Submitted:
20 June 2024
Posted:
20 June 2024
You are already at the latest version
Abstract
Keywords:
1. Introduction
2. Methods
2.1. Autoregressive Data Generation Using GCC-FLOW
2.2. Architecture of GCC-FLOW
3. Experiment Settings
3.1. Data Set
- 1)
- High sea state data: The 3rd range bin of the data file #269 at Dartmouth labeled as high. The average wave height is 1.8m (max 2.9m)
- 2)
- Low sea state data: The 5th range bin of the data file #287 at Dartmouth labeled as low. The average wave height is 0.8m (max 1.3m)
3.2. GCC-FLOW Settings
4. Experiment Results
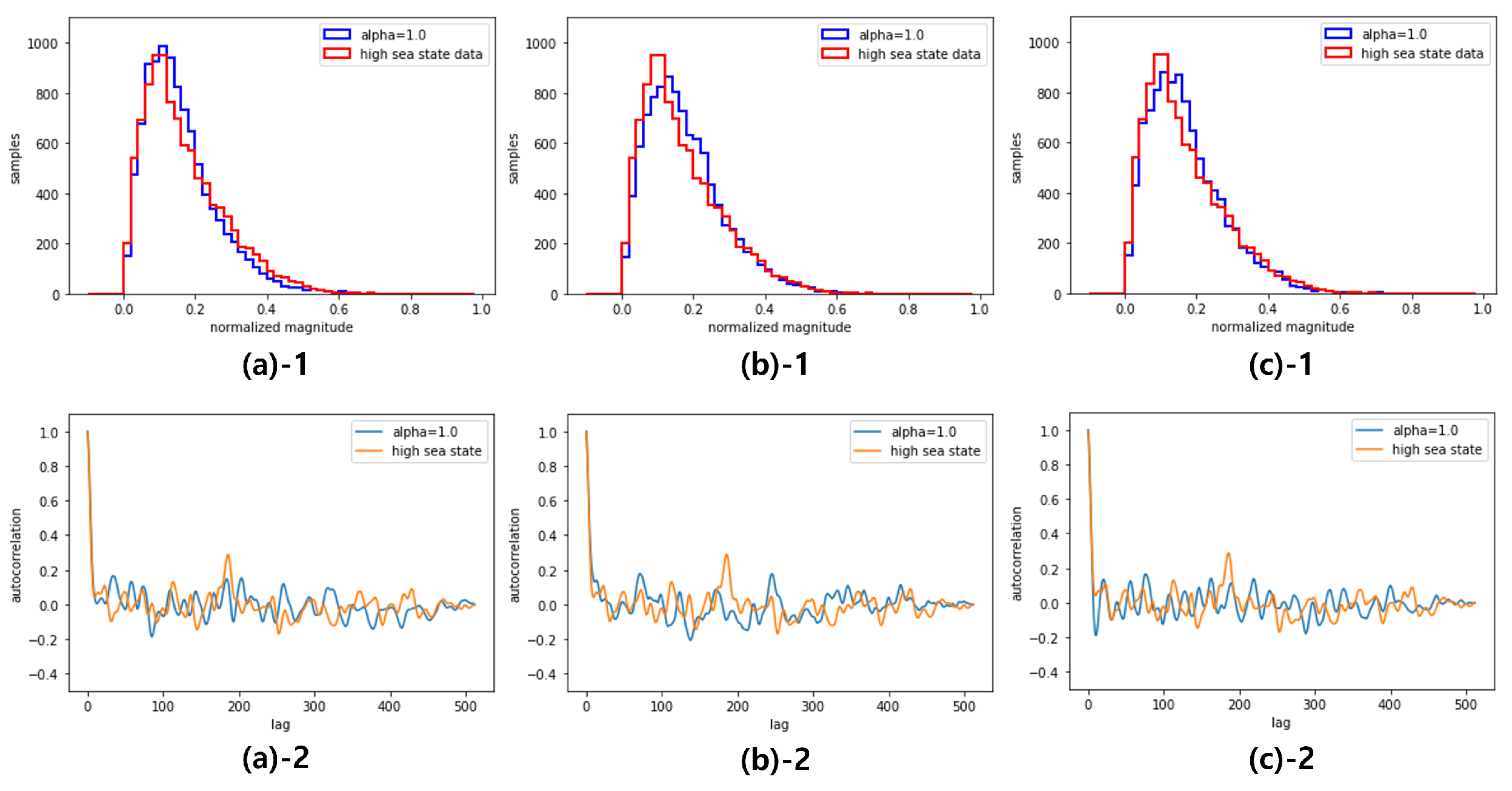
4.1. Sea Clutter Augmentation Using GCC-FLOW
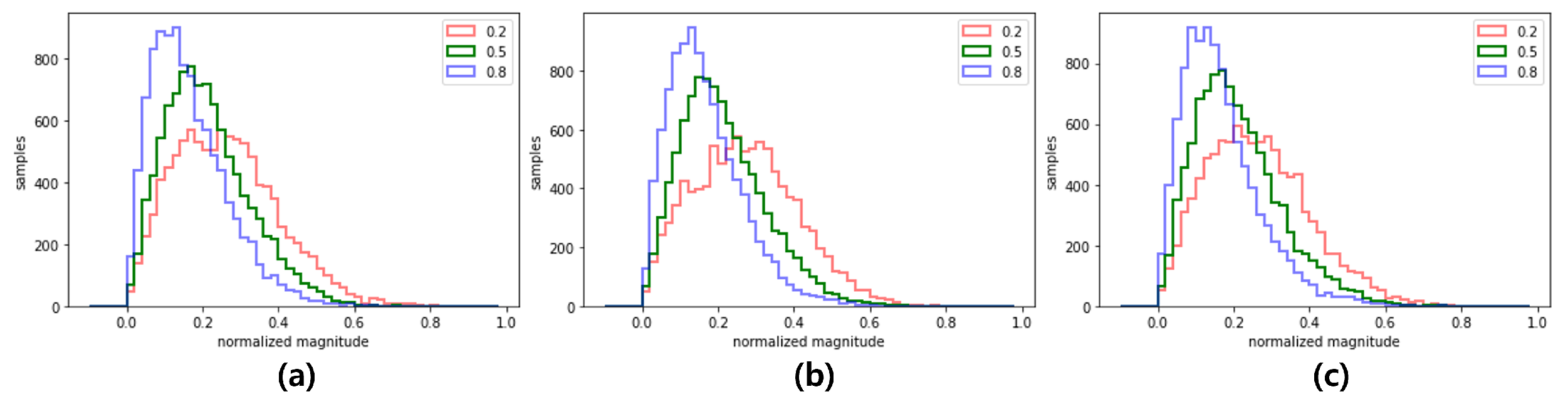
4.2. Sea Clutter generation using GCC-FLOW with global condition
5. Conclusions
Funding
Institutional Review Board Statement
Informed Consent Statement
Data Availability Statement
Conflicts of Interest
References
- K. D. Ward, R.J.A.T.; Watts, S. Sea clutter: Scattering, the K distribution and radar performance. Waves in Random and Complex Media 2007, 17, 233–234. [CrossRef]
- E. Conte, M.L. Characterisation of radar clutter as a spherically invariant random process. IEE Proceedings F (Communications, Radar and Signal Processing) 1987, 134, 191–197(6). [CrossRef]
