Submitted:
01 July 2024
Posted:
01 July 2024
You are already at the latest version
Abstract
Keywords:
1. Introduction
2. Fabricating Organosilica Films
2.1. Chemical Vapor Deposition (CVD, PECVD and HFCVD)
2.2. Spin-Coating Deposition
2.3. Matrix and Precursors
2.4. Porous Materials
| CVD/PECVD/HFCVD matrix precursors | ||
|---|---|---|
| Diethoxy-methyl-silane (DEMS) |
Tetramethyl-cyclotetrasiloxane (TMCTS) |
Deca-methyl-cyclo-pentasiloxane (DMCPS) |
![]() |
![]() |
![]() |
| Diethoxy-methyl-oxiranyl-silane | Dimethyl-dioxiranyl-silane | Trimethyl-trivinyl-cyclotrisiloxane (V3D3) |
![]() |
![]() |
![]() |
| Porogens | ||
| Norbornadiene (NBD) | Norbornene (NBE) | a-terpinene (ATRP) |
![]() |
![]() |
![]() |
| Cyclopentene oxide (CPO) | Cyclohexene oxide (CHO) | Butadiene monoxide (BMO) |
![]() |
![]() |
![]() |
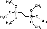
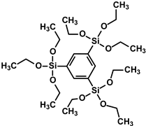
| CSD matrix precursors | ||
|---|---|---|
| Tetraethoxysilane (TEOS) |
Methyltrimethoxysilane (MTMS) |
1,2-bis(triethoxysilyl)methane (BTESM) |
![]() |
![]() |
![]() |
| 1,2-bis(trimethoxysilyl)ethane (BTMSE) |
1,4-bis(triethoxysilyl)benzene (BTESB) |
1,3,5-tris(triethoxysilyl)benzene |
![]() |
![]() |
![]() |
| Surfactants | ||
| Nonionic: | Polyoxyethylene alkyl ethers (Brij®) |
Poly(ethylene glycol)- poly(propylene glycol)- poly(ethylene glycol) (Pluronic®) |
![]() Brij® L4: m = 11, n = 4; Brij® C2: m = 15, n = 2; Brij® C10: m = 15, n = 10; Brij® S10: m = 17, n = 10 |
![]() Pluronic® P123: m = 20, n = 70; Pluronic® F127: m = 100, n = 65 |
|
| Ionic: | Alkyltrimethylammonium bromide (CnTMABr) |
Alkyltrimethylammonium chloride (CnTMACl) |
![]() cetyltrimethylammonium bromide (CTAB): n = 15; octadecyltrimethylammonium bromide (OTAB): n = 17 |
![]() cetyltrimethylammonium chloride (CTAC): n = 15; octadecyltrimethylammonium chloride (OTAC): n = 17 |
|
2.5. Basic Characterization
2.5.1. Chemical Composition and Bonds Configuration
2.5.2. Porosity and Pore Structure
3. Modification of OSG by Plasma and VUV Radiation
3.1. Plasma Damage
4. Electrical properties
4.1. The Optical Properties and Bandgap of Organosilica Films
4.1.1. Optical Properties of Various OSG Materials
4.1.2. Change of Optical Characteristics during UV Curing
4.1.3. Defect States in the Bandgap of Methyl-Terminated OSG Films
4.1.4. Effect of Porosity on the Bandgap
4.2. The Leakage Current
4.2.1. Effects of Porosity, Porogen Residue and Adsorbed Moisture
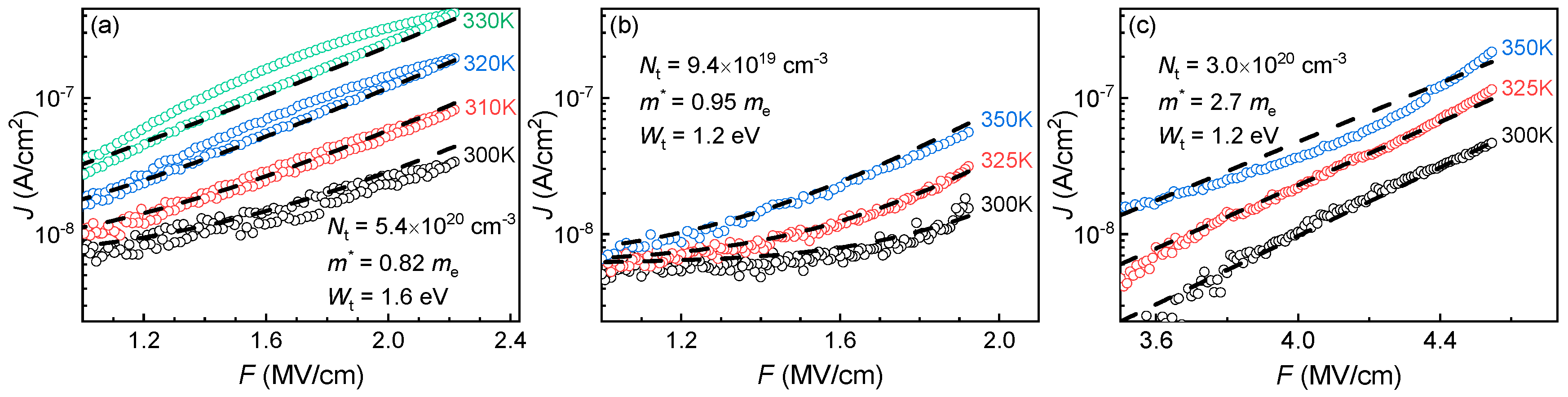
4.2.2. Leakage Through the Low-k Matrix
4.3. Dielectric Breakdown of Low-k
5. Conclusions
Supplementary Materials
Author Contributions
Funding
Institutional Review Board Statement
Data Availability Statement
Acknowledgments
Conflicts of Interest
References
- Van der Voort, P.; Esquivel, D.; De Canck, E.; Goethals, F.; Van Driessche, I.; Romero-Salguero, F.J. Periodic Mesoporous Organosilicas: from simple to complex bridges; a comprehensive overview of functions, morphologies and applications. Chem Soc Rev 2013, 42, 3913–3955. [Google Scholar] [CrossRef] [PubMed]
- Volksen, W.; Miller, R.D.; Dubois, G. Low dielectric constant materials. Chem Rev 2010, 110, 56–110. [Google Scholar] [CrossRef] [PubMed]
- Hatton, B.D.; Landskron, K.; Hunks, W.J.; Bennett, M.R.; Shukaris, D.; Perovic, D.D.; Ozin, G.A. Materials chemistry for low-k materials. Materials Today 2006, 9, 22–31. [Google Scholar] [CrossRef]
- Lu, Y.; Ganguli, R.; Drewien, C.A.; Anderson, M.T.; Brinker, C.J.; Gong, W.; Guo, Y.; Soyez, H.; Dunn, B.; Huang, M.H.; et al. Continuous formation of supported cubic and hexagonal mesoporous films by sol–gel dip-coating. Nature 1997, 389, 364–368. [Google Scholar] [CrossRef]
- Li, H.; Knaup, J.M.; Kaxiras, E.; Vlassak, J.J. Stiffening of organosilicate glasses by organic cross-linking. Acta Materialia 2011, 59, 44–52. [Google Scholar] [CrossRef]
- Maex, K.; Baklanov, M.R.; Shamiryan, D.; lacopi, F.; Brongersma, S.H.; Yanovitskaya, Z.S. Low dielectric constant materials for microelectronics. Journal of Applied Physics 2003, 93, 8793–8841. [Google Scholar] [CrossRef]
- Grill, A.; Gates, S.M.; Ryan, T.E.; Nguyen, S.V.; Priyadarshini, D. Progress in the development and understanding of advanced low k and ultralow k dielectrics for very large-scale integrated interconnects—State of the art. Applied Physics Reviews 2014, 1, 011306. [Google Scholar] [CrossRef]
- Baklanov, M.R.; Green, M.L.; Maex, K. Dielectric Films for Advanced Microelectronics; John Wiley & Sons Ltd: Chichester, UK, 2007. [Google Scholar] [CrossRef]
- Ogawa, E.T.; Aubel, O. Electrical Breakdown. In Advanced Interconnect Dielectrics, Baklanov, M.R., Ho, P.S., Zschech, E., Eds.; 2012; pp. 369–434. [CrossRef]
- Choy, K. Chemical vapour deposition of coatings. Progress in Materials Science 2003, 48, 57–170. [Google Scholar] [CrossRef]
- Sun, L.; Yuan, G.; Gao, L.; Yang, J.; Chhowalla, M.; Gharahcheshmeh, M.H.; Gleason, K.K.; Choi, Y.S.; Hong, B.H.; Liu, Z. Chemical vapour deposition. Nature Reviews Methods Primers 2021, 1, 5–63. [Google Scholar] [CrossRef]
- Grill, A. Cold plasma in materials fabrication; Wiley - IEEE Press: New York, USA, 1994. [Google Scholar]
- Lewis, H.G.P.; Casserly, T.B.; Gleason, K.K. Hot-Filament Chemical Vapor Deposition of Organosilicon Thin Films from Hexamethylcyclotrisiloxane and Octamethylcyclotetrasiloxane. Journal of The Electrochemical Society 2001, 148, F212. [Google Scholar] [CrossRef]
- Bornside, D.E.; Macosko, C.W.; Scriven, L.E. Spin coating: One-dimensional model. Journal of Applied Physics 1989, 66, 5185–5193. [Google Scholar] [CrossRef]
- Bornside, D.E.; Macosko, C.W.; Scriven, L.E. Modeling of spin coating. Journal of Imaging Technology 1987, 13, 122–130. [Google Scholar]
- Bornside, D.E. Mechanism for the Local Planarization of Microscopically Rough Surfaces by Drying Thin Films of Spin-Coated Polymer/Solvent Solutions. Journal of The Electrochemical Society 1990, 137, 2589. [Google Scholar] [CrossRef]
- Sukanek, P.C. Dependence of Film Thickness on Speed in Spin Coating. Journal of The Electrochemical Society 1991, 138, 1712. [Google Scholar] [CrossRef]
- Zhang, L.; de Marneffe, J.F.; Heylen, N.; Murdoch, G.; Tokei, Z.; Boemmels, J.; De Gendt, S.; Baklanov, M.R. Damage free integration of ultralow-k dielectrics by template replacement approach. Applied Physics Letters 2015, 107, 092901. [Google Scholar] [CrossRef]
