Submitted:
01 July 2024
Posted:
01 July 2024
You are already at the latest version
Abstract
Keywords:
1. Introduction
2. Materials and Methods
2.1. Field Experiments
2.2. Fit CNDC
2.3. N Use Parameters and NNI
2.4. Statistical Analysis
3. Results
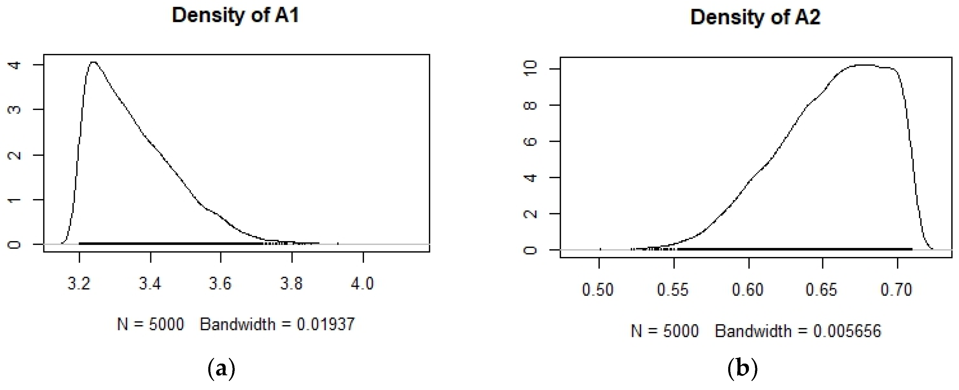
3.1. Critical N Dilution Curve
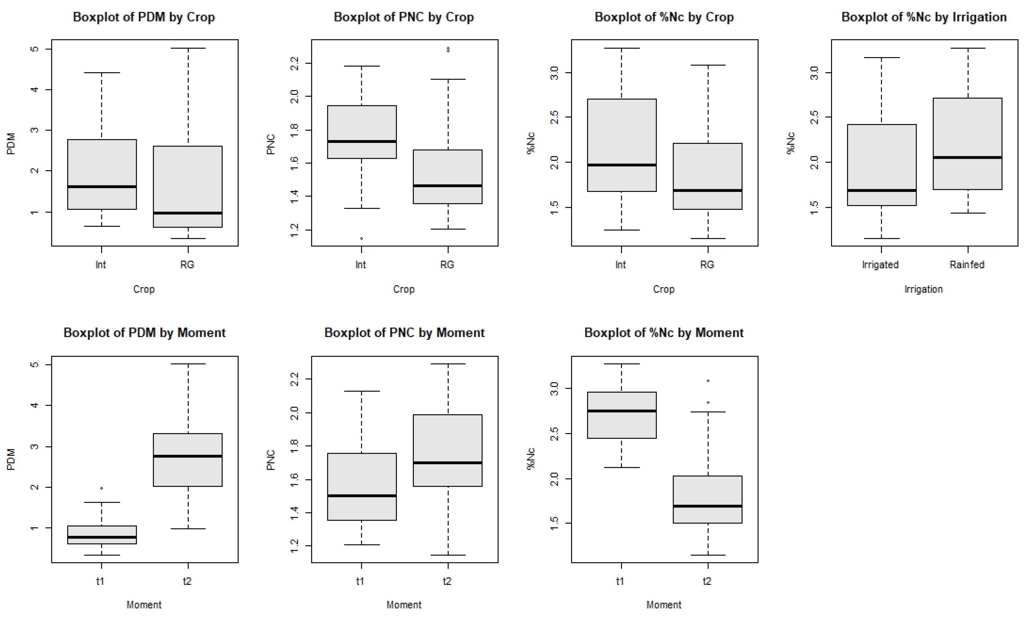
3.2. Variations of Crops N Use Parameters and NNI
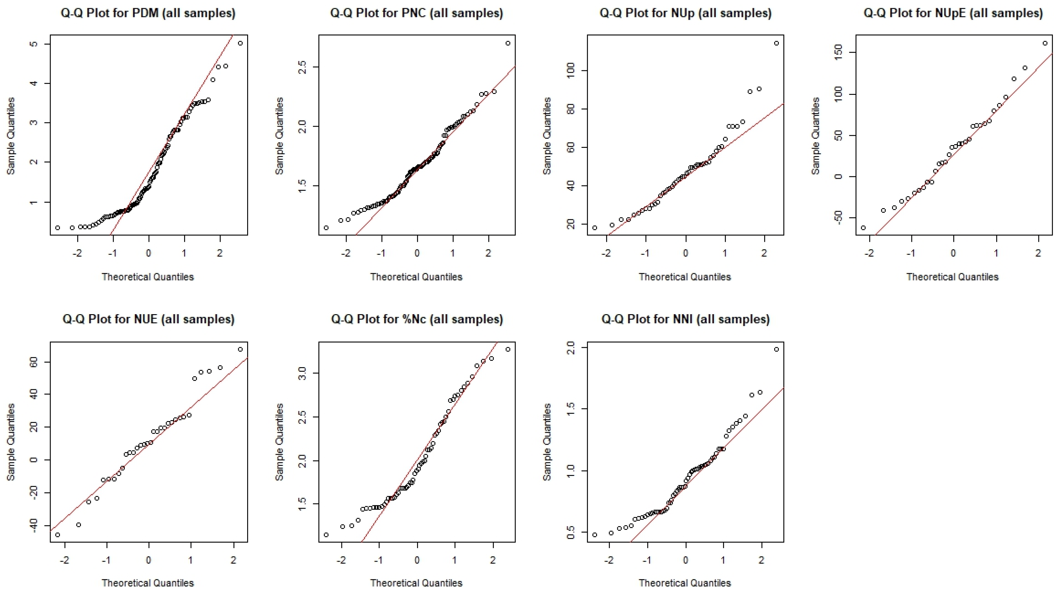
3.1.1. Variables with Non-Normal Distribution
3.1.2. Variables with Normal Distribution
3.3. Relationships between NNI and N Use Parameters

4. Discussion
CNDC
PDM and PNC
N Use Parameters and NNI
Correlations
Implications for Practical Ryegrass-Based Fodder Crop Production
5. Conclusions
Author Contributions
Funding
Data Availability Statement
Acknowledgments
Conflicts of Interest
References
- European Comission Ensuring Availability and Affordability of Fertilisers.
- European Comission Farm to Fork Strategy.
- Patanita, M.; Tomaz, A.; Ramos, T.; Oliveira, P.; Boteta, L.; Dôres, J. Water Regime and Nitrogen Management to Cope with Wheat Yield Variability under the Mediterranean Conditions of Southern Portugal. Plants 2019, 8, 429. [CrossRef]
