Submitted:
19 June 2024
Posted:
20 June 2024
You are already at the latest version
Abstract
Keywords:
1. Introduction
2. High Pressure Effects in Nitride Compounds and Alloys
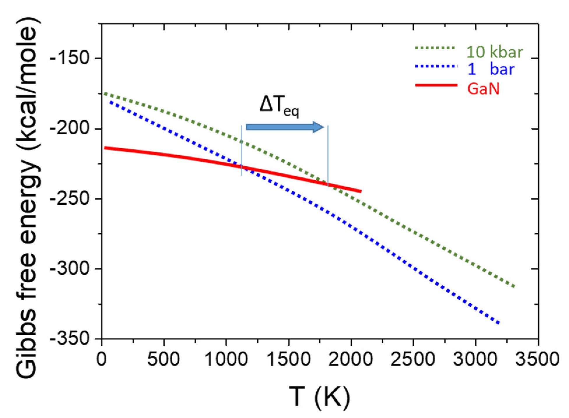
2.1. High Pressure in Crystal Growth
AlN
GaN
InN
2.2. Pressure Dependence of the Band Gaps
2.3. Bulk Modulus and Pressure Induced Phase Transitions
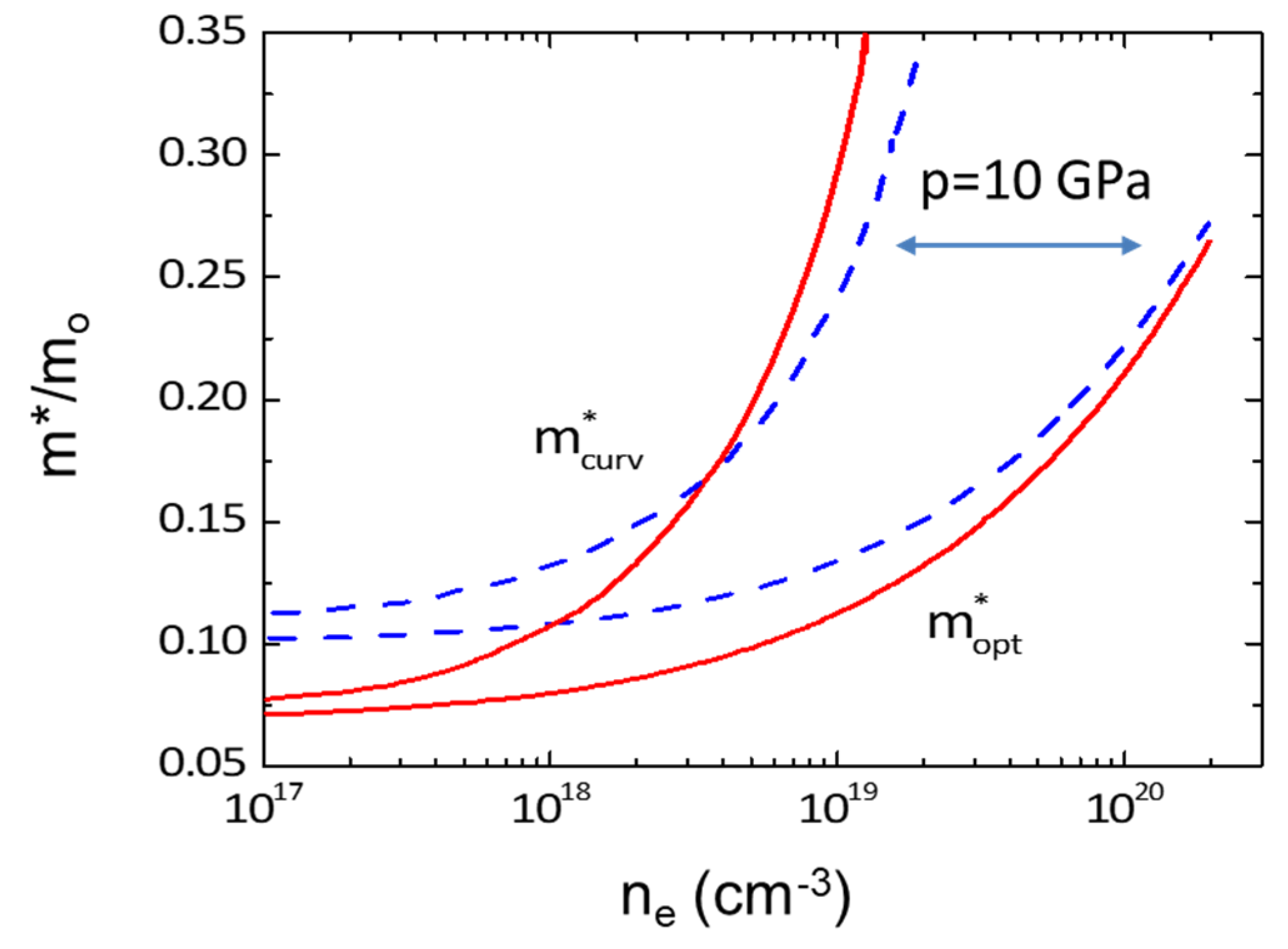
2.4. Pressure Dependence of the Effective Mass
- -
- the effective mass of InN increases with pressure and electron concentration,
- -
- the pressure coefficient of m* decreases with increasing ne.