- Baklanov, M.R.; Vasilyeva, L.L.; Gavrilova, T.A.; Dultsev, F.N.; Mogilnikov, K.P.; Nenasheva, L.A. Porous structure of SiO2 films synthesized at low temperature and pressure. Thin Solid Films 1989, 171, 43–52. [Google Scholar] [CrossRef]
- You, H.; Mennell, P.; Shoudy, M.; Sil, D.; Dorman, D.; Cohen, S.; Liniger, E.; Shaw, T.; Leo, T.-L.; Canaperi, D.; et al. Extreme-low k porous pSiCOH dielectrics prepared by PECVD. Journal of Vacuum Science & Technology B, Nanotechnology and Microelectronics: Materials, Processing, Measurement, and Phenomena 2018, 36, 012202. [Google Scholar] [CrossRef]
- Jousseaume, V.; Zenasni, A.; Gourhant, O.; Favennec, L.; Baklanov, M.R. Ultra-Low-k by CVD: Deposition and Curing. In Advanced Interconnects for ULSI Technology; 2012; pp. 35–77. [CrossRef]
- Iacopi, F.; Travaly, Y.; Eyckens, B.; Waldfried, C.; Abell, T.; Guyer, E.P.; Gage, D.M.; Dauskardt, R.H.; Sajavaara, T.; Houthoofd, K.; et al. Short-ranged structural rearrangement and enhancement of mechanical properties of organosilicate glasses induced by ultraviolet radiation. Journal of Applied Physics 2006, 99, 053511. [Google Scholar] [CrossRef]
- Marsik, P.; Urbanowicz, A.M.; Verdonck, P.; De Roest, D.; Sprey, H.; Baklanov, M.R. Effect of ultraviolet curing wavelength on low-k dielectric material properties and plasma damage resistance. Thin Solid Films 2011, 519, 3619–3626. [Google Scholar] [CrossRef]
- Gourhant, O.; Gerbaud, G.; Zenasni, A.; Favennec, L.; Gonon, P.; Jousseaume, V. Crosslinking of porous SiOCH films involving Si–O–C bonds: Impact of deposition and curing. Journal of Applied Physics 2010, 108, 124105. [Google Scholar] [CrossRef]
- Baklanov, M.R.; Jousseaume, V.; Rakhimova, T.V.; Lopaev, D.V.; Mankelevich, Y.A.; Afanas'ev, V.V.; Shohet, J.L.; King, S.W.; Ryan, E.T. Impact of VUV photons on SiO2 and organosilicate low-k dielectrics: General behavior, practical applications, and atomic models. Applied Physics Reviews 2019, 6, 011301. [Google Scholar] [CrossRef]
- Brinker, C.J. Evaporation-Induced Self-Assembly: Functional Nanostructures Made Easy. MRS Bulletin 2011, 29, 631–640. [Google Scholar] [CrossRef]
- Doshi, D.A.; Gibaud, A.; Goletto, V.; Lu, M.; Gerung, H.; Ocko, B.; Han, S.M.; Brinker, C.J. Peering into the self-assembly of surfactant templated thin-film silica mesophases. Journal of the American Chemical Society 2003, 125, 11646–11655. [Google Scholar] [CrossRef]
- Redzheb, M.; Van Der Voort, P.; Armini, S. Template-dependent hydrophobicity in mesoporous organosilica films. Microporous and Mesoporous Materials 2018, 259, 111–115. [Google Scholar] [CrossRef]
- de Theije, F.K.; Balkenende, A.R.; Verheijen, M.A.; Baklanov, M.R.; Mogilnikov, K.P.; Furukawa, Y. Structural Characterization of Mesoporous Organosilica Films for Ultralow-k Dielectrics. The Journal of Physical Chemistry B 2003, 107, 4280–4289. [Google Scholar] [CrossRef]
- Seregin, D.S.; Vishnevskiy, A.S.; Vorotyntsev, D.A.; Mokrushev, P.A.; Vorotilov, K.A. Effect of Surfactant and Solvent on the Pore Structure of Organosilica Glass Film. Russian Microelectronics 2024, 52, S232–S239. [Google Scholar] [CrossRef]
- Raman, N.K.; Anderson, M.T.; Brinker, C.J. Template-Based Approaches to the Preparation of Amorphous, Nanoporous Silicas. Chemistry of Materials 1996, 8, 1682–1701. [Google Scholar] [CrossRef]
- Goethals, F.; Ciofi, I.; Madia, O.; Vanstreels, K.; Baklanov, M.R.; Detavernier, C.; Van Der Voort, P.; Van Driessche, I. Ultra-low-k cyclic carbon-bridged PMO films with a high chemical resistance. Journal of Materials Chemistry 2012, 22, 8281. [Google Scholar] [CrossRef]
- Shen, J.; Luo, A.; Yao, L.; Lin, X.; Zhou, B.; Wu, G.; Ni, X. Low dielectric constant silica films with ordered nanoporous structure. Materials Science and Engineering: C 2007, 27, 1145–1148. [Google Scholar] [CrossRef]
- Michalak, D.J.; Blackwell, J.M.; Torres, J.M.; Sengupta, A.; Kreno, L.E.; Clarke, J.S.; Pantuso, D. Porosity scaling strategies for low-kfilms. Journal of Materials Research 2015, 30, 3363–3385. [Google Scholar] [CrossRef]
- King, S.; Plombon, J.; Bielefeld, J.; Blackwell, J.; Vyas, S.; Chebiam, R.; Naylor, C.; Michalak, D.; Kobrinsky, M.; Gstrein, F.; et al. A Selectively Colorful yet Chilly Perspective on the Highs and Lows of Dielectric Materials for CMOS Nanoelectronics. In Proceedings of the 2020 IEEE International Electron Devices Meeting (IEDM), San Francisco, CA, USA, 12-18 December 2020; pp. 40.41.41–40.41.44. [Google Scholar] [CrossRef]
- Brinker, C.J.; Scherer, G.W. Sol-Gel Science. The physics and chemistry of sol-gel processing; Academic Press: New York, USA, 1990. [Google Scholar]
- Grill, A.; Neumayer, D.A. Structure of low dielectric constant to extreme low dielectric constant SiCOH films: Fourier transform infrared spectroscopy characterization. Journal of Applied Physics 2003, 94, 6697–6707. [Google Scholar] [CrossRef]
- Baklanov, M.R.; de Marneffe, J.-F.; Shamiryan, D.; Urbanowicz, A.M.; Shi, H.; Rakhimova, T.V.; Huang, H.; Ho, P.S. Plasma processing of low-k dielectrics. Journal of Applied Physics 2013, 113, 041101. [Google Scholar] [CrossRef]
- Seregin, D.S.; Naumov, S.; Chang, W.Y.; Wu, Y.H.; Wang, Y.; Kotova, N.M.; Vishnevskiy, A.S.; Wei, S.; Zhang, J.; Vorotilov, K.A.; et al. Effect of the C-bridge on UV properties of organosilicate films. Thin Solid Films 2019, 685, 329–334. [Google Scholar] [CrossRef]
- Vishnevskiy, A.S.; Naumov, S.; Seregin, D.S.; Wu, Y.H.; Chuang, W.T.; Rasadujjaman, M.; Zhang, J.; Leu, J.; Vorotilov, K.A.; Baklanov, M.R. Effects of Methyl Terminal and Carbon Bridging Groups Ratio on Critical Properties of Porous Organosilicate-Glass Films. Materials 2020, 13, 4484. [Google Scholar] [CrossRef]
- Socrates, G. Infrared and Raman Characteristic Group Frequencies: Tables and Charts., 3rd ed.; John Wiley & Sons: Chichester, UK, 2001; p. 368 p. [Google Scholar] [CrossRef]
- Griffiths, P.R. The Handbook of Infrared and Raman Characteristic Frequencies of Organic Molecules; Academic Press: New York, USA, 1991; p. 503. [Google Scholar] [CrossRef]
- Redzheb, M.; Prager, L.; Krishtab, M.; Armini, S.; Vanstreels, K.; Franquet, A.; Van Der Voort, P.; Baklanov, M.R. UV cure of oxycarbosilane low-k films. Microelectronic Engineering 2016, 156, 103–107. [Google Scholar] [CrossRef]
