment | 17 (10.2) |
| Poor concentration | 117 (70.1) |
| Lack of attention or memory | 94 (56.3) |
| Mood changes | 121 (72.5) |
| Headache | 75 (44.9) |
| Other symptoms, n (%) | 129 (77.2) |
| Fibromyalgia | 25 (15.0) |
| Migraine | 31 (18.6) |
| Attention-deficit hyperactivity disorder (ADHD) | 10 (6.0) |
| Allergy-hypersensitivity, n (%) | |
| Respiratory | 43 (25.7) |
| Alimentary and pharmacological | 32 (19.2) |
| Cutaneous | 31 (18.6) |
| Variables | c.1990C>G (rs1049793) variant | Early morning awakening | ||||
| Non-carriers (n = 96) | Carriers (n = 71) | p value | Absence (n = 77) | Presence (n = 90) | p value | |
| Trouble staying asleep, n (%) | ||||||
| No | 16 (16.7) | 4 (5.6) | 0.032 | |||
| Yes | 80 (83.3) | 67 (94.4) | ||||
| Early morning awakening, n (%) | ||||||
| No | 53 (55.2) | 24 (33.8) | 0.007 | |||
| Yes | 43 (44.8) | 47 (66.2) | ||||
| SNPs combinations | ||||||
| (c.47C>T) & (c.1990C>G) | 15 (19.5) | 41 (45.6) | 0.005 | |||
| (c.691G>T) & (c.1990C>G) | 16 (20.8) | 40 (44.4) | 0.001 | |||
| (c.691G>T) & (c.47C>T) & (c.1990C>G) | 13 (16.9) | 38 (42.2) | 0.004 | |||
| (c.995C>T) & (c.1990C>G) | 16 (20.8) | 33 (36.7) | 0.027 | |||
| (c.47C>T) & (c.995C>T) & (c.1990C>G) | 13 (16.9) | 30 (33.3) | 0.026 | |||
| (c.691G>T) & (c.995C>T) & (c.1990C>G) | 14 (18.2) | 29 (32.2) | 0.005 | |||
| (c.691G>T) & (c.47C>T) & (c.995C>T) & (c.1990C>G) | 12 (15.6) | 28 (31.1) | 0.028 | |||
| Predictive variables of SNPs | Odds ratio (95% CI) | p value |
| (c.691G>T) & (c.47C>T) & (c.1990C>G) | ||
| Trouble staying asleep | 4.28 (1.31-19.30) | 0.028 |
| (c.691G>T) or (c.47C>T) | ||
| Trouble staying asleep | 0.17 (0.02-0.65) | 0.024 |
| (c.691G>T) & (c.47C>T) & (c.1990C>G) | ||
| Early morning awakening | 3.59 (1.77-7.67) | 0.0006 |
| (c.691G>T) or (c.995C>T) | ||
| Cognitive impairment | 0.34 (0.12-0.97) | 0.040 |
| (c.691G>T) & (c.47C>T) & (c.1990C>G) | ||
| Lack of attention or memory | 2.53 (1.00-6.59) | 0.051 |
| (c.47C>T) & (c.1990C>G) | ||
| Mood changes | 0.42 (0.21-0.85) | 0.017 |
| (c.47C>T) (rs10156191) homozygous vs. heterozygous | ||
| Attention-deficit hyperactivity disorder (ADHD) | 19.99 (1.68-470.58) | 0.020 |
| (c.47C>T) & (c.1990C>G) | ||
| Allergy/hypersensitivity | 1.91 (1.02-3.61) | 0.043 |
| Predictive variables | Odds ratio (95% CI) | p value |
| Early morning awakening | ||
| (c.1990C>G) | 2.20 (1.16-4.25) | 0.016 |
| Dermatological allergy | ||
| (c.995G>T) | 3.76 (1.19-6.81) | 0.021 |
| Food and pharmacological allergies | ||
| (c.691G>T) or (c.47C>T) or (c.995C>T) | 4.84 (2.34-31.20) | 0.038 |
Disclaimer/Publisher’s Note: The statements, opinions and data contained in all publications are solely those of the individual author(s) and contributor(s) and not of MDPI and/or the editor(s). MDPI and/or the editor(s) disclaim responsibility for any injury to people or property resulting from any ideas, methods, instructions or products referred to in the content. |
© 2024 by the authors. Licensee MDPI, Basel, Switzerland. This article is an open access article distributed under the terms and conditions of the Creative Commons Attribution (CC BY) license (http://creativecommons.org/licenses/by/4.0/).