2.5. Conduction Band Filling in InN
2.6. Band Gap Pressure Coefficients in In-Containing Nitride Semiconductors
3. Pressure Studies of Native Defects and Impurities
3.1. Point Defects in Nitrides–Pressure Effects
3.2. n-Type Doping - DX Centers in GaN and AlGaN
3.3. n-Type Doping - Resonant Localized Donor State in InN
3.4. p-Type Doping - Magnesium Acceptors
4. High Pressure in Quantum Wells and Superlattices
4.1. Quantum Structures
4.2. GaN/AlN QWs
- i).
- For thin GaN/AlN QWs (1-4 nm), the experimentally determined dEPL/dp values are in good agreement with the theoretical predictions [90,102]. They decrease from +24 meV/GPa (1 nm QWs) to -22 meV/GPa (4 nm QWs) due to the pressure-induced increase of the internal electric field according to Equation (2). This confirms that the theoretical model correctly describes the electronic structure of polar QWs.
- ii).
- For thick GaN/AlN QWs (6 nm) the measured dEPL/dp = -3 meV/GPa differs significantly from the theoretical value ~ -60 meV/GPa. This is likely an indication of emission from a deep defect state, which is more efficient than QW PL.
4.3. GaN/AlGaN QWs
4.4. GaN/AlInN QWs
4.5. InGaN/GaN QWs
4.6. In(Ga)N/GaN SLs
InN/GaN SLs – Theory
InN/GaN SLs – Experiment
5. Devices and Perspectives
5.1. Devices
5.2. Perspectives
6. Summary
Author Contributions
Funding
Institutional Review Board Statement
Informed Consent Statement
Data Availability Statement
Acknowledgments
Conflicts of Interest
References
- Wu, J.; Walukiewicz, W.; Yu, K.M.; Ager, J.W.; Haller, E.E.; Lu, H.; Schaff, W.J.; Saito, Y.; Nanishi, Y. Unusual Properties of the Fundamental Band Gap of InN. Applied Physics Letters 2002, 80, 3967–3969. [Google Scholar] [CrossRef]
- Silveira, E.; Freitas, J.A.; Schujman, S.B.; Schowalter, L.J. AlN Bandgap Temperature Dependence from Its Optical Properties. Journal of Crystal Growth 2008, 310, 4007–4010. [Google Scholar] [CrossRef]
- Karpiński, J.; Jun, J.; Porowski, S. Equilibrium Pressure of N2 over GaN and High Pressure Solution Growth of GaN. Journal of Crystal Growth 1984, 66, 1–10. [Google Scholar] [CrossRef]
- Grzegory, I.; Jun, J.; Boćkowski, M.; Krukowski, St.; Wróblewski, M.; Łucznik, B.; Porowski, S. III–V Nitrides—Thermodynamics and Crystal Growth at High N2 Pressure. Journal of Physics and Chemistry of Solids 1995, 56, 639–647. [Google Scholar] [CrossRef]
- Franssen, G.; Gorczyca, I.; Suski, T.; Kamińska, A.; Pereiro, J.; Muñoz, E.; Iliopoulos, E.; Georgakilas, A.; Che, S.B.; Ishitani, Y.; et al. Bowing of the Band Gap Pressure Coefficient in InxGa1−xN Alloys. Journal of Applied Physics 2008, 103, 033514. [Google Scholar] [CrossRef]
- Gorczyca, I.; Kamińska, A.; Staszczak, G.; Czernecki, R.; Łepkowski, S.P.; Suski, T.; Schenk, H.P.D.; Glauser, M.; Butté, R.; Carlin, J.-F.; et al. Anomalous Composition Dependence of the Band Gap Pressure Coefficients in In-Containing Nitride Semiconductors. Phys. Rev. B 2010, 81, 235206. [Google Scholar] [CrossRef]