- Redzheb, M.; Prager, L.; Naumov, S.; Krishtab, M.; Armini, S.; Van Der Voort, P.; Baklanov, M.R. Effect of the C-bridge length on the ultraviolet-resistance of oxycarbosilane low-k films. Applied Physics Letters 2016, 108, 012902. [Google Scholar] [CrossRef]
- Kim, S.; Toivola, Y.; Cook, R.F.; Char, K.; Chu, S.-H.; Lee, J.-K.; Yoon, D.Y.; Rhee, H.-W. Organosilicate Spin-on Glasses. Journal of The Electrochemical Society 2004, 151, F37. [Google Scholar] [CrossRef]
- Kim, S.; Toivola, Y.; Cook, R.F.; Char, K.; Chu, S.-H.; Lee, J.-K.; Yoon, D.Y.; Rhee, H.-W. Organosilicate Spin-on Glasses. Journal of The Electrochemical Society 2004, 151, F37. [Google Scholar] [CrossRef]
- Nenashev, R.; Wang, Y.; Liu, C.; Kotova, N.; Vorotilov, K.; Zhang, J.; Wei, S.; Seregin, D.; Vishnevskiy, A.; Leu, J.; et al. Effect of Bridging and Terminal Alkyl Groups on Structural and Mechanical Properties of Porous Organosilicate Films. ECS Journal of Solid State Science and Technology 2017, 6, N182–N188. [Google Scholar] [CrossRef]
- Fidalgo, A.; Ilharco, L.M. Correlation between physical properties and structure of silica xerogels. Journal of Non-Crystalline Solids 2004, 347, 128–137. [Google Scholar] [CrossRef]
- Kruchinin, V.N.; Volodin, V.A.; Rykhlitskii, S.V.; Gritsenko, V.A.; Posvirin, I.P.; Shi, X.; Baklanov, M.R. Atomic Structure and Optical Properties of Plasma Enhanced Chemical Vapor Deposited SiCOH Low-k Dielectric Film. Optics and Spectroscopy 2021, 129, 645–651. [Google Scholar] [CrossRef]
- Perevalov, T.V.; Gismatulin, A.A.; Seregin, D.S.; Wang, Y.; Xu, H.; Kruchinin, V.N.; Spesivcev, E.V.; Gritsenko, V.A.; Nasyrov, K.A.; Prosvirin, I.P.; et al. Critical properties and charge transport in ethylene bridged organosilica low-κ dielectrics. Journal of Applied Physics 2020, 127, 195105. [Google Scholar] [CrossRef]
- Ding, Z.-J.; Wang, Y.-P.; Liu, W.-J.; Ding, S.-J.; Baklanov, M.R.; Zhang, D.W. Characterization of PECVD ultralow dielectric constant porous SiOCH films using triethoxymethylsilane precursor and cinene porogen. Journal of Physics D: Applied Physics 2018, 51, 115103. [Google Scholar] [CrossRef]
- Wirth, W.; Comeaux, J.; Jang, S. Characterization of flexible low-dielectric constant carbon-doped oxide (SiCOH) thin films under repeated mechanical bending stress. Journal of Materials Science 2022, 57, 21411–21431. [Google Scholar] [CrossRef]
- Baklanov, M.R.; Mogilnikov, K.P.; Vishnevskiy, A.S. Challenges in porosity characterization of thin films: Cross-evaluation of different techniques. Journal of Vacuum Science & Technology A 2023, 41, 050802. [Google Scholar] [CrossRef]
- Baklanov, M.R.; Ho, P.S.; Zschech, E. Advanced Interconnects for ULSI Technology; John Wiley & Sons Inc: West Sussex, UK, 2012. [Google Scholar]
- Flamm, D.L.; Donnelly, V.M.; Mucha, J.A. The reaction of fluorine atoms with silicon. Journal of Applied Physics 1981, 52, 3633–3639. [Google Scholar] [CrossRef]
- Winters, H.F.; Coburn, J.W. Surface science aspects of etching reactions. Surface Science Reports 1992, 14, 162–269. [Google Scholar] [CrossRef]
- Baklanov, M.R.; Vanhaelemeersch, S.; Bender, H.; Maex, K. Effects of oxygen and fluorine on the dry etch characteristics of organic low-k dielectrics. Journal of Vacuum Science & Technology B: Microelectronics and Nanometer Structures Processing, Measurement, and Phenomena 1999, 17, 372–379. [Google Scholar] [CrossRef]
- Standaert, T.E.F.M.; Joseph, E.A.; Oehrlein, G.S.; Jain, A.; Gill, W.N.; Wayner, P.C.; Plawsky, J.L. Etching of xerogel in high-density fluorocarbon plasmas. Journal of Vacuum Science & Technology A: Vacuum, Surfaces, and Films 2000, 18, 2742–2748. [Google Scholar] [CrossRef]
- Rakhimova, T.V.; Lopaev, D.V.; Mankelevich, Y.A.; Rakhimov, A.T.; Zyryanov, S.M.; Kurchikov, K.A.; Novikova, N.N.; Baklanov, M.R. Interaction of F atoms with SiOCH ultra-low-kfilms: I. Fluorination and damage. Journal of Physics D: Applied Physics 2015, 48, 175203. [Google Scholar] [CrossRef]
- Rakhimova, T.V.; Lopaev, D.V.; Mankelevich, Y.A.; Kurchikov, K.A.; Zyryanov, S.M.; Palov, A.P.; Proshina, O.V.; Maslakov, K.I.; Baklanov, M.R. Interaction of F atoms with SiOCH ultra low-k films. Part II: etching. Journal of Physics D: Applied Physics 2015, 48, 175204. [Google Scholar] [CrossRef]
- Kunnen, E.; Baklanov, M.R.; Franquet, A.; Shamiryan, D.; Rakhimova, T.V.; Urbanowicz, A.M.; Struyf, H.; Boullart, W. Effect of energetic ions on plasma damage of porous SiCOH low-k materials. Journal of Vacuum Science & Technology B, Nanotechnology and Microelectronics: Materials, Processing, Measurement, and Phenomena 2010, 28, 450–459. [Google Scholar] [CrossRef]
- Posseme, N.; Chevolleau, T.; Joubert, O.; Vallier, L.; Mangiagalli, P. Etching mechanisms of low-k SiOCH and selectivity to SiCH and SiO2 in fluorocarbon based plasmas. Journal of Vacuum Science & Technology B: Microelectronics and Nanometer Structures Processing, Measurement, and Phenomena 2003, 21, 2432–2440. [Google Scholar] [CrossRef]
- Iba, Y.; Kirimura, T.; Sasaki, M.; Kobayashi, Y.; Nakata, Y.; Nakaishi, M. Effects of Etch Rate on Plasma-Induced Damage to Porous Low-k Films. Japanese Journal of Applied Physics 2008, 47, 6923. [Google Scholar] [CrossRef]
- Kunnen, E.; Barkema, G.T.; Maes, C.; Shamiryan, D.; Urbanowicz, A.; Struyf, H.; Baklanov, M.R. Integrated diffusion–recombination model for describing the logarithmic time dependence of plasma damage in porous low-k materials. Microelectronic Engineering 2011, 88, 631–634. [Google Scholar] [CrossRef]
- Safaverdi, S.; Barkema, G.T.; Kunnen, E.; Urbanowicz, A.M.; Maes, C. Saturation of front propagation in a reaction diffusion process describing plasma damage in porous low-kmaterials. Physical Review B 2011, 83, 245320. [Google Scholar] [CrossRef]
- Braginsky, O.V.; Kovalev, A.S.; Lopaev, D.V.; Malykhin, E.M.; Mankelevich, Y.A.; Rakhimova, T.V.; Rakhimov, A.T.; Vasilieva, A.N.; Zyryanov, S.M.; Baklanov, M.R. The mechanism of low-k SiOCH film modification by oxygen atoms. Journal of Applied Physics 2010, 108, 073303. [Google Scholar] [CrossRef]
- Frot, T.; Volksen, W.; Purushothaman, S.; Bruce, R.L.; Magbitang, T.; Miller, D.C.; Deline, V.R.; Dubois, G. Post Porosity Plasma Protection: Scaling of Efficiency with Porosity. Advanced Functional Materials 2012, 22, 3043–3050. [Google Scholar] [CrossRef]
- Zhang, L.; Ljazouli, R.; Lefaucheux, P.; Tillocher, T.; Dussart, R.; Mankelevich, Y.A.; de Marneffe, J.F.; de Gendt, S.; Baklanov, M.R. Damage Free Cryogenic Etching of a Porous Organosilica Ultralow-k Film. ECS Solid State Letters 2012, 2, N5–N7. [Google Scholar] [CrossRef]
