Submitted:
09 July 2024
Posted:
10 July 2024
You are already at the latest version
Abstract
Keywords:
1. Introduction
2. Materials and Methods
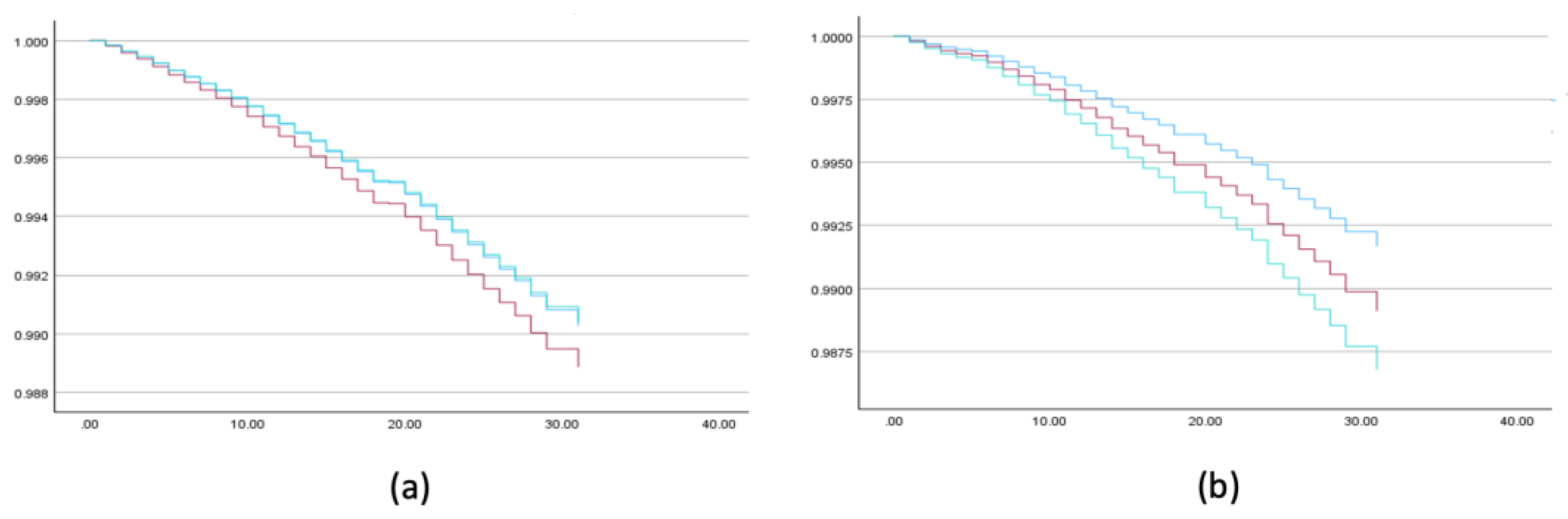
3. Results
4. Discussion
5. Conclusions
Author Contributions
Funding
Institutional Review Board Statement
Informed Consent Statement
Data Availability Statement
Conflicts of Interest
References
- Bray, F., Ferlay, J., Soerjomataram, I., Siegel, R. L., Torre, L. A., & Jemal, A. Global cancer statistics 2018: GLOBOCAN estimates of incidence and mortality worldwide for 36 cancers in 185 countries. CA Cancer J Clin 2018, 68(6), 394–424.
- Arzanova, E., & Mayrovitz, H. N. Breast Cancer; Exon Publications: Brisbane, Australia, 2022. [CrossRef]
- Ferlay, J., Colombet, M., Soerjomataram, I., Parkin, D. M., Piñeros, M., Znaor, A., & Bray, F. Cancer statistics for the year 2020: An overview. Int J Cancer 2021, 149(4), 778–789.
- Ben-Lessen, M., Silverman, B., & Keinan-Boker, L. Breast Cancer in Israel: An update on morbidity and mortality data. Israel Center for Disease Control; Ministry of Health, 2022. https://www.health.gov.il/PublicationsFiles/breast_cancer_october2022.pdf.
- Nasrazadani, A., Marti, J. L. G., Kip, K. E., Marroquin, O. C., Lemon, L., Shapiro, S. D., & Brufsky, A. M. Breast cancer mortality as a function of age. Aging 2022, 14(3), 1186.
