Submitted:
20 June 2024
Posted:
21 June 2024
You are already at the latest version
Abstract
Keywords:
1. Materials and Methods
2. Results
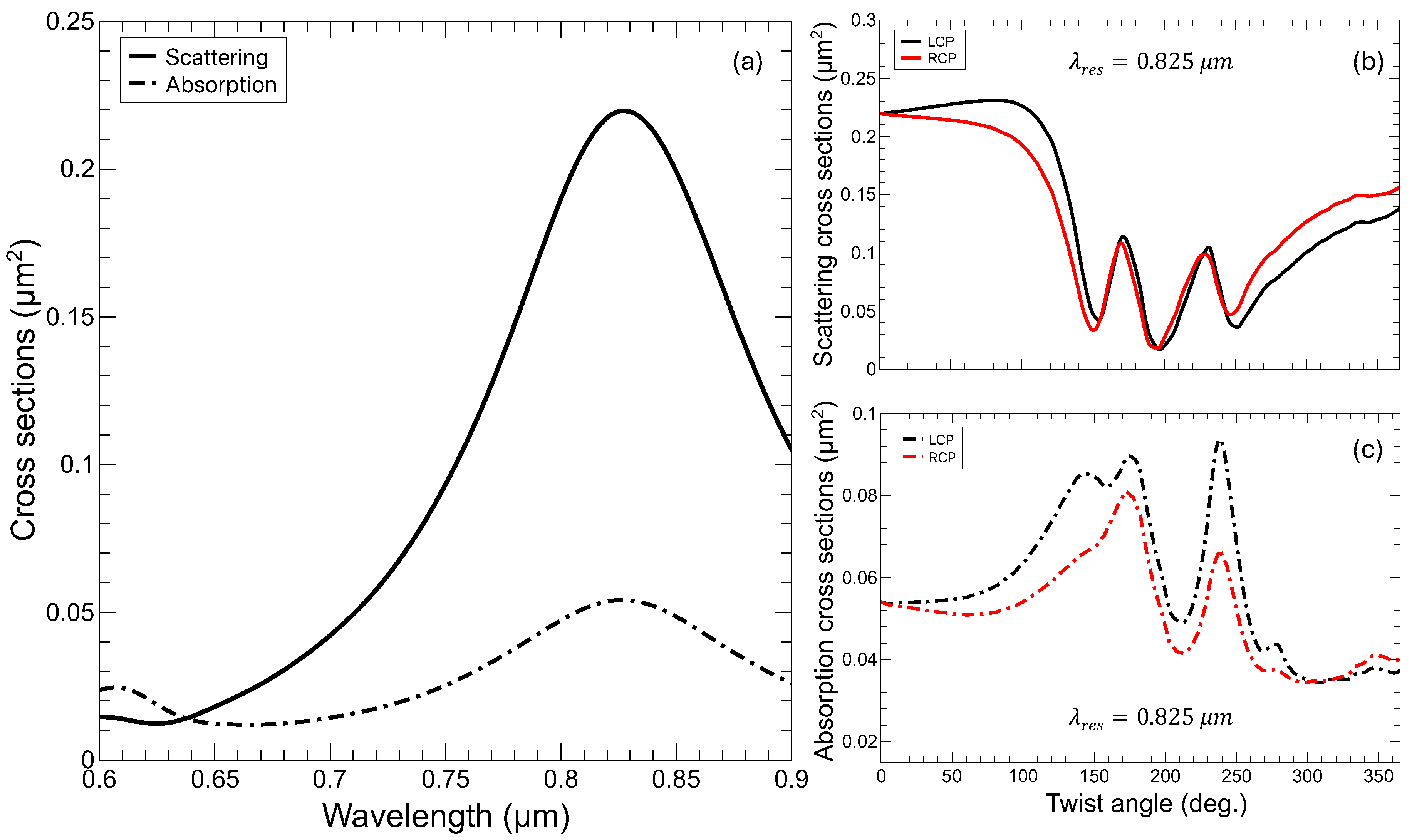
2.1. Optical Characteristics
2.2. Acoustic Characteristics
3. Discussion and Conclusions
Author Contributions
Funding
Data Availability Statement
Conflicts of Interest
Abbreviations
| COE | Chiro-Optical Effect |
| FDTD | Finite Difference Time Domain |
| FEM | Finite Element Method |
| LCP | Left-Circular Polarization |
| PML | Perfectly Matched Layers |
| RCP | Right-Circular Polarization |
| TnP | Toroidal nano-Propeller |
Appendix A. Length of the Helix

Appendix B. Displacement Profiles

References
- Priya. ; Cardozo de Oliveira, E.R.; Lanzillotti-Kimura, N.D. Perspectives on high-frequency nanomechanics, nanoacoustics, and nanophononics. Applied Physics Letters 2023, 122, 140501. [Google Scholar] [CrossRef]
- Aspelmeyer, M.; Kippenberg, T.J.; Marquardt, F. Cavity optomechanics. Rev. Mod. Phys. 2014, 86, 1391–1452. [Google Scholar] [CrossRef]
- Delsing, P.; Cleland, A.N.; Schuetz, M.J.A.; Knörzer, J.; Giedke, G.; Cirac, J.I.; Srinivasan, K.; Wu, M.; Balram, K.C.; Bäuerle, C.; Meunier, T.; Ford, C.J.B.; Santos, P.V.; Cerda-Méndez, E.; Wang, H.; Krenner, H.J.; Nysten, E.D.S.; Weiß, M.; Nash, G.R.; Thevenard, L.; Gourdon, C.; Rovillain, P.; Marangolo, M.; Duquesne, J.Y.; Fischerauer, G.; Ruile, W.; Reiner, A.; Paschke, B.; Denysenko, D.; Volkmer, D.; Wixforth, A.; Bruus, H.; Wiklund, M.; Reboud, J.; Cooper, J.M.; Fu, Y.; Brugger, M.S.; Rehfeldt, F.; Westerhausen, C. The 2019 surface acoustic waves roadmap. Journal of Physics D: Applied Physics 2019, 52, 353001. [Google Scholar] [CrossRef]
- Liu, N.; Langguth, L.; Weiss, T.; Kästel, J.; Fleischhauer, M.; Pfau, T.; Giessen, H. Plasmonic analogue of electromagnetically induced transparency at the Drude damping limit. Nature Materials 2009, 8, 758–762. [Google Scholar] [CrossRef]
- Lanzillotti-Kimura, N.D.; O’Brien, K.P.; Rho, J.; Suchowski, H.; Yin, X.; Zhang, X. Polarization-controlled coherent phonon generation in acoustoplasmonic metasurfaces. Phys. Rev. B 2018, 97, 235403. [Google Scholar] [CrossRef]
- Boggiano, H.D.; Nan, L.; Grinblat, G.; Maier, S.A.; Cortés, E.; Bragas, A.V. Focusing Surface Acoustic Waves with a Plasmonic Hypersonic Lens. Nano Letters 2024, 24, 6362–6368. [Google Scholar] [CrossRef] [PubMed]