- Leroy, F.; Zhang, L.; Tillocher, T.; Yatsuda, K.; Maekawa, K.; Nishimura, E.; Lefaucheux, P.; de Marneffe, J.F.; Baklanov, M.R.; Dussart, R. Cryogenic etching processes applied to porous low-kmaterials using SF6/C4F8plasmas. Journal of Physics D: Applied Physics 2015, 48, 435202. [Google Scholar] [CrossRef]
- Ryan, E.T.; Gates, S.M.; Grill, A.; Molis, S.; Flaitz, P.; Arnold, J.; Sankarapandian, M.; Cohen, S.A.; Ostrovski, Y.; Dimitrakopoulos, C. Property modifications of nanoporous pSiCOH dielectrics to enhance resistance to plasma-induced damage. Journal of Applied Physics 2008, 104, 094109. [Google Scholar] [CrossRef]
- Goldman, M.A.; Graves, D.B.; Antonelli, G.A.; Behera, S.P.; Kelber, J.A. Oxygen radical and plasma damage of low-k organosilicate glass materials: Diffusion-controlled mechanism for carbon depletion. Journal of Applied Physics 2009, 106, 013311. [Google Scholar] [CrossRef]
- Worsley, M.A.; Bent, S.F.; Gates, S.M.; Fuller, N.C.M.; Volksen, W.; Steen, M.; Dalton, T. Effect of plasma interactions with low-κ films as a function of porosity, plasma chemistry, and temperature. Journal of Vacuum Science & Technology B: Microelectronics and Nanometer Structures Processing, Measurement, and Phenomena 2005, 23, 395–405. [Google Scholar] [CrossRef]
- Han, Q.Y.; White, B.; Berry, I.L.; Waldfried, C.; Escorcia, O. Activated He:H<sub>2</sub> Strip of Photoresist over Porous Low-k Materials. Solid State Phenomena 2005, 103–104, 341–344. [Google Scholar] [CrossRef]
- Lazzeri, P.; Stueber, G.J.; Oehrlein, G.S.; McGowan, R.; Busch, E.; Pederzoli, S.; Bersani, M.; Anderle, M. Time of flight secondary ion mass spectroscopy investigation of ultralow-k dielectric modifications in hydrogen and deuterium plasmas. Journal of Vacuum Science & Technology B: Microelectronics and Nanometer Structures Processing, Measurement, and Phenomena 2006, 24, 2695–2701. [Google Scholar] [CrossRef]
- Rakhimova, T.V.; Braginsky, O.V.; Kovalev, A.S.; Lopaev, D.V.; Mankelevich, Y.A.; Malykhin, E.M.; Rakhimov, A.T.; Vasilieva, A.N.; Zyryanov, S.M.; Baklanov, M.R. Recombination of O and H Atoms on the Surface of Nanoporous Dielectrics. IEEE Transactions on Plasma Science 2009, 37, 1697–1704. [Google Scholar] [CrossRef]
- Yamamoto, H.; Takeda, K.; Ishikawa, K.; Ito, M.; Sekine, M.; Hori, M.; Kaminatsui, T.; Hayashi, H.; Sakai, I.; Ohiwa, T. H2/N2 plasma damage on porous dielectric SiOCH film evaluated by in situ film characterization and plasma diagnostics. Journal of Applied Physics 2011, 109, 084112. [Google Scholar] [CrossRef]
- Yamamoto, H.; Asano, K.; Ishikawa, K.; Sekine, M.; Hayashi, H.; Sakai, I.; Ohiwa, T.; Takeda, K.; Kondo, H.; Hori, M. Chemical bond modification in porous SiOCH films by H2 and H2/N2 plasmas investigated by in situ infrared reflection absorption spectroscopy. Journal of Applied Physics 2011, 110, 123301. [Google Scholar] [CrossRef]
- Bittel, B.C.; Lenahan, P.M.; King, S.W. Ultraviolet radiation effects on paramagnetic defects in low-κ dielectrics for ultralarge scale integrated circuit interconnects. Applied Physics Letters 2010, 97, 063506. [Google Scholar] [CrossRef]
- Matsunaga, N.; Okumura, H.; Jinnai, B.; Samukawa, S. Hard-Mask-Through UV-Light-Induced Damage to Low-k Film during Plasma Process for Dual Damascene. Japanese Journal of Applied Physics 2010, 49, 04DB06. [Google Scholar] [CrossRef]
- Ryan, E.T.; Molis, S.E. A plasmaless, photochemical etch process for porous organosilicate glass films. Journal of Applied Physics 2017, 122, 244104. [Google Scholar] [CrossRef]
- Choi, C.K.; Kim, C.Y.; Navamathavan, R.; Lee, H.S.; Woo, J.-K.; Hyun, M.T.; Lee, H.J.; Jeung, W.Y. UV irradiation effects on the bonding structure and electrical properties of ultra low-k SiOC(–H) thin films for 45 nm technology node. Current Applied Physics 2011, 11, S109–S113. [Google Scholar] [CrossRef]
- DiStefano, T.H.; Eastman, D.E. The band edge of amorphous SiO2 by photoinjection and photoconductivity measurements. Solid State Communications 1971, 9, 2259–2261. [Google Scholar] [CrossRef]
- Adamchuk, V.K.; Afanasev, V.V. Photocharging Technique for Barrier Determination on Semiconductor-Insulator Interfaces. physica status solidi (a) 1992, 132, 371–379. [Google Scholar] [CrossRef]
- Powell, R.J.; Derbenwick, G.F. Vacuum Ultraviolet Radiation Effects in SiO2. IEEE Transactions on Nuclear Science 1971, 18, 99–105. [Google Scholar] [CrossRef]
- DiMaria, D.J.; Weinberg, Z.A.; Aitken, J.M. Location of positive charges in SiO2 films on Si generated by vuv photons, x rays, and high-field stressing. Journal of Applied Physics 1977, 48, 898–906. [Google Scholar] [CrossRef]
- Stivers, A.R.; Sah, C.T. A study of oxide traps and interface states of the silicon-silicon dioxide interface. Journal of Applied Physics 1980, 51, 6292–6304. [Google Scholar] [CrossRef]
- Adamchuk, V.K.; Afanasev, V.V.; Akulov, A.V. Electron Trap Activation in Thermal SiO2. physica status solidi (a) 1990, 122, 347–354. [Google Scholar] [CrossRef]
- Afanas'ev, V.V.; Adamchuk, V.K. Injection spectroscopy of localized states in thin insulating layers on semiconductor surfaces. Progress in Surface Science 1994, 47, 301–394. [Google Scholar] [CrossRef]
- Prager, L.; Marsik, P.; Wennrich, L.; Baklanov, M.R.; Naumov, S.; Pistol, L.; Schneider, D.; Gerlach, J.W.; Verdonck, P.; Buchmeiser, M.R. Effect of pressure on efficiency of UV curing of CVD-derived low-k material at different wavelengths. Microelectronic Engineering 2008, 85, 2094–2097. [Google Scholar] [CrossRef]
- Lee, J.; Graves, D.B. Synergistic damage effects of vacuum ultraviolet photons and O2 in SiCOH ultra-low-k dielectric films. Journal of Physics D: Applied Physics 2010, 43, 425201. [Google Scholar] [CrossRef]
- Lee, J.; Graves, D.B. The effect of VUV radiation from Ar/O2 plasmas on low-k SiOCH films. Journal of Physics D: Applied Physics 2011, 44, 325203. [Google Scholar] [CrossRef]
- Rakhimova, T.V.; Rakhimov, A.T.; Mankelevich, Y.A.; Lopaev, D.V.; Kovalev, A.S.; Vasil'eva, A.N.; Proshina, O.V.; Braginsky, O.V.; Zyryanov, S.M.; Kurchikov, K.; et al. Modification of organosilicate glasses low-k films under extreme and vacuum ultraviolet radiation. Applied Physics Letters 2013, 102, 111902. [Google Scholar] [CrossRef]
