Submitted:
29 June 2024
Posted:
01 July 2024
You are already at the latest version
Abstract
Keywords:
1. Introduction
2. Literature Review
3. Methodology and Data
3.1. Multiscale Input‒Output Method
3.2. Resource Network Construction and Related Indicators of Complex Networks
3.2.1. Resource Network Construction
3.2.2. Related Indicators of Complex Networks
3.2.3. Data Sources
4. Results
4.1. Embodied Resource Intensity in Each Province and Sector
4.2. Complex Network Feature Recognition
4.2.1. Resource Network Construction
4.2.2. Small-World Characteristics
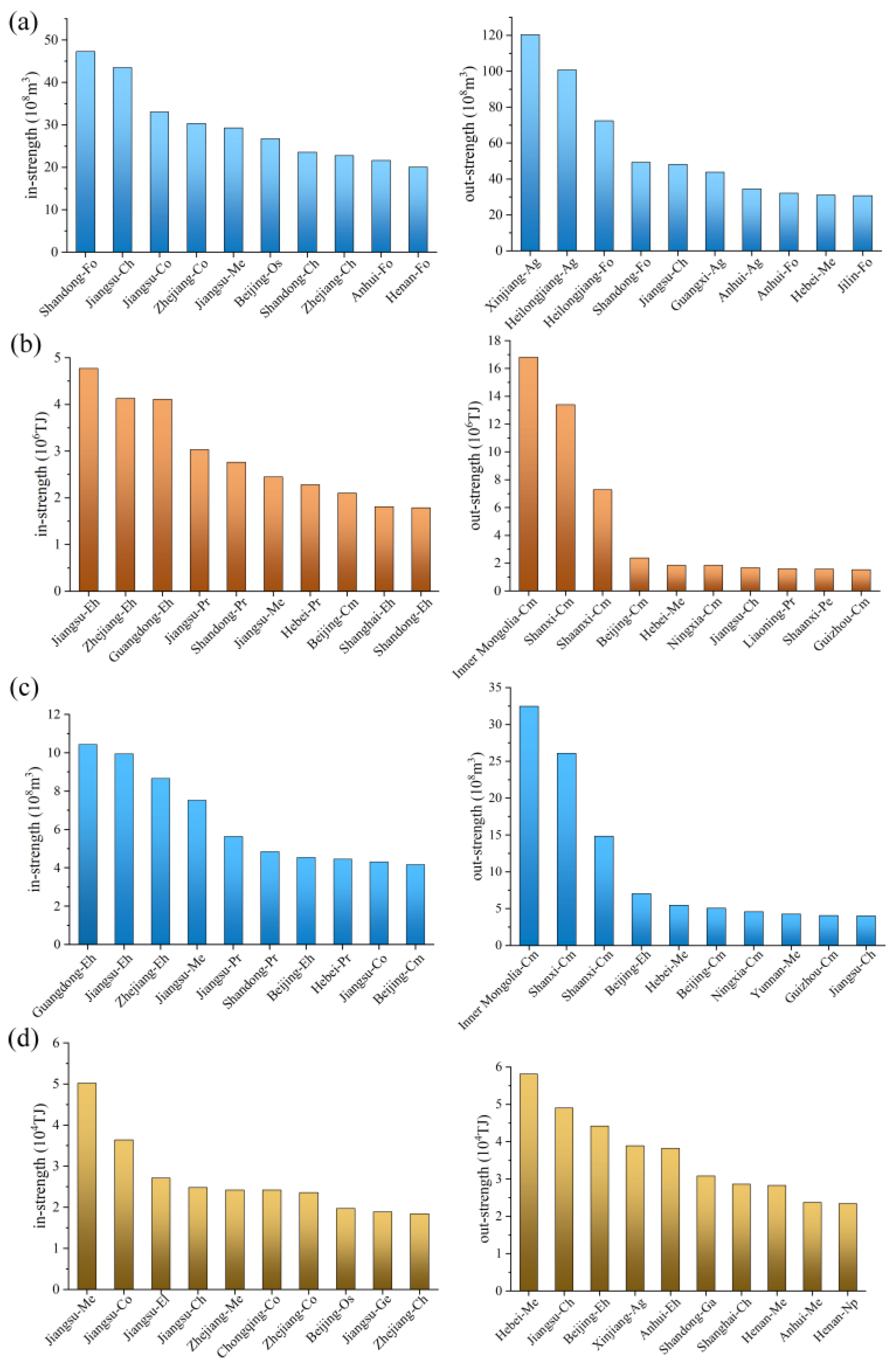
4.2.3. Key Node Identification Based on Node Strength
4.2.4. Key Node Identification Based on Eigenvector Centrality
4.2.5. Key Path
5. Discussion
5.1. Policy Implications
5.2. Deficiencies and Prospects
6. Conclusions
Author Contributions
Data Availability Statement
Acknowledgments
Conflicts of Interest
References
- Barabási, A.L.; Albert, R. Emergence of scaling in random networks[J]. Science, 1999, 286(5439): 509-512. [CrossRef]
- BP. Statistical review of world energy. 2018.