- Ulrich, A. Physiological Bases for Assessing the Nutritional Requirements of Plants. Annu Rev Plant Physiol 1952, 3, 207–228. [CrossRef]
- Lemaire, G.; Salette, J.; Sigogne, M.; Terrasson, J.-P.; LEMAIRE Jean SALETTE Monique SIGOGNE Jean-Pierre TERRASSON LNRA, G. Relation Entre Dynamique de Croissance et Dynamique de Prélèvement d’azote Pour Un Peuplement de Graminées Fourragères. I.-Etude de l’effet Du Milieu Relation Entre Dynamique de Croissance et Dynamique de Prélèvement d’azote Pour Un Peuplement de Graminées Fourragères. I. — Etude de l’effet Du Milieu; 1984; Vol. 4;.
- Sandaña, P.; Lobos, I.A.; Pavez, P.B.; Moscoso, C.J. Validation of a Critical Nitrogen Dilution Curve for Hybrid Ryegrasses. Grass and Forage Science 2019, 74, 370–380. [CrossRef]
- Lemaire, G.; Meynard, J.M. Use of the Nitrogen Nutrition Index for the Analysis of Agronomical Data. In Diagnosis of the Nitrogen Status in Crops; Springer Berlin Heidelberg: Berlin, Heidelberg, 1997; pp. 45–55.