- Rakhimova, T.V.; Rakhimov, A.T.; Mankelevich, Y.A.; Lopaev, D.V.; Kovalev, A.S.; Vasil'eva, A.N.; Zyryanov, S.M.; Kurchikov, K.; Proshina, O.V.; Voloshin, D.G.; et al. Low-kfilms modification under EUV and VUV radiation. Journal of Physics D: Applied Physics 2014, 47, 025102. [Google Scholar] [CrossRef]
- Jinnai, B.; Fukuda, S.; Ohtake, H.; Samukawa, S. Prediction of UV spectra and UV-radiation damage in actual plasma etching processes using on-wafer monitoring technique. Journal of Applied Physics 2010, 107, 043302. [Google Scholar] [CrossRef]
- Proshina, O.V.; Rakhimova, T.V.; Lopaev, D.V.; Šamara, V.; Baklanov, M.R.; de Marneffe, J.F. Experimental and theoretical study of RF capacitively coupled plasma in Ar–CF4–CF3I mixtures. Plasma Sources Science and Technology 2015, 24, 055006. [Google Scholar] [CrossRef]
- Ren, H.; Jiang, G.; Antonelli, G.A.; Nishi, Y.; Shohet, J.L. The nature of the defects generated from plasma exposure in pristine and ultraviolet-cured low-k organosilicate glass. Applied Physics Letters 2011, 98, 252902. [Google Scholar] [CrossRef]
- Sinha, H.; Straight, D.B.; Lauer, J.L.; Fuller, N.C.; Engelmann, S.U.; Zhang, Y.; Antonelli, G.A.; Severson, M.; Nishi, Y.; Shohet, J.L. Reflectance and substrate currents of dielectric layers under vacuum ultraviolet irradiation. Journal of Vacuum Science & Technology A: Vacuum, Surfaces, and Films 2010, 28, 1316–1318. [Google Scholar] [CrossRef]
- Sinha, H.; Ren, H.; Nichols, M.T.; Lauer, J.L.; Tomoyasu, M.; Russell, N.M.; Jiang, G.; Antonelli, G.A.; Fuller, N.C.; Engelmann, S.U.; et al. The effects of vacuum ultraviolet radiation on low-k dielectric films. Journal of Applied Physics 2012, 112, 111101. [Google Scholar] [CrossRef]
- Afanas'ev, V.V.; Nguyen, A.P.D.; Houssa, M.; Stesmans, A.; Tőkei, Z.; Baklanov, M.R. High-resolution electron spin resonance analysis of ion bombardment induced defects in advanced low-κ insulators (κ = 2.0-2.5). Applied Physics Letters 2013, 102, 172908. [Google Scholar] [CrossRef]
- Stesmans, A.; Scheerlinck, F. Natural intrinsic EX center in thermal SiO2 on Si: 17O hyperfine interaction. Phys Rev B Condens Matter 1994, 50, 5204–5212. [Google Scholar] [CrossRef]
- Stesmans, A.; Scheerlinck, F. Electron-spin-resonance analysis of the natural intrinsic EX center in thermal SiO2 on Si. Phys Rev B Condens Matter 1995, 51, 4987–4997. [Google Scholar] [CrossRef]
- Turek, P.; Bernard, M.; Lardon, N.; Maisonobe, J.C.; Passemard, G. Electron spin resonance (ESR) characterization of defects in low-k dielectrics-temperature effect. In Proceedings of the Proceedings of the IEEE 2000 International Interconnect Technology Conference (Cat. No.00EX407); Burlingame, CA, USA, 07-07 June, 2000, pp. 173–175. [CrossRef]
- Afanas’ev, V.V.; Keunen, K.; Stesmans, A.; Jivanescu, M.; Tőkei, Z.; Baklanov, M.R.; Beyer, G.P. Electron spin resonance study of defects in low-κ oxide insulators (κ=2.5–2.0). Microelectronic Engineering 2011, 88, 1503–1506. [Google Scholar] [CrossRef]
- Pomorski, T.A.; Bittel, B.C.; Cochrane, C.J.; Lenahan, P.M.; Bielefeld, J.; King, S.W. Defects and electronic transport in hydrogenated amorphous SiC films of interest for low dielectric constant back end of the line dielectric systems. Journal of Applied Physics 2013, 114, 074501. [Google Scholar] [CrossRef]
- Pomorski, T.A.; Bittel, B.C.; Lenahan, P.M.; Mays, E.; Ege, C.; Bielefeld, J.; Michalak, D.; King, S.W. Defect structure and electronic properties of SiOC:H films used for back end of line dielectrics. Journal of Applied Physics 2014, 115, 234508. [Google Scholar] [CrossRef]
- Mutch, M.J.; Lenahan, P.M.; King, S.W. Defect chemistry and electronic transport in low-κ dielectrics studied with electrically detected magnetic resonance. Journal of Applied Physics 2016, 119, 094102. [Google Scholar] [CrossRef]
- Mutch, M.J.; Pomorski, T.; Bittel, B.C.; Cochrane, C.J.; Lenahan, P.M.; Liu, X.; Nemanich, R.J.; Brockman, J.; French, M.; Kuhn, M.; et al. Band diagram for low-k/Cu interconnects: The starting point for understanding back-end-of-line (BEOL) electrical reliability. Microelectronics Reliability 2016, 63, 201–213. [Google Scholar] [CrossRef]
- King, S.W.; French, B.; Mays, E. Detection of defect states in low-k dielectrics using reflection electron energy loss spectroscopy. Journal of Applied Physics 2013, 113, 044109. [Google Scholar] [CrossRef]
- Pustovarov, V.A.; Zatsepin, A.F.; Biryukov, D.Y.; Aliev, V.S.; Iskhakzay, R.M.K.; Gritsenko, V.A. Synchrotron-Excited Luminescence and Converting of Defects and Quantum Dots in Modified Silica Films. Journal of Non-Crystalline Solids 2023, 602, 122077. [Google Scholar] [CrossRef]
- Skuja, L. Optically active oxygen-deficiency-related centers in amorphous silicon dioxide. Journal of Non-Crystalline Solids 1998, 239, 16–48. [Google Scholar] [CrossRef]
- Salh, R. Defect Related Luminescence in Silicon Dioxide Network: A Review. In Crystalline Silicon - Properties and Uses; Basu, S., Ed.; IntechOpen: Rijeka, Croatia, 2011. [Google Scholar] [CrossRef]
- Gismatulin, A.A.; Gritsenko, V.A.; Seregin, D.S.; Vorotilov, K.A.; Baklanov, M.R. Charge transport mechanism in periodic mesoporous organosilica low-k dielectric. Applied Physics Letters 2019, 115, 082904. [Google Scholar] [CrossRef]
- Rasadujjaman, M.; Zhang, J.; Spassky, D.A.; Naumov, S.; Vishnevskiy, A.S.; Vorotilov, K.A.; Yan, J.; Baklanov, M.R. UV-Excited Luminescence in Porous Organosilica Films with Various Organic Components. Nanomaterials 2023, 13, 1419. [Google Scholar] [CrossRef]
- El-Sayed, A.M.; Watkins, M.B.; Grasser, T.; Afanas'ev, V.V.; Shluger, A.L. Hydrogen-induced rupture of strained Si horizontal line O bonds in amorphous silicon dioxide. Physical Review Letters 2015, 114, 115503. [Google Scholar] [CrossRef]
- Stesman, A.; Devine, R.; Revesz, A.G.; Hughes, H. Irradiation-induced ESR active defects in SIMOX structures. IEEE Transactions on Nuclear Science 1990, 37, 2008–2012. [Google Scholar] [CrossRef]
- Devine, R.A.B.; Warren, W.L.; Xu, J.B.; Wilson, I.H.; Paillet, P.; Leray, J.L. Oxygen gettering and oxide degradation during annealing of Si/SiO2/Si structures. Journal of Applied Physics 1995, 77, 175–186. [Google Scholar] [CrossRef]
- Hervé, D.; Leray, J.L.; Devine, R.A.B. Comparative study of radiation-induced electrical and spin active defects in buried SiO2 layers. Journal of Applied Physics 1992, 72, 3634–3640. [Google Scholar] [CrossRef]