- Brizga, J.; Feng, K.S.; Hubacek, K. Household carbon footprints in the Baltic States: A global multi-regional input-output analysis from 1995 to 2011[J]. Applied Energy, 2017, 189: 780-788. [CrossRef]
- Cadarso, M.A.; Tobarra, M.A.; Garcia-Alaminos, A. , et al. The Input-Output Method for Calculating the Carbon Footprint of Tourism: An Application to the Spanish Tourism Industry[M]. Advances of Footprint Family for Sustainable Energy and Industrial Systems, 2022: 35-58.
- Cervi, E.; Cammi, A.; Zio, E. A new approach for nuclear reactor analysis based on complex network theory[J]. Progress in Nuclear Energy, 2019, 112: 96-106.
- Chen, B.; Li, J.S.; Wu, X.F. , et al. Global energy flows embodied in international trade: A combination of environmentally extended input–output analysis and complex network analysis[J]. Applied Energy, 2018, 210: 98–107. [CrossRef]
- Chen, G.W.; Wiedmann, T.; Wang, Y.F. Transnational city carbon footprint networks-Exploring carbon links between Australian and Chinese cities[J]. Applied Energy, 2016, 184: 1082-1092. [CrossRef]
- Chen, J.Y.; Luo, Q.; Sun, X. , et al. The impact of renewable energy consumption on lithium trade patterns: An industrial chain perspective[J]. Resources Policy, 2023, 85: 103837. [CrossRef]
- Chen, S.; Ding, Y.T.; Song, Y.; et al. Study on China’s energy system resilience under the scenarios of long-term shortage of imported oil[J]. Energy, 2023, 270: 126831. [CrossRef]
- Chen, S.; Ding, Y.T.; Zhang, Y.F. , et al. Study on the robustness of China’s oil import network[J]. Energy, 2022, 239: 122139.
- Chen, Z.; Kahn, M.E.; Liu, Y. , et al. The consequences of spatially differentiated water pollution regulation in China. Journal of Environmental Economics and Management, 2018, 88: 468-485. [CrossRef]
- Daňa1, J.; Caputo, F.; Ráčekl, J. Complex Network Analysis for Knowledge Management and Organizational Intelligence[J]. Journal of the Knowledge Economy, 2020 (2). [CrossRef]
- Ding, N.; Liu, J.; Yang, J. , et al. Water footprints of energy sources in China: Exploring options to improve water efficiency[J]. Journal of Cleaner Production, 2018, 174: 1021-1031. [CrossRef]
- Ding, T.H.; Chen, J.F.; Fang, L.P. , et al. Urban ecosystem services supply-demand assessment from the perspective of the water-energy-food nexus[J]. Sustainable Cities and Society, 2023, 90: 104401. [CrossRef]
- Fan, J.; Kong, L.; Zhang, X. , et al. Energy-water nexus embodied in the supply chain of China: Direct and indirect perspectives. Energy Conversion and Management 2019, 183: 126–136. [CrossRef]
- Feng, L.; Chen, B.; Wu, G. , et al. Global renewable energy trade network: patterns and determinants[J]. Environmental Science and Pollution Research, 2024, 31: 15538–15558.