- Rangaswamy, M.; Weiner, D.; Ozturk, A. Computer generation of correlated non-Gaussian radar clutter. IEEE Transactions on Aerospace and Electronic Systems 1995, 31, 106–116. [Google Scholar] [CrossRef]
- Barnard, T.; Weiner, D. Non-Gaussian clutter modeling with generalized spherically invariant random vectors. IEEE Transactions on Signal Processing 1996, 44, 2384–2390. [Google Scholar] [CrossRef]
- Armstrong, B.; Griffiths, H. Modelling spatially correlated K-distributed clutter. Electronics Letters 1991, 27, 1355–1356. [Google Scholar] [CrossRef]
- Wang, J.; Xu, X. Simulation of Correlated Low-Grazing-Angle Sea Clutter Based on Phase Retrieval. IEEE Transactions on Geoscience and Remote Sensing 2015, 53, 3917–3930. [Google Scholar] [CrossRef]
- Goldstein, H. Sea echo. In Propagation of Short Radio Waves; McGraw-Hill New York, 1951; Vol. 13, pp. 481–527.
- Trunk, G.V.; George, S.F. Detection of Targets in Non-Gaussian Sea Clutter. IEEE Transactions on Aerospace and Electronic Systems 1970, AES-6, 620–628. [Google Scholar] [CrossRef]
- Jakeman, E.; Pusey, P. A model for non-Rayleigh sea echo. IEEE Transactions on Antennas and Propagation 1976, 24, 806–814. [Google Scholar] [CrossRef]
- Matsuo Sekine, Y.H.M. Weibull Radar Clutter; Radar, Sonar and Navigation, Institution of Engineering and Technology, 1990.