- Hoogmoed, M.; Neuhaus, A.; Noack, S.; Sadras, V.O. Benchmarking Wheat Yield against Crop Nitrogen Status. Field Crops Res 2018, 222, 153–163. [CrossRef]
- Makowski, D.; Zhao, B.; Ata-Ul-Karim, S.T.; Lemaire, G. Analyzing Uncertainty in Critical Nitrogen Dilution Curves. European Journal of Agronomy 2020, 118, 126076. [CrossRef]
- Lacasa, J.; Makowski, D.; Hefley, T.; Fernandez, J.; van Versendaal, E.; Lemaire, G.; Ciampitti, I. Comparison of Statistical Methods to Fit Critical Nitrogen Dilution Curves. European Journal of Agronomy 2023, 145, 126770. [CrossRef]
- Marino, M.A.; Mazzanti, A.; Assuero, S.G.; Gastal, F.; Echeverría, H.E.; Andrade, F. Nitrogen Dilution Curves and Nitrogen Use Efficiency During Winter–Spring Growth of Annual Ryegrass. Agron J 2004, 96, 601–607. [CrossRef]
- Sandaña, P.; Lobos, I.A.; Pavez, P.B.; Moscoso, C.J. Nitrogen Nutrition Index and Forage Yield Explain Nitrogen Utilization Efficiency in Hybrid Ryegrasses under Different Nitrogen Availabilities. Field Crops Res 2021, 265, 108101. [CrossRef]
- Oral, E. Effect of nitrogen fertilization levels on grain yield and yield components in triticale based on ammi and gge biplot analysis. Appl Ecol Environ Res 2018, 16, 4865–4878. [CrossRef]
- Perez, C.M.; Juliano, B. 0; Liboon, S.P.; Alcantara, J.M.; Cassman, K.G. Effects of Late Nitrogen Fertilizer Application on Head Rice Yield, Protein Content, and Grain Quality of Rice; 1996;
- Ryan-Salter, T.P.; Black, A.D. Yield of Italian Ryegrass Mixed with Red Clover and Balansa Clover. Proceedings of the New Zealand Grassland Association 2012, 201–207. [CrossRef]
- Cardoso, J. A Classificação de Solos de Portugal. In Boletim de Solos do SROA; 1974; Vol. 17, pp. 14–46.
- Köppen, W. Versuch Einer Klassifikation Der Klimate, Vorzugsweise Nach Ihren Beziehungen Zur Pflanzenwelt. Geogr Z 1900, 6, 593–611.
- Kjeldahl, J. Neue Methode Zur Bestimmung Des Stickstoffs in Organischen Körpern. Fresenius’ Zeitschrift für analytische Chemie 1883, 22, 366–382. [CrossRef]
- R Core Team R: A Language and Environment for Statistical Computing 2023.
- Martyn Plummer; Alexey Stukalov; Matt Denwood Package Rjags 2024.
- Lemaire, G.; Gastal, F. N Uptake and Distribution in Plant Canopies. In Diagnosis of the Nitrogen Status in Crops; Springer Berlin Heidelberg: Berlin, Heidelberg, 1997; pp. 3–43.
- Louarn, G.; Bedoussac, L.; Gaudio, N.; Journet, E.-P.; Moreau, D.; Steen Jensen, E.; Justes, E. Plant Nitrogen Nutrition Status in Intercrops– a Review of Concepts and Methods. European Journal of Agronomy 2021, 124, 126229. [CrossRef]
- Soussana, J.; Arregui, M. Impact de l’association Sur Le Niveau de Nutrition Azotée et La Croissance Du Ray-Grass Anglais et Du Trèfle Blanc;
- GREENWOOD, D.J.; LEMAIRE, G.; GOSSE, G.; CRUZ, P.; DRAYCOTT, A.; NEETESON, J.J. Decline in Percentage N of C3 and C4 Crops with Increasing Plant Mass. Ann Bot 1990, 66, 425–436. [CrossRef]
- Bélanger, G.; Ziadi, N. Phosphorus and Nitrogen Relationships during Spring Growth of an Aging Timothy Sward. Agron J 2008, 100, 1757–1762. [CrossRef]
- Gislum, R.; Boelt, B. Validity of Accessible Critical Nitrogen Dilution Curves in Perennial Ryegrass for Seed Production. Field Crops Res 2009, 111, 152–156. [CrossRef]
- Agnusdei, M.G.; Assuero, S.G.; Lattanzi, F.A.; Marino, M.A. Critical N Concentration Can Vary with Growth Conditions in Forage Grasses: Implications for Plant N Status Assessment and N Deficiency Diagnosis. Nutr Cycl Agroecosyst 2010, 88, 215–230. [CrossRef]
- William Revelle Package Psych 2024.
- Alexis Dinno Package Dunn.Test 2024.