- Guo, S.; Li, Y.L.; He, P. , et al. Embodied energy use of China’s megacities: A comparative study of Beijing and Shanghai[J]. Energy Policy, 2021, 155: 112243. [CrossRef]
- Hong, J.K.; Tang, M.H.; Wu, Z.Z. , et al. The evolution of patterns within embodied energy flows in the Chinese economy: A multi-regional-based complex network approach[J]. Sustainable Cities and Society, 2019, 47: 101500. [CrossRef]
- Hong, S.Y.; Cheng, T.; Wang, H.R. Characteristics of the water-energy network in the Yangtze River Economic Belt[J]. Resources Science, 2021, 43(9): 1794-1807.
- Hong, S.; Wang, H.; Cheng, T. Circulation characteristic analysis of implied water flow based on a complex network: A case study for Beijing, China[J]. Water, 2018, 10(7): 834. [CrossRef]
- Hu, J.M.; Liu, G.Y.; Meng, F.X. , et al. Subnational carbon flow pattern analysis using multi-scale input-output model[J]. Ecological Modelling, 2020, 431: 109138. [CrossRef]
- Islam KM, N.; Kenway, S.J.; Renouf, M.A. , et al. A multi-regional input-output analysis of direct and virtual urban water flows to reduce city water footprints in Australia[J]. Sustainable Cities and Society, 2021, 75: 103236.
- Jiang, M.D.; Huang, Y.M.; Bai, Y. , et al. How can Chinese metropolises drive global carbon emissions? Based on a nested multi-regional input-output model for China[J]. Science of the Total Environment, 2023, 856: 159094.
- Kitamura, T.; Managi, S. Driving force and resistance: Network feature in oil trade[J]. Applied Energy, 2017, 208: 361-375. [CrossRef]
- Lei, H.; Zhang, X.; Han, X.Y. , et al. Exploring virtual water network dynamics of China’s electricity trade: insights into the energy-water nexus[J]. Sustainability, 2023, 15(22): 15977. [CrossRef]
- Lenzen, M.; Moran, D.; Kanemoto, K. , et al. Building Eora: a global multiregion input-output database at high country and sector resolution[J]. Economic Systems Research, 2013, 25: 20-49.
- Li, K.; Feng, C.; Liang, Y. , et al. Critical transmission sectors for provincial food-water nexus in China[J]. Journal of Cleaner Production, 2021, 279: 123886. [CrossRef]
- Liang, J.Y.; Wang, S.J.; Liao, Y.T.; et al. Carbon emissions embodied in investment: Assessing emissions reduction responsibility through multi-regional input-output analysis[J]. Applied Energy, 2024, 358: 22558.
- Liu, S.Y.; Zhang, J.J.; Han, M.Y. , et al. Multi-scale water use balance for a typical coastal city in China[J]. Journal of Cleaner Production, 2019, 236(1): 117505. [CrossRef]
- Lu, C.; Du, Q.; Li, J.T. , et al. Trade embodied CO2 transfers from transportation sector: A nested multi-scale input-output perspective[J]. Transportation Research Part D: Transport and Environment, 2023, 119: 103727. [CrossRef]
- Ma, N.; Sun, W.L.; Wang, Z. , et al. The effects of different forms of FDI on the carbon emissions of multinational enterprises: A complex network approach[J]. Energy Policy, 2023, 181: 113731. [CrossRef]
- Mariane, B.; Odemir, M. Exploring ordered patterns in the adjacency matrix for improving machine learning on complex networks[J]. Physica A: Statistical Mechanics and its Applications, 2023, 626: 129086.
- Memon, B.A.; Tahir, R. Examining Network Structures and Dynamics of World Energy Companies in Stock Markets: A Complex Network Approach[J]. International Journal of Energy Economics and Policy, 2021, 11(4): 329-344.