- Ishikawa, Y.; Sekine, M.; Musha, T. Observation of k-distributed sea clutter via an x-band radar. Electronics and Communications in Japan (Part I: Communications) 1994, 77, 72–82. [Google Scholar] [CrossRef]
- Bouvier, C.; Martinet, L.; Favier, G.; Artaud, M. Simulation of radar sea clutter using autoregressive modelling and K-distribution. Proceedings International Radar Conference, 1995, pp. 425–430. [CrossRef]
- Middleton, D. New physical-statistical methods and models for clutter and reverberation: the KA-distribution and related probability structures. IEEE Journal of Oceanic Engineering 1999, 24, 261–284. [Google Scholar] [CrossRef]
- Rosenberg, L.; Crisp, D.J.; Stacy, N.J. Analysis of the KK-distribution with X-band medium grazing angle sea-clutter. 2009 International Radar Conference "Surveillance for a Safer World" (RADAR 2009), 2009, pp. 1–6.
- Dong, Y. Distribution of X-band high resolution and high grazing angle sea clutter; Citeseer, 2006.
- FARSHCHIAn, M.; Posner, F.L. The Pareto distribution for low grazing angle and high resolution X-band sea clutter. 2010 IEEE Radar Conference. IEEE, 2010, pp. 789–793.
- Bocquet, S. Simulation of correlated Pareto distributed sea clutter. 2013 International Conference on Radar, 2013, pp. 258–261. [CrossRef]
- Tough, R.J.A.; Ward, K.D. The correlation properties of gamma and other non-Gaussian processes generated by memoryless nonlinear transformation. Journal of Physics D: Applied Physics 1999, 32, 3075. [Google Scholar] [CrossRef]
- Watts, S.; Rosenberg, L. Challenges in radar sea clutter modelling. IET Radar, Sonar & Navigation 2022, 16, 1403–1414. [Google Scholar]
- Lample, G.; Zeghidour, N.; Usunier, N.; Bordes, A.; Denoyer, L.; Ranzato, M. Fader networks: Manipulating images by sliding attributes. Advances in neural information processing systems 2017, 30.
- He, Z.; Zuo, W.; Kan, M.; Shan, S.; Chen, X. AttGAN: Facial Attribute Editing by Only Changing What You Want. IEEE Transactions on Image Processing 2019, 28, 5464–5478. [Google Scholar] [CrossRef] [PubMed]
- Bin DING, Xue XIA, X.L. Sea Clutter Data Augmentation Method Based on Deep Generative Adversarial Network. Journal of Electronics and Information Technology 2021, 43, 1985. [Google Scholar]
- Zhang, X.; Wang, Z.; Lu, K.; Pan, Q.; Li, Y. Data Augmentation and Classification of Sea-Land Clutter for Over-the-Horizon Radar Using AC-VAEGAN. IEEE Transactions on Geoscience and Remote Sensing 2023. [Google Scholar] [CrossRef]
- Bengio, Y.; Simard, P.; Frasconi, P. Learning long-term dependencies with gradient descent is difficult. IEEE Transactions on Neural Networks 1994, 5, 157–166. [Google Scholar] [CrossRef] [PubMed]
- Pascanu, R.; Mikolov, T.; Bengio, Y. On the difficulty of training recurrent neural networks. Proceedings of the 30th International Conference on Machine Learning; Dasgupta, S.; McAllester, D., Eds.; PMLR: Atlanta, Georgia, USA, 2013; Vol. 28, Proceedings of Machine Learning Research, pp. 1310–1318.
- Pumarola, A.; Popov, S.; Moreno-Noguer, F.; Ferrari, V. C-flow: Conditional generative flow models for images and 3d point clouds. Proceedings of the IEEE/CVF Conference on Computer Vision and Pattern Recognition, 2020, pp. 7949–7958.
- Kingma, D.P.; Dhariwal, P. Glow: Generative flow with invertible 1x1 convolutions. Advances in neural information processing systems 2018, 31.
- Carretero-Moya, J.; Gismero-Menoyo, J.; Blanco-del Campo, A.; Asensio-Lopez, A. Statistical Analysis of a High-Resolution Sea-Clutter Database. IEEE Transactions on Geoscience and Remote Sensing 2010, 48, 2024–2037. [Google Scholar] [CrossRef]
- Ipix radar website. http://soma.ece.mcmaster.ca/ipix/dartmouth/index.html.











Disclaimer/Publisher’s Note: The statements, opinions and data contained in all publications are solely those of the individual author(s) and contributor(s) and not of MDPI and/or the editor(s). MDPI and/or the editor(s) disclaim responsibility for any injury to people or property resulting from any ideas, methods, instructions or products referred to in the content. |
© 2024 by the authors. Licensee MDPI, Basel, Switzerland. This article is an open access article distributed under the terms and conditions of the Creative Commons Attribution (CC BY) license (http://creativecommons.org/licenses/by/4.0/).