- Fernandez, J.A.; van Versendaal, E.; Lacasa, J.; Makowski, D.; Lemaire, G.; Ciampitti, I.A. Dataset Characteristics for the Determination of Critical Nitrogen Dilution Curves: From Past to New Guidelines. European Journal of Agronomy 2022, 139, 126568. [CrossRef]
- Dordas, C. Nitrogen Nutrition Index and Leaf Chlorophyll Concentration and Its Relationship with Nitrogen Use Efficiency in Barley ( Hordeum Vulgare L.). J Plant Nutr 2017, 40, 1190–1203. [CrossRef]
- Louarn, G.; Chabbi, A.; Gastal, F. Nitrogen Concentration in the Upper Leaves of the Canopy Is a Reliable Indicator of Plant N Nutrition in Both Pure and Mixed Grassland Swards. Grass and Forage Science 2020, 75, 127–133. [CrossRef]
- Dordas, C.A. Nitrogen Nutrition Index and Its Relationship to N Use Efficiency in Linseed. European Journal of Agronomy 2011, 34, 124–132. [CrossRef]









| Crop | Species and Varieties | Percent in the Crop (%) | Seeds m-2 |
|---|---|---|---|
| Annual ryegrass (RG) | Lolium multiflorum L. cv Diamond T | 100 | 1,400 |
| Intercropping ryegrass-based (Int) |
Lolium multiflorum L. cv Hellen | 67 | 1,531 2,5391 |
| Trifolium vesiculosum. cv Comm | 10 | ||
| Trifolium resupinatum. cv Lightning | 17 | ||
| Trifolium michellanium. cv Balansa Paradana | 6 |
| Crop/Species | A1 | A2 | Ref. |
|---|---|---|---|
| Festuca arundinacea Schreb. and Dactylis glomerata L. | 4.8 | 0.32 | [5] |
| C3 crops | 5.7 | 0.50 | [24] |
| Lolium multiflorum L.1 | 4.1 | 0.38 | [11] |
| Pheleum pratense L. | 3.7 | 0.35 | [25] |
| Lolium perenne L. | 6.3 | 0.71 | [26] |
| Lolium multiflorum L. 2 | 3.5 | 0.36 | [27] |
| Festuca arundinacea Schreb. | 4.7 | 0.55 | [27] |
| Avena sativa L. | 3.2 | 0.26 | [27] |
| Minimum | 3.2 | 0.26 | |
| Maximum | 6.3 | 0.71 |
| CI 97.5% | Mean | SD | Naive SE | Time-Series SE | |
|---|---|---|---|---|---|
| A1 | 3.634 | 3.356 | 0.119 | 0.00 | 0.00 |
| A2 | 0.708 | 0.657 | 0.036 | 0.00 | 0.00 |
| PDM (t ha-1) |
PNC (%) |
NUp (kg ha-1) |
NUpE (%) |
NUE (kg kg N ha-1) |
%Nc (%) |
NNI | |
|---|---|---|---|---|---|---|---|
| n | 96 | 96 | 48 | 32 | 32 | 60 | 60 |
| mean | 1.78 | 1.67 | 47.33 | 32.92 | 11.82 | 2.03 | 0.94 |
| sd | 1.15 | 0.3 | 19.58 | 52.87 | 26.97 | 0.56 | 0.31 |
| median | 1.44 | 1.65 | 45.65 | 35.52 | 10.29 | 1.89 | 0.90 |
| trimmed | 1.69 | 1.65 | 45.57 | 30.11 | 11.95 | 1.98 | 0.91 |
| mad | 1.15 | 0.32 | 15.41 | 54.74 | 22.75 | 0.61 | 0.33 |
| min | 0.34 | 1.15 | 17.92 | -62.11 | -45.69 | 1.15 | 0.48 |
| max | 5.02 | 2.7 | 114.27 | 161.99 | 67.53 | 3.27 | 1.98 |
| 1st Qu. | 0.78 | 1.42 | 34.01 | -8.16 | -6.03 | 1.57 | 0.67 |
| 3rd Qu. | 2.76 | 1.85 | 54.72 | 62.79 | 24.68 | 2.43 | 1.08 |
| range | 4.68 | 1.56 | 96.35 | 224.11 | 113.22 | 2.13 | 1.50 |
| skew | 0.67 | 0.66 | 1.05 | 0.38 | 0.00 | 0.55 | 0.90 |
| kurtosis | -0.58 | 0.27 | 1.47 | -0.42 | -0.35 | -0.86 | 0.77 |
| se | 0.12 | 0.03 | 2.83 | 9.35 | 4.77 | 0.07 | 0.04 |
| w | 0.92 | 0.96 | 0.93 | 0.97 | 0.97 | 0.93 | 0.94 |
| p-value (Shapiro-Wilk) |
1.25E-05 | 0.0051 | 0.0066 | 0.7937 | 0.5922 | 0.0029 | 0.0037 |
| PDM (t ha-1) |
PNC (%) |
NUp (kg ha-1) |
NUpE (%) |
NUE (kg kg N ha-1) |
%Nc (%) |
NNI | |
|---|---|---|---|---|---|---|---|