- Warren, W.L.; Shaneyfelt, M.R.; Schwank, J.R.; Fleetwood, D.M.; Winokur, P.S.; Devine, R.A.B.; Maszara, W.P.; McKitterick, J.B. Paramagnetic defect centers in BESOI and SIMOX buried oxides. IEEE Transactions on Nuclear Science 1993, 40, 1755–1764. [Google Scholar] [CrossRef]
- Afanas’ev, V.V.; Stesmans, A.; Revesz, A.G.; Hughes, H.L. Structural inhomogeneity and silicon enrichment of buried SiO2 layers formed by oxygen ion implantation in silicon. Journal of Applied Physics 1997, 82, 2184–2199. [Google Scholar] [CrossRef]
- Shamuilia, S.; Afanas’ev, V.V.; Somers, P.; Stesmans, A.; Li, Y.L.; Tőkei, Z.; Groeseneken, G.; Maex, K. Internal photoemission of electrons at interfaces of metals with low-κ insulators. Applied Physics Letters 2006, 89, 202909. [Google Scholar] [CrossRef]
- Afanas’ev, V.V.; Keunen, K.; Nguyen, A.P.D.; Jivanescu, M.; Stesmans, A.; Tokei, Z.; Baklanov, M.R.; Beyer, G.P. Defects in Low-k Insulators (κ=2.5 – 2.0): ESR Analysis and Charge Injection. MRS Proceedings 2011, 1335, 404. [Google Scholar] [CrossRef]
- Nichols, M.T.; Sinha, H.; Wiltbank, C.A.; Antonelli, G.A.; Nishi, Y.; Shohet, J.L. Time-dependent dielectric breakdown of plasma-exposed porous organosilicate glass. Applied Physics Letters 2012, 100, 112905. [Google Scholar] [CrossRef]
- Nichols, M.T.; Mavrakakis, K.; Lin, Q.; Shohet, J.L. The effects of plasma exposure and vacuum ultraviolet irradiation on photopatternable low-k dielectric materials. Journal of Applied Physics 2013, 114, 104107. [Google Scholar] [CrossRef]
- Ren, H.; Nichols, M.T.; Jiang, G.; Antonelli, G.A.; Nishi, Y.; Shohet, J.L. Defects in low-k organosilicate glass and their response to processing as measured with electron-spin resonance. Applied Physics Letters 2011, 98, 102903. [Google Scholar] [CrossRef]
- Cheynet, M.; Volpi, F.; Pokrant, S.; Pantel, R.; Aimadedinne, M.; Arnal, V.G.I.T.I.M. , 1, 44 (2009). HAADF and EELS Study of ULK Dielectrics. G. I. T Imaging & Microscopy 2009, 1, 44. [Google Scholar]
- Singh, P.K.; Knaup, J.M.; Zimmermann, S.; Schulze, S.; Schulz, S.E.; Frauenheim, T.; Hietschold, M. The dielectric response of low-k interlayer dielectric material characterized by electron energy loss spectroscopy. Microporous and Mesoporous Materials 2014, 187, 23–28. [Google Scholar] [CrossRef]
- Zheng, H.; King, S.W.; Ryan, V.; Nishi, Y.; Shohet, J.L. Bandgap measurements of low-k porous organosilicate dielectrics using vacuum ultraviolet irradiation. Applied Physics Letters 2014, 104, 062904. [Google Scholar] [CrossRef]
- Nichols, M.T.; Li, W.; Pei, D.; Antonelli, G.A.; Lin, Q.; Banna, S.; Nishi, Y.; Shohet, J.L. Measurement of bandgap energies in low-k organosilicates. Journal of Applied Physics 2014, 115, 094105. [Google Scholar] [CrossRef]
- Saito, K.; Ikushima, A.J. Absorption edge in silica glass. Physical Review B 2000, 62, 8584–8587. [Google Scholar] [CrossRef]
- Trukhin, A.N. Luminescence of localized states in silicon dioxide glass. A short review. Journal of Non-Crystalline Solids 2011, 357, 1931–1940. [Google Scholar] [CrossRef]
- Atkin, J.M.; Song, D.; Shaw, T.M.; Cartier, E.; Laibowitz, R.B.; Heinz, T.F. Photocurrent spectroscopy of low-k dielectric materials: Barrier heights and trap densities. Journal of Applied Physics 2008, 103, 094104. [Google Scholar] [CrossRef]
- Palov, A.P.; Voronina, E.N.; Rakhimova, T.V.; Lopaev, D.V.; Zyryanov, S.M.; Mankelevich, Y.A.; Krishtab, M.B.; Baklanov, M.R. Effect of porosity and pore size on dielectric constant of organosilicate based low-k films: An analytical approach. Journal of Vacuum Science & Technology B, Nanotechnology and Microelectronics: Materials, Processing, Measurement, and Phenomena 2016, 34, 041205. [Google Scholar] [CrossRef]
- King, S.W.; French, M.; Jaehnig, M.; Kuhn, M.; French, B. X-ray photoelectron spectroscopy investigation of the Schottky barrier at low-k a-SiO(C):H/Cu interfaces. Applied Physics Letters 2011, 99, 202903. [Google Scholar] [CrossRef]
- Dag, Ö.; Yoshina-Ishii, C.; Asefa, T.; MacLachlan, M.J.; Grondey, H.; Coombs, N.; Ozin, G.A. Oriented Periodic Mesoporous Organosilica (PMO) Film with Organic Functionality Inside the Channel Walls. Advanced Functional Materials 2001, 11, 213–217. [Google Scholar] [CrossRef]
- Dubois, G.; Volksen, W.; Magbitang, T.; Sherwood, M.H.; Miller, R.D.; Gage, D.M.; Dauskardt, R.H. Superior mechanical properties of dense and porous organic/inorganic hybrid thin films. Journal of Sol-Gel Science and Technology 2008, 48, 187–193. [Google Scholar] [CrossRef]
- Hoffmann, F.; Cornelius, M.; Morell, J.; Froba, M. Silica-based mesoporous organic-inorganic hybrid materials. Angew Chem Int Ed Engl 2006, 45, 3216–3251. [Google Scholar] [CrossRef]
- Dubois, G.; Volksen, W.; Magbitang, T.; Miller, R.D.; Gage, D.M.; Dauskardt, R.H. Molecular Network Reinforcement of Sol–Gel Glasses. Advanced Materials 2007, 19, 3989–3994. [Google Scholar] [CrossRef]
- Vanstreels, K.; Wu, C.; Baklanov, M.R. Mechanical Stability of Porous Low-k Dielectrics. ECS Journal of Solid State Science and Technology 2014, 4, N3058–N3064. [Google Scholar] [CrossRef]
- Burg, J.A.; Oliver, M.S.; Frot, T.J.; Sherwood, M.; Lee, V.; Dubois, G.; Dauskardt, R.H. Hyperconnected molecular glass network architectures with exceptional elastic properties. Nature Communications 2017, 8, 1019. [Google Scholar] [CrossRef]
- Lu, Y.; Fan, H.; Doke, N.; Loy, D.A.; Assink, R.A.; LaVan, D.A.; Brinker, C.J. Evaporation-Induced Self-Assembly of Hybrid Bridged Silsesquioxane Film and Particulate Mesophases with Integral Organic Functionality. Journal of the American Chemical Society 2000, 122, 5258–5261. [Google Scholar] [CrossRef]
- Perdew, J.P.; Burke, K.; Ernzerhof, M. Generalized Gradient Approximation Made Simple. Physical Review Letters 1996, 77, 3865–3868. [Google Scholar] [CrossRef]
- Adamo, C.; Barone, V. Toward reliable density functional methods without adjustable parameters: The PBE0 model. The Journal of Chemical Physics 1999, 110, 6158–6170. [Google Scholar] [CrossRef]
- Grimme, S.; Antony, J.; Ehrlich, S.; Krieg, H. A consistent and accurate ab initio parametrization of density functional dispersion correction (DFT-D) for the 94 elements H-Pu. The Journal of Chemical Physics 2010, 132, 154104. [Google Scholar] [CrossRef] [PubMed]
- Jaguar, version 9.6, Schrodinger, Inc., New York, USA. 2017.