- Esmann, M.; Lamberti, F.R.; Harouri, A.; Lanco, L.; Sagnes, I.; Favero, I.; Aubin, G.; Gomez-Carbonell, C.; Lemaître, A.; Krebs, O.; Senellart, P.; Lanzillotti-Kimura, N.D. Brillouin scattering in hybrid optophononic Bragg micropillar resonators at 300 GHz. Optica 2019, 6, 854–859. [Google Scholar] [CrossRef]
- Valentine, J.; Zhang, S.; Zentgraf, T.; Ulin-Avila, E.; Genov, D.A.; Bartal, G.; Zhang, X. Three-dimensional optical metamaterial with a negative refractive index. Nature 2008, 455, 376–379. [Google Scholar] [CrossRef] [PubMed]
- Rossino, G.; Robescu, M.; Licastro, E.; Tedesco, C.; Martello, I.; Maffei, L.; Vincenti, G.; Bavaro, T.; Collina, S. Biocatalysis: A smart and green tool for the preparation of chiral drugs. Chirality 2022, 34. [Google Scholar] [CrossRef] [PubMed]
- Barron, L.D. Molecular Light Scattering and Optical Activity, 2 ed.; Cambridge University Press, 2004. [Google Scholar]
- Schäferling, M.; Yin, X.; Engheta, N.; Giessen, H. Helical Plasmonic Nanostructures as Prototypical Chiral Near-Field Sources. ACS Photonics 2012, 1, 530–537. [Google Scholar] [CrossRef]
- Zheng, G.; He, J.; Kumar, V.; Wang, S.; Pastoriza-Santos, I.; Pérez-Juste, J.; Liz-Marzán, L.M.; Wong, K.Y. Discrete metal nanoparticles with plasmonic chirality. Chem. Soc. Rev. 2021, 50, 3738–3754. [Google Scholar] [CrossRef] [PubMed]
- Ni, B.; Mychinko, M.; Gómez-Graña, S.; Morales-Vidal, J.; Obelleiro-Liz, M.; Heyvaert, W.; Vila-Liarte, D.; Zhuo, X.; Albrecht, W.; Zheng, G.; González-Rubio, G.; Taboada, J.M.; Obelleiro, F.; López, N.; Pérez-Juste, J.; Pastoriza-Santos, I.; Cölfen, H.; Bals, S.; Liz-Marzán, L.M. Chiral Seeded Growth of Gold Nanorods Into Fourfold Twisted Nanoparticles with Plasmonic Optical Activity. Advanced Materials 2023, 35, 2208299. [Google Scholar] [CrossRef]
- Ji, C.Y.; Chen, S.; Han, Y.; Liu, X.; Liu, J.; Li, J.; Yao, Y. Artificial Propeller Chirality and Counterintuitive Reversal of Circular Dichroism in Twisted Meta-molecules. Nano Letters 2021, 21, 6828–6834. [Google Scholar] [CrossRef] [PubMed]
- Esposito, M.; Tasco, V.; Todisco, F.; Cuscunà, M.; Benedetti, A.; Sanvitto, D.; Passaseo, A. Triple-helical nanowires by tomographic rotatory growth for chiral photonics. Nature Communications 2015, 6, 6484. [Google Scholar] [CrossRef] [PubMed]
- Radke, A.; Gissibl, T.; Klotzbücher, T.; Braun, P.V.; Giessen, H. Three-Dimensional Bichiral Plasmonic Crystals Fabricated by Direct Laser Writing and Electroless Silver Plating. Advanced Materials 2011, 23, 3018–3021. [Google Scholar] [CrossRef] [PubMed]
