Submitted:
20 June 2024
Posted:
24 June 2024
You are already at the latest version
Abstract
Keywords:
1. Introduction
2. Platform Design
3. Probe Design and Calibration
3. Results
3.1. Antenna Input Characteristics
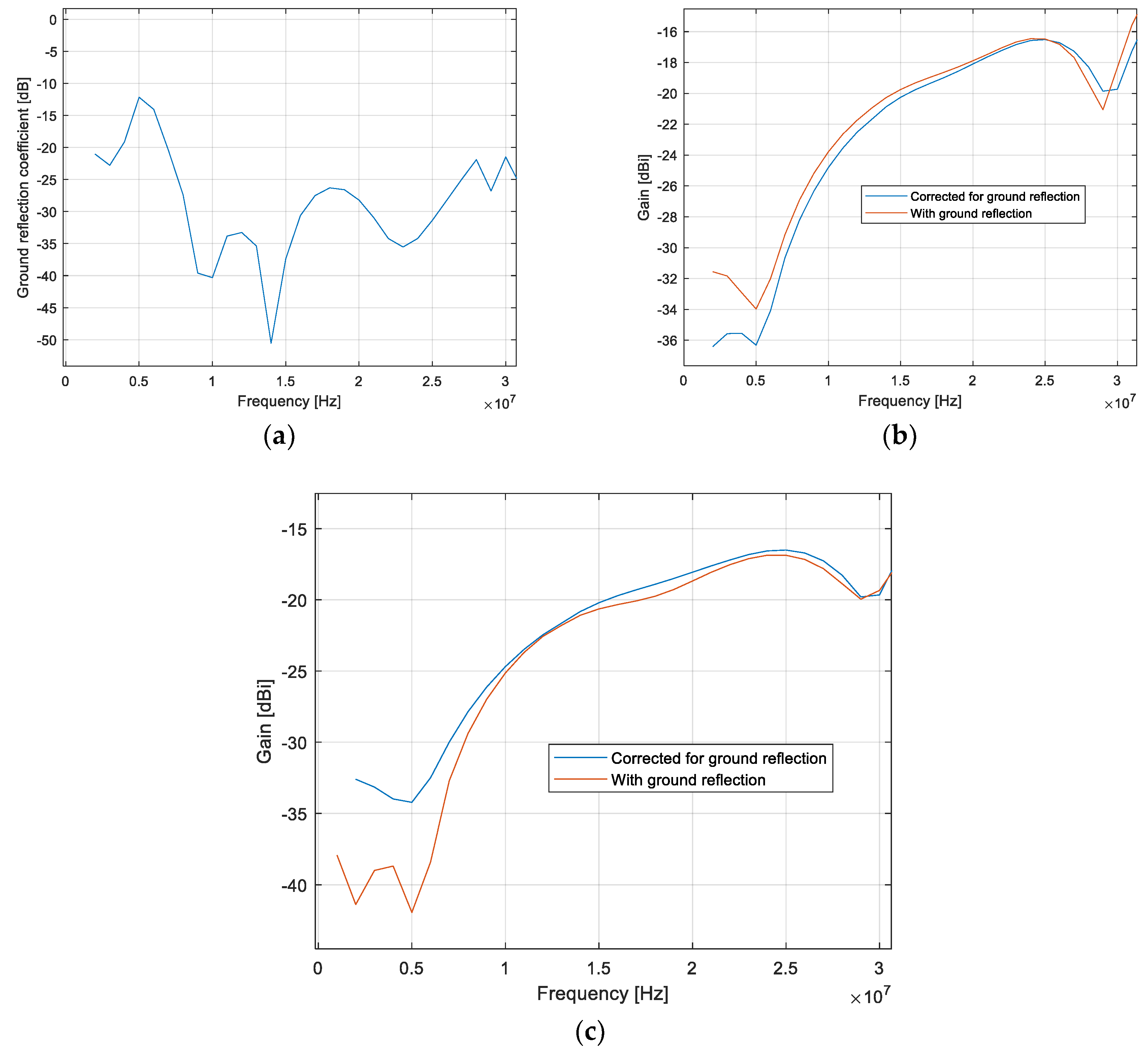
3.2. Ground Reflection
3.3. Probe Calibration with Field-Zone Correction and On-Drone Measurements
4. Conclusions
Author Contributions
Funding
Data Availability Statement
Conflicts of Interest
References
- C. P. Ohanu, S. A. Rufai, and U. C. Oluchi, “A comprehensive review of recent developments in smart grid through renewable energy resources integration,” Heliyon, vol. 10, no. 3, p. e25705, Feb. 2024. [CrossRef]
- M. J. B. Kabeyi and O. A. Olanrewaju, “Smart grid technologies and application in the sustainable energy transition: a review,” International Journal of Sustainable Energy, vol. 42, no. 1, pp. 685–758, Dec. 2023. [CrossRef]
- Z. Zhang, T. Peng, K. Yang, and X. Li, “Trajectory Optimization and Retrieving Monitory System for UAV-assisted Offshore Maritime Communications,” in 2023 3rd International Conference on Electronic Information Engineering and Computer Science (EIECS), Sep. 2023, pp. 1014–1019. [CrossRef]
- T. Koziniec, D. Murray, and M. Dixon, “Precomputed Ionospheric Propagation for HF Wireless Sensor Transmission Scheduling,” in 2021 29th International Symposium on Modeling, Analysis, and Simulation of Computer and Telecommunication Systems (MASCOTS), Nov. 2021, pp. 1–8. [CrossRef]
- P. Marti-Puig, M. Serra-Serra, and R. Reig Bolaño, “Low complex wireless sensor network uplink in the HF band,” Apr. 2008, Accessed: Jun. 03, 2024. [Online]. Available: https://upcommons.upc.edu/handle/2099/4925.