- Giaquinto, A. N., Miller, K. D., Tossas, K. Y., Winn, R. A., Jemal, A., & Siegel, R. L. Cancer statistics for African American/Black People 2022. CA Cancer J Clin 2022, 72(3), 202–229. [CrossRef]
- Díaz-Velásquez, C. E., Gitler, R., Antoniano, A., Kershenovich Sefchovich, R., De La Cruz-Montoya, A. H., Martínez-Gregorio, H., Rojas-Jiménez, E. A., Cortez Cardoso Penha, R., Terrazas, L. I., Wegman-Ostrosky, T., Levi-Lahad, E., Zabaleta, J., Perdomo, S., & Vaca-Paniagua, F. Evaluation of genetic alterations in hereditary cancer susceptibility genes in the Ashkenazi Jewish women community of Mexico. Front Genet 2023, 14. [CrossRef]
- Pinchas-Mizrachi, R., Jacobson Liptz, J., Zalcman, B. G., & Romem, A. Disparities in Breast Cancer Mortality Rates in Israel among Urban and Rural Women. Int J Environ Res Public Health 2022, 19(23). [CrossRef]
- DeSantis, C. E., Ma, J., Gaudet, M. M., Newman, L. A., Miller, K. D., Goding Sauer, A., Jemal, A., & Siegel, R. L. Breast cancer statistics, 2019. CA Cancer J Clin 2019, 69(6), 438–451. [CrossRef]
- Tresilian, G., Morgan, J. L., Wyld, L., Reed, M., Charlene, M., Chater, T., Pemberton, K., & Holcombe, C. A prospective cohort study to analyse the effect of socioeconomic deprivation on breast cancer stage at diagnosis, treatment allocation and outcomes in older women in the United Kingdom. Eur J Surg Oncol 2022, 48(2).
- Ji, P., Gong, Y., Jiang, C. C., Hu, X., Di, G. H., & Shao, Z. M. Association between socioeconomic factors at diagnosis and survival in breast cancer: A population-based study. Cancer Med 2020, 9(5), 1922–1936. [CrossRef]
- Taheri, M., Tavakol, M., Akbari, M. E., Almasi-Hashiani, A., & Abbasi, M. Relationship of Socio Economic Status, Income, and Education with the Survival Rate of Breast Cancer: A Meta-Analysis. Iran J Public Health 2019, 48(8).
- Christiansen, S. R., Autier, P., & Støvring, H. Change in effectiveness of mammography screening with decreasing breast cancer mortality: A population-based study. Eur J Public Health 2022, 32(4), 630–635. [CrossRef]
- Luu, X. Q., Lee, K., Jun, J. K., Suh, M., Jung, K. W., & Choi, K. S. Effect of mammography screening on the long-term survival of breast cancer patients: results from the National Cancer Screening Program in Korea. Epidemiol Health 2022, 44. [CrossRef]
- Orsini, M., Tretarre, B., Daurès, J. P., & Bessaoud, F. Individual socioeconomic status and breast cancer diagnostic stages: A French case-control study. Eur J Public Health 2016, 26(3), 445–450. [CrossRef]
- Bradley, C. J., Given, C. W., & Roberts, C. Disparities in cancer diagnosis and survival. Cancer 2001, 91(1), 178–188. [CrossRef]
- Evans, D. G., Harkness, E. F., Howel, S., Woodward, E. R., Howell, A., & Lalloo, F. Young age at first pregnancy does protect against early onset breast cancer in BRCA1 and BRCA2 mutation carriers. Breast Cancer Res Treat 2018, 167(3), 779–785. [CrossRef]
- Haricharan, S., Dong, J., Hein, S., Reddy, J. P., Du, Z., Toneff, M., Holloway, K., Hilsenbeck, S. G., Huang, S., Atkinson, R., Woodward, W., Jindal, S., Borges, V. F., Gutierrez, C., Zhang, H., Schedin, P. J., Osborne, C. K., Tweardy, D. J., & Li, Y. Mechanism and preclinical prevention of increased breast cancer risk caused by pregnancy. ELife 2013, 2. [CrossRef]
- Naghizadeh, S., Faroughi, F., & Faroughi, F. Investigating the relationship between breast and gynecological cancers and infertility and its treatments: a case-control study. Eur J Cancer Prev 2023, 32(6), 600–607.