- Han, Z.; Wang, F.; Sun, J.; Wang, X.; Tang, Z. Recent Advances in Ultrathin Chiral Metasurfaces by Twisted Stacking. Advanced Materials 2023, 35, 2206141. [Google Scholar] [CrossRef]
- de Larrinzar, B.C.L.; Xiang, C.; de Oliveira, E.R.C.; Lanzillotti-Kimura, N.D.; Garcia-Martin, A. Towards chiral acoustoplasmonics. Nanophotonics 2023, 12, 1957–1964. [Google Scholar] [CrossRef] [PubMed]
- de Larrinzar, B.C.L.; Lanzillotti-Kimura, N.D.; García-Martín, A. Interaction effects in chiral acoustoplasmonic nanostructures. Nanophotonics X. International Society for Optics and Photonics, SPIE, 2024, Vol. 12991, p. 129910B.
- Bragas, A.V.; Maier, S.A.; Boggiano, H.D.; Grinblat, G.; Berté, R.; de, S. Menezes, L.; Cortés, E. Nanomechanics with plasmonic nanoantennas: ultrafast and local exchange between electromagnetic and mechanical energy. J. Opt. Soc. Am. B 2023, 40, 1196–1211. [Google Scholar] [CrossRef]
- Lanzillotti-Kimura, N.D.; Fainstein, A.; Jusserand, B.; Lemaître, A. Resonant Raman scattering of nanocavity-confined acoustic phonons. Phys. Rev. B 2009, 79, 035404. [Google Scholar] [CrossRef]
- Lanzillotti-Kimura, N.D.; Fainstein, A.; Perrin, B.; Jusserand, B.; Largeau, L.; Mauguin, O.; Lemaitre, A. Enhanced optical generation and detection of acoustic nanowaves in microcavities. Phys. Rev. B 2011, 83, 201103. [Google Scholar] [CrossRef]
- Johnson, P.B.; Christy, R.W. Optical Constants of the Noble Metals. Physical Review B 1972, 6, 4370. [Google Scholar] [CrossRef]
- Aigouy, L.; González, M.U.; Lin, H.J.; Schoenauer-Sebag, M.; Billot, L.; Gredin, P.; Mortier, M.; Chen, Z.; García-Martín, A. Mapping plasmon-enhanced upconversion fluorescence of Er/Yb-doped nanocrystals near gold nanodisks. Nanoscale 2019, 11, 10365–10371. [Google Scholar] [CrossRef] [PubMed]





Disclaimer/Publisher’s Note: The statements, opinions and data contained in all publications are solely those of the individual author(s) and contributor(s) and not of MDPI and/or the editor(s). MDPI and/or the editor(s) disclaim responsibility for any injury to people or property resulting from any ideas, methods, instructions or products referred to in the content. |
© 2024 by the authors. Licensee MDPI, Basel, Switzerland. This article is an open access article distributed under the terms and conditions of the Creative Commons Attribution (CC BY) license (http://creativecommons.org/licenses/by/4.0/).