| n | 96 | 95 | 45 | 32 | 32 | 60 | 58 |
| mean | 1.78 | 1.66 | 43.96 | 32.92 | 11.82 | 2.03 | 0.91 |
| sd | 1.15 | 0.28 | 14.63 | 52.87 | 26.97 | 0.56 | 0.28 |
| median | 1.44 | 1.64 | 44.60 | 35.52 | 10.29 | 1.89 | 0.87 |
| trimmed | 1.69 | 1.64 | 43.51 | 30.11 | 11.95 | 1.98 | 0.89 |
| mad | 1.15 | 0.32 | 14.46 | 54.74 | 22.75 | 0.61 | 0.30 |
| min | 0.34 | 1.15 | 17.92 | -62.11 | -45.69 | 1.15 | 0.48 |
| max | 5.02 | 2.29 | 73.29 | 161.99 | 67.53 | 3.27 | 1.63 |
| Factor | Chi-Squared | df | p-Value | Significance1 | |
|---|---|---|---|---|---|
| PDM | Crop | 4.24 | 1 | 0.039 | * |
| Moment | 64.97 | 1 | 7.605e-16 | *** | |
| Irrigation | 3.36 | 1 | 0.067 | . | |
| N treatment | 0.47 | 2 | 0.790 | ||
| PNC | Crop | 14.64 | 1 | 0.00013 | *** |
| Moment | 9.68 | 1 | 0.0018 | ** | |
| Irrigation | 0.00 | 1 | 0.964 | ||
| N treatment | 4.53 | 2 | 0.104 | ||
| NUp | Crop | 0.40 | 1 | 0.525 | . |
| Irrigation | 5.60 | 1 | 0.018 | * | |
| N treatment | 5.11 | 2 | 0.078 | . | |
| %Nc | Crop | 3.58 | 1 | 0.058 | . |
| Moment | 22.87 | 1 | 1.736e-06 | *** | |
| Irrigation | 3.10 | 1 | 0.078 | . | |
| N treatment | 3.21 | 2 | 0.201 | ||
| NNI | Crop | 1.09 | 1 | 0.298 | |
| Moment | 17.19 | 1 | 3.381e-05 | *** | |
| Irrigation | 3.83 | 1 | 0.050 | . | |
| N treatment | 3.47 | 2 | 0.177 |
| Parameter | Approach | z-Value | Adjusted p-Value |
Significance1 |
|---|---|---|---|---|
| PDM | Int vs RG | 2.0591 | 0.0197 | * |
| t1 vs t2 | -8.0604 | 0.0000 | *** | |
| Rainfed vs Irrigated | 1.8319 | 0.0335 | * | |
| PNC | Int vs RG | 3.8260 | 0.0001 | *** |
| t1 vs t2 | -3.1114 | 0.0009 | *** | |
| NUp | Int vs RG | 0.6358 | 0.2625 | |
| Rainfed vs Irrigated | 2.3661 | 0.0090 | ** | |
| N0 vs N1 | -2.2544 | 0.0363 | * | |
| N0 vs N2 | -1.2223 | 0.3324 | ||
| N1 vs N2 | 0.9766 | 0.4931 | ||
| %Nc | Int vs RG | 1.8929 | 0.0292 | * |
| t1 vs t2 | 4.7819 | 0.0000 | *** | |
| Rainfed vs Irrigated | -1.7608 | 0.0391 | * | |
| NNI | Rainfed vs irrigated | -4.1462 | 0.0000 | *** |
| t1 vs t2 | 1.9563 | 0.0252 | * |
| Dependent Variable |
Factor | Df Group | Df Residual | Sum of Squares | Mean Squares | F-Value | p-Value | Significance1 |
|---|---|---|---|---|---|---|---|---|
| NUpE | Crop | 1 | 30 | 219.39 | 219.4 | 0.076 | 0.784 | |
| Irrigation | 1 | 30 | 6641.09 | 6641.0 | 2.490 | 0.125 | ||
| N treatment | 1 | 30 | 1525.92 | 1526.0 | 0.538 | 0.469 | ||
| NUE | Crop | 1 | 30 | 301.01 | 301.0 | 0.406 | 0.529 | |
| Irrigation | 1 | 30 | 542.19 | 542.2 | 0.739 | 0.397 | ||
| N treatment | 1 | 30 | 1315.78 | 1315.8 | 1.859 | 0.183 |
Disclaimer/Publisher’s Note: The statements, opinions and data contained in all publications are solely those of the individual author(s) and contributor(s) and not of MDPI and/or the editor(s). MDPI and/or the editor(s) disclaim responsibility for any injury to people or property resulting from any ideas, methods, instructions or products referred to in the content. |
© 2024 by the authors. Licensee MDPI, Basel, Switzerland. This article is an open access article distributed under the terms and conditions of the Creative Commons Attribution (CC BY) license (http://creativecommons.org/licenses/by/4.0/).