- “WSJT-X User Guide.” Accessed: Mar. 14, 2024. [Online]. Available: https://wsjt.sourceforge.io/wsjtx-doc/wsjtx-main-2.6.1.html.
- W. A. Parkins, “Propagation management for no-acknowledge HF communications links,” 1986. Accessed: Mar. 14, 2024. [Online]. Available: https://ui.adsabs.harvard.edu/abs/1986MsT..........5P.
- “HF_radio_GM _ISPACG_Ver1.pdf.” Accessed: May 23, 2024. [Online]. Available: https://www.icao.int/APAC/documents/edocs/cns/HF_radio_GM%20_ISPACG_Ver1.pdf.
- X. Tan, S. Su, and X. Sun, “Research on Narrowband Interference Suppression Technology of UAV Network Based on Spread Spectrum Communication,” in 2020 IEEE International Conference on Artificial Intelligence and Information Systems (ICAIIS), Mar. 2020, pp. 335–338. [CrossRef]
- R. D. Tamas, L. Babour, E. Fond, G. Slamnoiu, J. Chilo, and P. Saguet, “Cylindrical dipoles as ultra-wide band antennas: An energy-based analysis,” Microwave and Optical Technology Letters, vol. 50, no. 4, pp. 917–921, 2008. [CrossRef]
- S. M. Bostan, J. V. Urbina, J. D. Mathews, S. G. Bilén, and J. K. Breakall, “An HF Software-Defined Radar to Study the Ionosphere,” Radio Science, vol. 54, no. 9, pp. 839–849, 2019. [CrossRef]
- Wicaksono, A. Mauludiyanto, and G. Hendrantoro, “An HF Digital Communication System Based on Software-Defined Radio,” in 2020 International Conference on Smart Technology and Applications (ICoSTA), Feb. 2020, pp. 1–5. [CrossRef]
- R. R. Belgibaev, V. A. Ivanov, D. V. Ivanov, and A. R. Laschevsky, “Software-Defined Radio Ionosonde for Diagnostics of Wideband HF Channels with the Use of USRP Platform,” in 2019 Wave Electronics and its Application in Information and Telecommunication Systems (WECONF), Jun. 2019, pp. 1–4. [CrossRef]
- “IEEE Recommended Practice for Antenna Measurements,” IEEE Std 149-2021 (Revision of IEEE Std 149-1977), pp. 1–207, Feb. 2022. [CrossRef]
- “IEEE Standard Test Procedures for Antennas,” ANSI/IEEE Std 149-1979, pp. 1–144, Nov. 1979. [CrossRef]
- Y. Alvarez et al., “In situ antenna diagnostics and characterization system based on RFID and Remotely Piloted Aircrafts,” Sensors and Actuators A: Physical, vol. 269, Nov. 2017. [CrossRef]
- P. Bolli et al., “Antenna pattern characterization of the low-frequency receptor of LOFAR by means of an UAV-mounted artificial test source,” presented at the SPIE Astronomical Telescopes + Instrumentation, H. J. Hall, R. Gilmozzi, and H. K. Marshall, Eds., Edinburgh, United Kingdom, Jul. 2016, p. 99063V. [CrossRef]
- F. Paonessa et al., “UAV-based pattern measurement of the SKALA,” in 2015 IEEE International Symposium on Antennas and Propagation & USNC/URSI National Radio Science Meeting, Jul. 2015, pp. 1372–1373. [CrossRef]
- E. de Lera Acedo et al., “SKA aperture array verification system: electromagnetic modeling and beam pattern measurements using a micro UAV,” Exp Astron, vol. 45, no. 1, pp. 1–20, Mar 2018. [CrossRef]
- G. Virone et al., “Antenna Pattern Verification System Based on a Micro Unmanned Aerial Vehicle (UAV),” IEEE Antennas and Wireless Propagation Letters, vol. 13, pp. 169–172, 2014. [CrossRef]
- P. Bolli et al., “In-situ characterization of international low-frequency aperture arrays by means of an UAV-based system,” in 2017 XXXIInd General Assembly and Scientific Symposium of the International Union of Radio Science (URSI GASS), Montreal, QC: IEEE, Aug. 2017, pp. 1–4. [CrossRef]