- Gorczyca, I.; Łepkowski, S.P.; Suski, T.; Christensen, N.E.; Svane, A. Influence of Indium Clustering on the Band Structure of Semiconducting Ternary and Quaternary Nitride Alloys. Phys. Rev. B 2009, 80, 075202. [Google Scholar] [CrossRef]
- Perlin, P.; Suski, T.; Teisseyre, H.; Leszczynski, M.; Grzegory, I.; Jun, J.; Porowski, S.; Bogusławski, P.; Bernholc, J.; Chervin, J.C.; et al. Towards the Identification of the Dominant Donor in GaN. Phys. Rev. Lett. 1995, 75, 296–299. [Google Scholar] [CrossRef] [PubMed]
- Wetzel, C.; Suski, T.; Ager Iii, J.W.; Weber, E.R.; Haller, E.E.; Fischer, S.; Meyer, B.K.; Molnar, R.J.; Perlin, P. Pressure Induced Deep Gap State of Oxygen in GaN. Phys. Rev. Lett. 1997, 78, 3923–3926. [Google Scholar] [CrossRef]
- Dmowski, L.H.; Plesiewicz, J.A.; Suski, T.; Lu, H.; Schaff, W.; Kurouchi, M.; Nanishi, Y.; Konczewicz, L.; Cimalla, V.; Ambacher, O. Resonant Localized Donor State above the Conduction Band Minimum in InN. Applied Physics Letters 2005, 86, 262105. [Google Scholar] [CrossRef]
- Plesiewicz, J.; Suski, T.; Dmowski, L.; Walukiewicz, W.; Yu, K.M.; Korman, A.; Ratajczak, R.; Stonert, A.; Lu, H.; Schaff, W. Towards Identification of Localized Donor States in InN. Semicond. Sci. Technol. 2007, 22, 1161–1164. [Google Scholar] [CrossRef]
- 22nd International Conference on The Physics of Semiconductors: Vancouver, Canada August 15 - 19, 1994; Lockwood, D.J., Ed.; World Scientific: Singapore, 1995; ISBN 978-981-02-2021-1.
- Van De Walle, C.G.; Stampfl, C.; Neugebauer, J. Theory of Doping and Defects in III–V Nitrides. Journal of Crystal Growth 1998, 189–190, 505–510. [CrossRef]
- Hangleiter, A. Optical Properties of Nitride Heterostructures. phys. stat. sol. (c) 2003, 1816–1834. [Google Scholar] [CrossRef]
- Suski, T.; Schulz, T.; Albrecht, M.; Wang, X.Q.; Gorczyca, I.; Skrobas, K.; Christensen, N.E.; Svane, A. The Discrepancies between Theory and Experiment in the Optical Emission of Monolayer In(Ga)N Quantum Wells Revisited by Transmission Electron Microscopy. Applied Physics Letters 2014, 104, 182103. [Google Scholar] [CrossRef]
- Duff, A.I.; Lymperakis, L.; Neugebauer, J. Understanding and Controlling Indium Incorporation and Surface Segregation on In x Ga 1 − x N Surfaces: An Ab Initio Approach. Phys. Rev. B 2014, 89, 085307. [Google Scholar] [CrossRef]
- Lymperakis, L.; Schulz, T.; Freysoldt, C.; Anikeeva, M.; Chen, Z.; Zheng, X.; Shen, B.; Chèze, C.; Siekacz, M.; Wang, X.Q.; et al. Elastically Frustrated Rehybridization: Origin of Chemical Order and Compositional Limits in InGaN Quantum Wells. Phys. Rev. Materials 2018, 2, 011601. [Google Scholar] [CrossRef]