- Pompei, L. D. M., & Fernandes, C. E. (2020). Hormone Therapy, Breast Cancer Risk and the Collaborative Group on Hormonal Factors in Breast Cancer Article. Rev Bras Ginecol Obstet 2020, 42(5), 233–234. [CrossRef]
- Beth Terry, M., Liao, Y., Kast, K., Antoniou, A. C., Mcdonald, J., Mooij, T., Engel, C., Noguès, C., Buecher, B., Mari, V., McDonald, J. A., Mooij, T. M., Nogues, C., eronique Mari, V., Moretta-Serra, J., Gladieff, L., Luporsi, E., Barrowdale, D., Frost, D., … Andrieu, N. The Influence of Number and Timing of Pregnancies on Breast Cancer Risk for Women With BRCA1 or BRCA2 Mutations. JNCI Cancer Spectr 2018, 2(4). [CrossRef]
- Lund, E., Nakamura, A., Snapkov, I., Thalabard, J. C., Olsen, K. S., Holden, L., & Holden, M. Each pregnancy linearly changes immune gene expression in the blood of healthy women compared with breast cancer patients. Clin Epidemiol 2018, 10, 931–940. [CrossRef]
- Islami, F., Liu, Y., Jemal, A., Zhou, J., Weiderpass, E., Colditz, G., Boffetta, P., & Weiss, M. Breastfeeding and breast cancer risk by receptor status-a systematic review and meta-analysis. Ann Oncol 2015, 26(12), 2398–2407. [CrossRef]
- AlEdeilah, R. D., Alanazi, O. H. A., AlHarby, B. S. F., Al Issa, M. S. Al, Al-Dhahry, S. A. S., AlAnazi, A. N. K., AlAnazi, H. O. H., & Alanazi, S. N. S. Breastfeeding as a Protective Factor against Breast Cancer: A Systematic Review. Clin Cancer Investig J 2022, 11(5), 36–41. [CrossRef]
- Foster, S. F., Vazquez, C., Cubbin, C., Nichols, A. R., Rickman, R. R., & Widen, E. M. Breastfeeding, socioeconomic status, and long-term postpartum weight retention. Int Breastfeed J 2023, 18(1). [CrossRef]
- Alvakilli, N., & Sirota, Y. DEMOGRAPHIC, ECONOMIC AND SOCIAL CHARACTERISTICS OF ISRAEL MINORITIES. Public Adm 2022, 114(2), 79–87. [CrossRef]
- Haddad Haj-Yahya, N., Khalaily, M., & Rudnitzky, A. Statistical Report on Arab Society in Israel 2021; Israel Democracy Institute, 2022. https://en.idi.org.il/media/18218/statistical-report-on-arab-society-in-israel-2021.pdf .
- Blickstein, I., & Baor, L. Trends in multiple births in Israel. Harefuah 2004, 143(11), 839, 794—8. http://europepmc.org/abstract/MED/15603267 .
- Eilat-Tsanani, S., Abu Ahmad, N., & Agbaria, M. Breast Cancer in Arab and Jewish Women in Northern Israel: A Retrospective Database Study. Isr Med Assoc J 2023, 25(7), 495—499. http://europepmc.org/abstract/MED/37461176.
- Pinchas-Mizrachi, R., Solnica, A., & Daoud, N. (2020). Religiosity Level and Mammography Performance Among Arab and Jewish Women in Israel. J Relig Health 2020, 60, 1877-1894. [CrossRef]
- Schein, A. Female labor force participation in Israel, 1955-2017. Isr Aff 2020, 26(5), 635–649. [CrossRef]
- Keinan-Boker, L., Shohat, T., Wienstein, R., Goldsmith, R., Shimony, T., Ophir, E., Altman, H., Amram, O., Fisher, N., Frost, D., Bluednikov, Y., Ifrah, A., & Nitsan, L. National Health and Nutrition Survey; Ministry of Health, 2014. https://www.gov.il/blobFolder/reports/mabat-infant/he/files_publications_units_ICDC_mabat-infant.pdf.pdf.
- Zimmerman, D. R., Kaplan, M., Shoob, H., Freisthler, M., Toledano, M., & Stein-Zamir, C. Breastfeeding challenges and support in a high initiation population. Isr J Health Policy Res 2022, 11(1). [CrossRef]
- Staetsky, L. D. Stalling fertility decline of Israeli Muslims and the demographic transition theory. Popul Stud 2019, 73(3), 317–333. [CrossRef]
- Keinan-Boker, L., Baron-Epel, O., Fishler, Y., Irena, L., Barchana, M., Dichtiar, R., & Goodman, M. Breast cancer trends in Israeli Jewish and Arab Women, 1996–2007. Eur J Cancer Prev 2013, 22(2), 112–120.