- C. Apriono, Nofrizal, M. Dandy Firmansyah, F. Y. Zulkifli, and E. T. Rahardjo, “Near-field to far-field transformation of cylindrical scanning antenna measurement using two dimension fast-fourier transform,” in 2017 15th International Conference on Quality in Research (QiR) : International Symposium on Electrical and Computer Engineering, Jul. 2017, pp. 368–371. [CrossRef]
- F. M. E. Camilo, C. G. do Rego, and G. L. Ramos, “Near-to-far-field transform sample reduction through statistical analysis,” in 12th European Conference on Antennas and Propagation (EuCAP 2018), Apr. 2018, pp. 1–4. [CrossRef]
- M.-C. Tang, T. Shi, and R. W. Ziolkowski, “Electrically Small, Broadside Radiating Huygens Source Antenna Augmented With Internal Non-Foster Elements to Increase Its Bandwidth,” IEEE Antennas and Wireless Propagation Letters, vol. 16, pp. 712–715, 2017. [CrossRef]
- R. W. Ziolkowski and N. Zhu, “Broad bandwidth, efficient, metamaterial-inspired, electrically small antennas augmented with internal non-Foster elements,” in 2012 6th European Conference on Antennas and Propagation (EUCAP), Mar. 2012, pp. 123–125. [CrossRef]
- K. K. Mistry, P. I. Lazaridis, Z. D. Zaharis, M. Akinsolu, Bo Liu, and Tian Loh, “Accurate antenna gain estimation using the two-antenna method,” in Antennas and Propagation Conference 2019 (APC-2019), Birmingham, UK: Institution of Engineering and Technology, 2019, p. 4 pp.-4 pp. [CrossRef]
- Constantin and R. D. Tamas, “Evaluation and Impact Reduction of Common Mode Currents on Antenna Feeders in Radiation Measurements,” Sensors, vol. 20, no. 14, Art. no. 14, Jan 2020. [CrossRef]
- R. D. Tamas, D. Deacu, G. Caruntu, and T. Petrescu, “An indoor measuring technique for antenna gain,” in 2013 International Workshop on Antenna Technology (iWAT), Mar. 2013, pp. 219–222. [CrossRef]
- R. D. Tamas, L. Babour, A. Danisor, and G. Caruntu, “An intermediate-field approach of the differential time-domain single-antenna method for electrically large ultra-wide band antennas,” in 2010 International Workshop on Antenna Technology (iWAT), Mar. 2010, pp. 1–4. [CrossRef]
- Y.-T. Hsiao, Y.-Y. Lin, Y.-C. Lu, and H.-T. Chou, “Applications of time-gating method to improve the measurement accuracy of antenna radiation inside an anechoic chamber,” in IEEE Antennas and Propagation Society International Symposium. Digest. Held in conjunction with: USNC/CNC/URSI North American Radio Sci. Meeting (Cat. No.03CH37450), Jun. 2003, pp. 794–797 vol.3. [CrossRef]
- Constantin, L. Anchidin, and R. D. Tamas, “A Distance Averaging Approach for Measuring the Radiation from Common Mode Currents on Antenna Feeders,” in 2020 International Workshop on Antenna Technology (iWAT), Feb. 2020, pp. 1–4. [CrossRef]
- J. Richmond and N. Geary, “Mutual impedance of nonplanar-skew sinusoidal dipoles,” IEEE Transactions on Antennas and Propagation, vol. 23, no. 3, pp. . 412–414, May 1975. [CrossRef]














Disclaimer/Publisher’s Note: The statements, opinions and data contained in all publications are solely those of the individual author(s) and contributor(s) and not of MDPI and/or the editor(s). MDPI and/or the editor(s) disclaim responsibility for any injury to people or property resulting from any ideas, methods, instructions or products referred to in the content. |
© 2024 by the authors. Licensee MDPI, Basel, Switzerland. This article is an open access article distributed under the terms and conditions of the Creative Commons Attribution (CC BY) license (http://creativecommons.org/licenses/by/4.0/).