- Meng, F.X.; Wang, D.F.; Meng, X.Y. , et al. Mapping urban energy-water-land nexus within a multiscale economy: A case study of four megacities in China[J]. Energy, 2022, 239: 12203. [CrossRef]
- NBS. China Statistical Yearbook. China Statistics Press: Beijing, 2018. (in Chinese).
- NBS. Input-output Tables of China 2017. China Statistics Press: Beijing., 2019. (in Chinese).
- Pradhan, P.; Angeliya, C.U.; Jalan, S. Principal eigenvector localization and centrality in networks: Revisited[J]. Physica A, 2020, 554: 124169. [CrossRef]
- Qian, X.Y.; Liang, Q.M.; Liu, L. J, et al. Key points for green management of water-energy-food in the Belt and Road Initiative: Resource utilization efficiency, final demand behaviors and trade inequalities[J]. Journal of Cleaner Production, 2022, 362: 132386. [CrossRef]
- Ren, B.; Li, H.; Shi, J. , et al. Detecting the control and dependence relationships within the global embodied energy trade network[J]. Energy, 2022, 238: 121678. [CrossRef]
- Rodrigo, G.T.; Amaro, O.P. Eco-Efficiency of the food and beverage industry from the perspective of sensitive indicators of the water-energy-food nexus[J]. Journal of Cleaner Production, 2021, 324: 129283. [CrossRef]
- Shao, L.; Geng, Z.; Wu, X.F. , et al. Changes and driving forces of urban consumption-based carbon emissions: A case study of Shanghai[J]. Journal of Cleaner Production, 2020, 245(1): 118774. [CrossRef]
- Shao, L.; Guan, D.B.; Wu, Z.; et al. Multi-scale input-output analysis of consumption-based water resources: Method and application[J]. Journal of Cleaner Production, 2017(15), 164: 338–346. [CrossRef]
- Shi, J.; Li, H.; Guan, J. , et al. Evolutionary features of global embodied energy flow between sectors: A complex network approach[J]. Energy 2017, 140: 395-405. [CrossRef]
- Simonel, A.; Cesarol, A. , Del Giudice G, et al. Potentialities of Complex Network Theory Tools for Urban Drainage Networks Analysis[J]. Water Resources Research, 2022, 58(8): e2022WR032277. [CrossRef]
- Sun, X.; An, H.; Gao, X. , et al. Indirect energy flow between industrial sectors in China: A complex network approach. Energy 2016, 94: 195-205. [CrossRef]
- Sun, X.; An, H.; Gao, X. , et al. Indirect energy flow between industrial sectors in China: A complex network approach[J]. Energy, 2016, 94: 195-205. [CrossRef]
- Tian, Z.Z.; Fang, D.L.; Chen, B. Three-scale input-output analysis for energy and water consumption in urban agglomeration[J]. Journal of Cleaner Production, 2020, 268: 112148. [CrossRef]
- Ullah, A.; Wang, B.; Sheng, J.F. , et al. Identifying vital nodes from local and global perspectives in complex networks[J]. Expert Systems with Applications, 2021, 186: 115778. [CrossRef]
- Wang, S.; Liu, Y.; Chen, B. Multiregional input-output and ecological network analyses for regional energy-water nexus within China[J]. Applied Energy, 2018, 227: 353-364. [CrossRef]
- Wang, X.Z.; Zhang, W.L.; Li, Y. , et al. Impacts of water constraints on economic outputs and trade: A multi-regional input-output analysis in China[J]. Journal of Cleaner Production, 2024, 434: 140345. [CrossRef]
- World Bank Open Data. World Development Indicators data-Annual freshwater withdrawals, 2018.