|
Jewish (N=743,090) |
Muslim Arab (N=74,355) |
p | ||
| Age | 39.08 (5.66) | 37.99 (5.90) | <0.001 | |
| Number of children | 4.87 (3.54) | 2.45 (1.95) | <0.001 | |
| Country of origin | Asia/Africa | 33.4% | 4.0% | <0.001 |
| Europe/America | 44.0% | 1.4% | ||
| Israel | 22.6% | 94.6% | ||
| Locality size | Small | 84.6% | 55.3% | <0.001 |
| Large | 15.4% | 44.7% | ||
| Socio-economic status | Low | 23.7% | 84.7% | <0.001 |
| Medium | 43.2% | 11.8% | ||
| High | 33.1% | 3.6% | ||
| Breast cancer mortality per 10,000 women | AHR (Age-adjusted Hazard Ratio), 99% CI | p | ||
| Ethnicity | Jewish | 105.40 | 1.00 | |
| Muslim Arab | 84.33 | 0.866 (0.778-0.964) | <0.001 | |
| Number of children | 0-3 | 106.54 | 1.00 | |
| >3 | 95.19 | 0.902 (0.845-0.962) | <0.001 | |
| Country of origin | Asia/Africa | 96.47 | 1.00 | |
| Israel | 105.06 | 1.068 (0.997-1.143) | 0.013 | |
| Europe/America | 107.59 | 1.109 (1.031-1.192) | <0.001 | |
| Locality size | Small | 84.30 | 1.00 | |
| Large | 107.70 | 1.229 (1.136-1.330) | <0.001 | |
| Socio-economic status | Low | 99.96 | 1.00 | |
| Medium | 111.94 | 1.179 (1.101-1.262) | <0.001 | |
| High | 97.27 | 1.019 (0.945-1.098) | 0.526` |
| Model 1 | Model 2 | Model 3 | ||
| HR (99% CI) | HR (99% CI) | HR (99% CI) | ||
| Ethnicity | Jewish | 1.00 | 1.00 | 1.00 |
| Muslim Arab | 0.815 (0.722 - 0.920) | 0.849 (0.752 - 0.960) | 0.904 (0.793-1.031) | |
| Number of children | 0-3 | 1.00 | 1.00 | 1.00 |
| >3 | 0.925 (0.963 - 0.992) | 0.938 (0.875 - 1.007) | 0.924 (0.861 - 0.992) | |
| Country of origin | Asia/Africa | 1.00 | 1.00 | 1.00 |
| Israel | 1.044 (0.972 - 1.120) | 1.046 (0.974 - 1.123) | 1.060 (0.985 - 1.140) | |
| Europe/America | 1.166 (1.078 - 1.260) | 1.181 (1.092 - 1.277) | 1.173 (1.083 - 1.270) | |
| Locality size | Small | 1.00 | 1.00 | |
| Large | 1.219 (1.124 - 1.322) | 1.189 (1.095 - 1.291) | ||
| Socio-economic status | Low | 1.00 | ||
| Medium | 1.140 (1.060 - 1.227) | |||
| High | 0.970 (0.893 - 1.364) |
|
Model A : Jewish (N = 743,090) |
Model B: Muslim Arab (N = 74,355) |
||
| Age adjusted HR (99% CI) | Age adjusted HR (99% CI) | ||
| Number of children | 0-3 | 1.00 | 1.00 |
| >3 | 0.960 (0.896 - 1.028) | 0.751 (0.609 - 0.927) | |
| Country of origin | Asia/Africa | 1.00 | 1.00 |
| Israel | 1.08 (1.001 - 1.146) | 0.651 (0.159 - 4.466) | |
| Europe/America | 1.185 (1.096 - 1.282) | 0.703 (0.373 - 1.326) | |
| Locality size | Small | 1.00 | 1.00 |
| Large | 1.217 (1.115 - 1.329) | 1.177 (0.954 - 1.451) | |
| Socio-economic status | Low | 1.00 | 1.00 |
| Medium | 1.146 (1.064 - 1.235) | 1.309 (1.015 - 1.796) | |
| High | 0.988 (0.912 - 1.071) | 1.591 (1.052 - 2.613) |
Disclaimer/Publisher’s Note: The statements, opinions and data contained in all publications are solely those of the individual author(s) and contributor(s) and not of MDPI and/or the editor(s). MDPI and/or the editor(s) disclaim responsibility for any injury to people or property resulting from any ideas, methods, instructions or products referred to in the content. |
© 2024 by the authors. Licensee MDPI, Basel, Switzerland. This article is an open access article distributed under the terms and conditions of the Creative Commons Attribution (CC BY) license (http://creativecommons.org/licenses/by/4.0/).