- Baklanov, M.R.; Mogilnikov, K.P.; Polovinkin, V.G.; Dultsev, F.N. Determination of pore size distribution in thin films by ellipsometric porosimetry. Journal of Vacuum Science & Technology B: Microelectronics and Nanometer Structures Processing, Measurement, and Phenomena 2000, 18, 1385–1391. [Google Scholar] [CrossRef]
- Marsik, P.; Verdonck, P.; De Roest, D.; Baklanov, M.R. Porogen residues detection in optical properties of low-k dielectrics cured by ultraviolet radiation. Thin Solid Films 2010, 518, 4266–4272. [Google Scholar] [CrossRef]
- Griscom, D.L. Optical Properties and Structure of Defects in Silica Glass. Journal of the Ceramic Society of Japan 1991, 99, 923–942. [Google Scholar] [CrossRef]
- Urbanowicz, A.M.; Shamiryan, D.; Zaka, A.; Verdonck, P.; De Gendt, S.; Baklanov, M.R. Effects of He Plasma Pretreatment on Low-k Damage during Cu Surface Cleaning with NH3 Plasma. Journal of The Electrochemical Society 2010, 157, H565. [Google Scholar] [CrossRef]
- Guo, X.; Zheng, H.; King, S.W.; Afanas'ev, V.V.; Baklanov, M.R.; de Marneffe, J.F.; Nishi, Y.; Shohet, J.L. Defect-induced bandgap narrowing in low-k dielectrics. Applied Physics Letters 2015, 107, 082903. [Google Scholar] [CrossRef]
- Van Besien, E.; Pantouvaki, M.; Zhao, L.; De Roest, D.; Baklanov, M.R.; Tőkei, Z.; Beyer, G. Influence of porosity on electrical properties of low-k dielectrics. Microelectronic Engineering 2012, 92, 59–61. [Google Scholar] [CrossRef]
- Grill, A.; Patel, V. Low dielectric constant films prepared by plasma-enhanced chemical vapor deposition from tetramethylsilane. Journal of Applied Physics 1999, 85, 3314–3318. [Google Scholar] [CrossRef]
- Grill, A. Plasma enhanced chemical vapor deposited SiCOH dielectrics: from low-k to extreme low-k interconnect materials. Journal of Applied Physics 2003, 93, 1785–1790. [Google Scholar] [CrossRef]
- Zhao, L.; Tokei, Z.; Gischia, G.G.; Volders, H.; Beyer, G. A new perspective of barrier material evaluation and process optimization. In Proceedings of the 2009 IEEE International Interconnect Technology Conference, Sapporo, Japan, 01-03 June 2009; pp. 206–208. [Google Scholar] [CrossRef]
- O'Reilly, E.P.; Robertson, J. Theory of defects in vitreous silicon dioxide. Physical Review B 1983, 27, 3780–3795. [Google Scholar] [CrossRef]
- Afanas’ev, V.V.; Bassler, M.; Pensl, G.; Schulz, M.J.; Stein von Kamienski, E. Band offsets and electronic structure of SiC/SiO2 interfaces. Journal of Applied Physics 1996, 79, 3108–3114. [Google Scholar] [CrossRef]
- Afanas'ev, V.V.; Stesmans, A.; Andersson, M.O. Electron states and microstructure of thin a-C:H layers. Phys Rev B Condens Matter 1996, 54, 10820–10826. [Google Scholar] [CrossRef]
- Lin, K.L.; Bielefeld, J.; Chawla, J.S.; Carver, C.T.; Chebiam, R.; Clarke, J.S.; Faber, J.; Harmes, M.; Indukuri, T.; Jezewski, C.; et al. Demonstration of new planar capacitor (PCAP) vehicles to evaluate dielectrics and metal barrier thin films. In Proceedings of the 2015 IEEE International Interconnect Technology Conference and 2015 IEEE Materials for Advanced Metallization Conference (IITC/MAM), Grenoble, France, 18-21 May 2015; pp. 139–142. [Google Scholar] [CrossRef]
- Baklanov, M.R.; Zhao, L.; Besien, E.V.; Pantouvaki, M. Effect of porogen residue on electrical characteristics of ultra low-k materials. Microelectronic Engineering 2011, 88, 990–993. [Google Scholar] [CrossRef]
- Wu, C.; Li, Y.; Barbarin, Y.; Ciofi, I.; Croes, K.; Bömmels, J.; De Wolf, I.; Tőkei, Z. Correlation between field dependent electrical conduction and dielectric breakdown in a SiCOH based low-k (k = 2.0) dielectric. Applied Physics Letters 2013, 103, 032904. [Google Scholar] [CrossRef]
- Proost, J.; Baklanov, M.; Maex, K.; Delaey, L. Compensation effect during water desorption from siloxane-based spin-on dielectric thin films. Journal of Vacuum Science & Technology B: Microelectronics and Nanometer Structures Processing, Measurement, and Phenomena 2000, 18, 303–306. [Google Scholar] [CrossRef]
- Li, Y.; Ciofi, I.; Carbonell, L.; Heylen, N.; Van Aelst, J.; Baklanov, M.R.; Groeseneken, G.; Maex, K.; Tőkei, Z. Influence of absorbed water components on SiOCH low-k reliability. Journal of Applied Physics 2008, 104, 034113. [Google Scholar] [CrossRef]
- Krishtab, M.; Afanas'ev, V.; Stesmans, A.; De Gendt, S. Leakage current induced by surfactant residues in self-assembly based ultralow-k dielectric materials. Applied Physics Letters 2017, 111, 032908. [Google Scholar] [CrossRef]
- Vanstreels, K.; Ciofi, I.; Barbarin, Y.; Baklanov, M. Influence of porosity on dielectric breakdown of ultralow-k dielectrics. Journal of Vacuum Science & Technology B, Nanotechnology and Microelectronics: Materials, Processing, Measurement, and Phenomena 2013, 31, 050604. [Google Scholar] [CrossRef]
- Urbanowicz, A.M.; Vanstreels, K.; Verdonck, P.; Shamiryan, D.; De Gendt, S.; Baklanov, M.R. Improving mechanical robustness of ultralow-k SiOCH plasma enhanced chemical vapor deposition glasses by controlled porogen decomposition prior to UV-hardening. Journal of Applied Physics 2010, 107, 104122. [Google Scholar] [CrossRef]
- Wu, C.; Li, Y.; Baklanov, M.R.; Croes, K. Electrical Reliability Challenges of Advanced Low-k Dielectrics. ECS Journal of Solid State Science and Technology 2014, 4, N3065–N3070. [Google Scholar] [CrossRef]
- Snyder, L.R.; Ward, J.W. The Surface Structure of Porous Silicas. The Journal of Physical Chemistry 1966, 70, 3941–3952. [Google Scholar] [CrossRef]
- Iler, R. K. The chemistry of Silica; Wiley & Sons: New York, USA, 1979. [Google Scholar]
- Kayaba, Y.; Kikkawa, T. Theoretical Investigation of Maximum Field Strength in Porous Silica Dielectric. Japanese Journal of Applied Physics 2008, 47, 5314. [Google Scholar] [CrossRef]
- Changsoo, H.; Milor, L. Effect of Porosity on Charge Transport in Porous Ultra-Low-k Dielectrics. In Proceedings of the 2006 International Interconnect Technology Conference, Burlingame, CA, USA, 05-07 June 2006; pp. 140–142. [Google Scholar] [CrossRef]
- Shou-Chung, L.; Oates, A.S.; Kow-Ming, C. Fundamental understanding of porous low-k dielectric breakdown. In Proceedings of the 2009 IEEE International Reliability Physics Symposium, Montreal, QC, Canada, 26-30 April 2009; pp. 481–485. [Google Scholar] [CrossRef]
- Ogawa, E.T.; Jinyoung, K.; Haase, G.S.; Mogul, H.C.; McPherson, J.W. Leakage, breakdown, and TDDB characteristics of porous low-k silica-based interconnect dielectrics. In Proceedings of the 2003 IEEE International Reliability Physics Symposium Proceedings, 2003. 41st Annual, Dallas, TX, USA, 30 March - 04 April 2003; pp. 166–172. [Google Scholar] [CrossRef]
- Wu, E.Y.; Vollertsen, R.P. On the weibull shape factor of intrinsic breakdown of dielectric films and its accurate experimental determination-part I: theory, methodology, experimental techniques. IEEE Transactions on Electron Devices 2002, 49, 2131–2140. [Google Scholar] [CrossRef]