- Wu, H.J.; Zeng, X.Y.; Zhang, L. , et al. Water-energy nexus embedded in coal supply chain of a coal-based city, China[J]. Resources Policy, 2023, 85: 103812. [CrossRef]
- Wu, X.F.; Chen, G.Q. Energy use by Chinese economy: A systems cross-scale input-output analysis[J]. Energy Policy, 2017, 108(c): 81-90. [CrossRef]
- Xu, C.Z.; Zhu, Q.Y.; Li, X.C. , et al. Determinants of global carbon emission and aggregate carbon intensity: A multi-region input-output approach[J]. Economic Analysis and Policy, 2024, 81: 418-435. [CrossRef]
- Xu, Y.; Feng, Z.D.; Qi, X.Q. Signless-laplacian eigenvector centrality: A novel vital nodes identification method for complex networks[J]. Pattern Recognition Letters, 2021, 148: 7-14. [CrossRef]
- Zhang, H.W.; Wang, Y.; Yang, C. , et al. The impact of country risk on energy trade patterns based on complex network and panel regression analyses[J]. Energy, 2021, 222: 119979. [CrossRef]
- Zhang, J.B.; Liu, L.R.; Xie, Y.L. , et al. An integrated optimization and multi-scale input-output model for interaction mechanism analysis of energy-economic-environmental policy in a typical fossil-energy-dependent region[J]. Energy Strategy Reviews, 2022, 44: 100947. [CrossRef]
- Zhang, X.; Vesselinov, V.V. Integrated modeling approach for optimal management of water, energy and food security nexus[J]. Advances in Water Resources 2017, 101: 1-10. [CrossRef]







| 30 sectors code | Sector name and abbreviation | 42 sectors code | 30 sectors code | Sector name and abbreviation | 42 sectors code |
| S1 | Agriculture (Ag) | S1 | S16 | General and specialist machinery (Ge) | S16~S17 |
| S2 | Coal mining (Cm) | S2 | S17 | Transport equipment (Tr) | S18 |
| S3 | Petroleum and gas (Pe) | S3 | S18 | Electrical equipment (El) | S19 |
| S4 | Metal mining (Mm) | S4 | S19 | Electronic equipment (Ec) | S20 |
| S5 | Nonmetal mining (No) | S5 | S20 | Instrument and meter (In) | S21 |
| S6 | Food processing and tobaccos (Fo) | S6 | S21 | Other manufacturing (Ot) | S22~S24 |
| S7 | Textile (Te) | S7 | S22 | Electricity and hot water production and supply (Eh) | S25 |
| S8 | Clothing, leather, fur, etc. (Cl) | S8 | S23 | Gas and water production and supply (Ga) | S26~S27 |
| S9 | Wood processing and furnishing (Wo) | S9 | S24 | Construction (Co) | S28 |
| S10 | Paper making, printing, stationery, etc. (Pa) | S10 | S25 | Transport and storage (Ts) | S29 |
| S11 | Petroleum refining, coking, etc. (Pr) | S11 | S26 | Wholesale and retailing (Wh) | S30 |
| S12 | Chemical industry (Ch) | S12 | S27 | Hotel and restaurant (Ho) | S31 |
| S13 | Nonmetal products (Np) | S13 | S28 | Leasing and commercial services (Le) | S32 |
| S14 | Metallurgy (Me) | S14 | S29 | Scientific research (Sc) | S33 |
| S15 | Metal products (Mp) | S15 | S30 | Other services (Os) | S34~S42 |