- Barbarin, Y.; Croes, K.; Roussel, P.J.; Li, Y.; Verdonck, P.; Baklanov, M.; Tokei, Z.; Zhao, L. Reliability characteristics of thin porous low-K silica-based interconnect dielectrics. In Proceedings of the 2013 IEEE International Reliability Physics Symposium (IRPS), Monterey, CA, USA, 14-18 April 2013; pp. 2F.3.1–2F.3.5. [Google Scholar] [CrossRef]
- Gismatulin, A.A.; Kamaev, G.N.; Volodin, V.A.; Gritsenko, V.A. Charge Transport Mechanism in the Forming-Free Memristor Based on PECVD Silicon Oxynitride. Electronics 2023, 12, 598. [Google Scholar] [CrossRef]
- Sze, S.M.; Ng, K.K. Physics of Semiconductor Devices, 3rd ed.; Wiley: New York, 2006. [Google Scholar] [CrossRef]
- Ohring, M. Reliability and Failure of Electronic Materials and Devices; Academic Press: San Diego, USA, 1998. [Google Scholar]
- Schottky, W. Über den Einfluss von Strukturwirkungen, besonders der Thomsonschen Bildkraft, auf die Elektronenemission der Metalle. Physikalische Zeitschrift 1914, 15, 872–878. [Google Scholar]
- Gritsenko, V.A.; Meerson, E.E.; Morokov, Y.N. Thermally assisted hole tunneling at the Au−Si3N4 interface and the energy-band diagram of metal-nitride-oxide-semiconductor structures. Physical Review B 1998, 57, R2081–R2083. [Google Scholar] [CrossRef]
- Fowler, R.H.; Nordheim, L. Electron emission in intense electric fields. Proceedings of the Royal Society of London. Series A, Containing Papers of a Mathematical and Physical Character 1928, 119, 173–181. [Google Scholar] [CrossRef]
- Frenkel, J. On Pre-Breakdown Phenomena in Insulators and Electronic Semi-Conductors. Physical Review 1938, 54, 647–648. [Google Scholar] [CrossRef]
- Hill, R.M. Poole-Frenkel conduction in amorphous solids. The Philosophical Magazine: A Journal of Theoretical Experimental and Applied Physics 1971, 23, 59–86. [Google Scholar] [CrossRef]
- Adachi, H.; Shibata, Y.; Ono, S. On electronic conduction through evaporated silicon oxide films. Journal of Physics D: Applied Physics 1971, 4, 988. [Google Scholar] [CrossRef]
- Makram-Ebeid, S.; Lannoo, M. Quantum model for phonon-assisted tunnel ionization of deep levels in a semiconductor. Physical Review B 1982, 25, 6406–6424. [Google Scholar] [CrossRef]
- Nasyrov, K.A.; Gritsenko, V.A. Charge transport in dielectrics via tunneling between traps. Journal of Applied Physics 2011, 109, 093705. [Google Scholar] [CrossRef]
- Lloyd, J.R.; Liniger, E.; Shaw, T.M. Simple model for time-dependent dielectric breakdown in inter- and intralevel low-k dielectrics. Journal of Applied Physics 2005, 98, 084109. [Google Scholar] [CrossRef]
- Wu, C.; Li, Y.; Barbarin, Y.; Ciofi, I.; Tang, B.; Kauerauf, T.; Croes, K.; Bommels, J.; De Wolf, I.; Tokei, Z. Towards the understanding of intrinsic degradation and breakdown mechanisms of a SiOCH low-k dielectric. In Proceedings of the 2014 IEEE International Reliability Physics Symposium, Waikoloa, HI, USA, 01-05 June 2014; pp. 3A.2.1–3A.2.6. [Google Scholar] [CrossRef]
- Gischia, G.G.; Croes, K.; Groeseneken, G.; Tokei, Z.; Afanas'ev, V.; Zhao, L. Study of leakage mechanism and trap density in porous low-k materials. In Proceedings of the 2010 IEEE International Reliability Physics Symposium, Anaheim, CA, USA, 02-06 May 2010; pp. 549–555. [Google Scholar] [CrossRef]
- Perevalov, T.V.; Gismatulin, A.A.; Dolbak, A.E.; Gritsenko, V.A.; Trofimova, E.S.; Pustovarov, V.A.; Seregin, D.S.; Vorotilov, K.A.; Baklanov, M.R. Charge Transport Mechanism and Trap Origin in Methyl-Terminated Organosilicate Glass Low-κ Dielectrics. physica status solidi (a) 2020, 218, 2000654. [Google Scholar] [CrossRef]
- Perevalov, T.V.; Gismatulin, A.A.; Gritsenko, V.A.; Xu, H.; Zhang, J.; Vorotilov, K.A.; Baklanov, M.R. Charge Transport Mechanism in a PECVD Deposited Low-k SiOCH Dielectric. Journal of Electronic Materials 2022, 51, 2521–2527. [Google Scholar] [CrossRef]
- Islamov, D.R.; Gritsenko, V.A.; Perevalov, T.V.; Orlov, O.M.; Krasnikov, G.Y. The charge transport mechanism and electron trap nature in thermal oxide on silicon. Applied Physics Letters 2016, 109, 052901. [Google Scholar] [CrossRef]
- Lloyd, J.R.; Liniger, E.; Chen, S.T. Time dependent dielectric breakdown in a low-k interlevel dielectric. Microelectronics Reliability 2004, 44, 1861–1865. [Google Scholar] [CrossRef]
- Attallah, A.G.; Koehler, N.; Liedke, M.O.; Butterling, M.; Hirschmann, E.; Ecke, R.; Schulz, S.E.; Wagner, A. Thermal kinetics of free volume in porous spin-on dielectrics: Exploring the network- and pore-properties. Microporous and Mesoporous Materials 2020, 308, 110457. [Google Scholar] [CrossRef]
- Wu, C.; Li, Y.; Les̈niewska, A.; Varela Pedreira, O.; De Marneffe, J.F.; Ciofi, I.; Verdonck, P.; Baklanov, M.R.; Bömmels, J.; De Wolf, I.; et al. Correlation between stress-induced leakage current and dielectric degradation in ultra-porous SiOCH low-k materials. Journal of Applied Physics 2015, 118, 164101. [Google Scholar] [CrossRef]
- Gritsenko, V.; Wong, H. Atomic and Electronic Structures of Traps in Silicon Oxide and Silicon Oxynitride. Critical Reviews in Solid State and Materials Sciences 2011, 36, 129–147. [Google Scholar] [CrossRef]






















| Defects | E’ | NBOHC | ODC(I) | ODC(II) | sp3 carbon | sp2 carbon |
|---|---|---|---|---|---|---|
| Griscom [147] | 5.85 | 4.8 | 7.6 | 5.0 | ||
| Skuja [110] | 5.61 | 4.7 | 7.5 | 5.3 | ||
| Marsik [146] | 6.2 | 4.5 | ||||
| King [108] | 7.2 | 5.0 | 2–6 | |||
| Sample number | Porosity (%) | k value | Bandgap before ion sputtering (eV) | Bandgap after ion sputtering (eV) |
|---|---|---|---|---|
| 1 | 0 | 3.3 | 8.1 | 6.8 |
| 2 | 25 | 2.5 | 8.0 | 6.2 |
| 3 | 34 | 2.2 | 8.3 | 6.1 |
| Sample Number | Label | Porosity (%) | K value | Curing WL (nm) |
|---|---|---|---|---|
| 1 | CVD1 | 24 | 2.5 | >200 |
| 2 | CVD2 | 24 | 2.5 | 172 |
| 3 | CVD2*[158] | 24 | 2.5 | >200 |
| 4 | CVD3 | 33 | 2.3 | 172 |
| 5 | CVD3*[158] | 33 | 2.3 | >200 |
| 6 | CVD4 | ±5 | 3.0 | No |
| 7 | CVD5 | n/a | 3.2 | No |
| 8 | SOG_org | 30 | 2.2 | No |
| 9 | SOG_inorg | 35 | 2.3 | No |
Disclaimer/Publisher’s Note: The statements, opinions and data contained in all publications are solely those of the individual author(s) and contributor(s) and not of MDPI and/or the editor(s). MDPI and/or the editor(s) disclaim responsibility for any injury to people or property resulting from any ideas, methods, instructions or products referred to in the content. |
© 2024 by the authors. Licensee MDPI, Basel, Switzerland. This article is an open access article distributed under the terms and conditions of the Creative Commons Attribution (CC BY) license (http://creativecommons.org/licenses/by/4.0/).






