| WN | EN | EWN | WEN | |
| average clustering coefficient | 0.34 | 0.36 | 0.34 | 0.35 |
| average shortest path | 2.36 | 2.51 | 2.40 | 2.29 |
| clustering coefficient (random network of the same size) | 0.07 | 0.05 | 0.05 | 0.07 |
| average shortest path length (random network of the same size) | 1.68 | 1.85 | 1.76 | 1.63 |
| small world index | 3.63 | 5.84 | 4.59 | 3.42 |
| WN | EN | EWN | WEN | ||||
| Sector | Value | Sector | Value | Sector | Value | Sector | Value |
| 26-Co | 1.00 | 25-Co | 1.00 | 26-Co | 1.00 | 26-Co | 1.00 |
| 25-Co | 0.96 | 26-Co | 0.97 | 25-Co | 1.00 | 25-Co | 0.96 |
| 1-Co | 0.84 | 10-Ge | 0.91 | 10-Ge | 0.90 | 6-Co | 0.85 |
| 12-Co | 0.82 | 10-Co | 0.89 | 6-Co | 0.88 | 1-Co | 0.82 |
| 6-Co | 0.82 | 16-Ge | 0.87 | 1-Co | 0.86 | 16-Np | 0.81 |
| 10-Co | 0.82 | 11-Ge | 0.86 | 16-Ge | 0.85 | 10-Ge | 0.80 |
| 10-Ge | 0.81 | 6-Co | 0.86 | 6-Ge | 0.84 | 6-Ge | 0.80 |
| 22-Co | 0.80 | 11-Co | 0.85 | 16-Np | 0.84 | 12-Co | 0.80 |
| 11-Co | 0.80 | 6-Ge | 0.85 | 12-Co | 0.83 | 11-Co | 0.78 |
| 16-Np | 0.79 | 1-Co | 0.84 | 10-Co | 0.83 | 30-Co | 0.78 |
| WN (108m3) | EN (TJ) | EWN (108m3) | WEN (TJ) | ||||
| source→target | weight | source→target | weight | source→target | weight | source→target | weight |
| 8-Ag→15-Fo | 15.16 | 4-Cm→10-Eh | 1.44E+06 | 4-Cm→10-Eh | 2.80 | 3-Me→10-Me | 7.56E+03 |
| 15-Fo→10-Ch | 7.90 | 5-Cm→10-Eh | 1.36E+06 | 5-Cm→10-Eh | 2.63 | 12-Eh→14-Eh | 7.12E+03 |
| 30-Ag→15-Ag | 6.77 | 5-Cm→11-Eh | 1.34E+06 | 5-Cm→11-Eh | 2.60 | 15-Ga→10-Ga | 7.07E+03 |
| 8-Ag→6-Fo | 6.57 | 4-Cm→11-Eh | 1.27E+06 | 4-Cm→11-Eh | 2.47 | 10-Ch→11-Ch | 6.03E+03 |
| 10-Ch→11-Ch | 5.94 | 5-Cm→1-Cm | 1.13E+06 | 5-Cm→1-Cm | 2.19 | 12-Me→10-El | 5.88E+03 |
| 12-Fo→10-Ch | 5.90 | 5-Cm→19-Eh | 1.06E+06 | 5-Cm→19-Eh | 2.06 | 16-Me→10-Me | 4.77E+03 |
| 8-Ag→5-Fo | 5.85 | 4-Cm→19-Eh | 8.95E+05 | 4-Cm→19-Eh | 1.75 | 3-Me→11-Me | 4.27E+03 |
| 30-Ag→16-Ag | 5.53 | 4-Cm→3-Pr | 8.29E+05 | 12-Cm→10-Eh | 1.69 | 10-Ch→12-Ch | 4.24E+03 |
| 30-Ag→15-Ch | 5.05 | 4-Cm→15-Eh | 7.64E+05 | 4-Cm→3-Pr | 1.62 | 24-Eh→22-Eh | 4.19E+03 |
| 30-Ag→3-Ag | 5.03 | 4-Cm→1-Cm | 7.16E+05 | 24-Cm→19-Eh | 1.62 | 12-Np→10-Co | 3.89E+03 |
Disclaimer/Publisher’s Note: The statements, opinions and data contained in all publications are solely those of the individual author(s) and contributor(s) and not of MDPI and/or the editor(s). MDPI and/or the editor(s) disclaim responsibility for any injury to people or property resulting from any ideas, methods, instructions or products referred to in the content. |
© 2024 by the authors. Licensee MDPI, Basel, Switzerland. This article is an open access article distributed under the terms and conditions of the Creative Commons Attribution (CC BY) license (http://creativecommons.org/licenses/by/4.0/).