- Piechota, J.; Krukowski, S.; Sadovyi, B.; Sadovyi, P.; Porowski, S.; Grzegory, I. Melting versus Decomposition of GaN: Ab Initio Molecular Dynamics Study and Comparison to Experimental Data. Chem. Mater. 2023, 35, 7694–7707. [Google Scholar] [CrossRef]
- Saitoh, H.; Utsumi, W.; Kaneko, H.; Aoki, K. The Phase and Crystal-Growth Study of Group-III Nitrides in a 2000 °C at 20 GPa Region. Journal of Crystal Growth 2007, 300, 26–31. [Google Scholar] [CrossRef]
- Slack, G.A.; McNelly, T.F. Growth of High Purity AlN Crystals. Journal of Crystal Growth 1976, 34, 263–279. [Google Scholar] [CrossRef]
- Schlesser, R.; Dalmau, R.; Sitar, Z. Seeded Growth of AlN Bulk Single Crystals by Sublimation. Journal of Crystal Growth 2002, 241, 416–420. [Google Scholar] [CrossRef]
- Bickermann, M.; Epelbaum, B.M.; Filip, O.; Tautz, B.; Heimann, P.; Winnacker, A. Faceting in AlN Bulk Crystal Growth and Its Impact on Optical Properties of the Crystals. Phys. Status Solidi C 2012, 9, 449–452. [Google Scholar] [CrossRef]
- Kumagai, Y.; Goto, K.; Nagashima, T.; Yamamoto, R.; Boćkowski, M.; Kotani, J. Influence of Growth Rate on Homoepitaxial Growth of AlN at 1450 °C by Hydride Vapor Phase Epitaxy. Appl. Phys. Express 2022, 15, 115501. [Google Scholar] [CrossRef]
- III-Nitride Semiconductors and Their Modern Devices; Gil, B., Ed.; Series on semiconductor science and technology; First edition.; Oxford University Press: Oxford, 2013. ISBN 978-0-19-968172-3.
- Fujikura, H.; Yoshida, T.; Shibata, M.; Otoki, Y. Recent Progress of High-Quality GaN Substrates by HVPE Method.; Chyi, J.-I., Fujioka, H., Morkoç, H., Nanishi, Y., Schwarz, U.T., Shim, J.-I., Eds.; San Francisco, California, United States, February 16 2017; p. 1010403.
- Doradziński, R.; Dwiliński, R.; Garczyński, J.; Sierzputowski, L.P.; Kanbara, Y. Ammonothermal Growth of GaN Under Ammono-Basic Conditions. In Technology of Gallium Nitride Crystal Growth; Ehrentraut, D., Meissner, E., Bockowski, M., Eds.; Springer Series in Materials Science; Springer Berlin Heidelberg: Berlin, Heidelberg, 2010; Vol. 133, pp. 137–160 ISBN 978-3-642-04828-9.
- Kurimoto, K.; Bao, Q.; Mikawa, Y.; Shima, K.; Ishiguro, T.; Chichibu, S.F. Low-Pressure Acidic Ammonothermal Growth of 2-Inch-Diameter Nearly Bowing-Free Bulk GaN Crystals. Appl. Phys. Express 2022, 15, 055504. [Google Scholar] [CrossRef]
- Mori, Y.; Imanishi, M.; Murakami, K.; Yoshimura, M. Recent Progress of Na-Flux Method for GaN Crystal Growth. Jpn. J. Appl. Phys. 2019, 58, SC0803. [Google Scholar] [CrossRef]
- Becker, P.; Niewa, R. Progress in Ammonothermal Crystal Growth of Indium Nitride. Journal of Crystal Growth 2022, 581, 126480. [Google Scholar] [CrossRef]
- Grzegory, I.; Jun, J.; Krukowski, S.; Perlin, P.; Porowski, S. InN Thermodynamics and Crystal Growth at High Pressure of N 2. Jpn. J. Appl. Phys. 1993, 32, 343. [Google Scholar] [CrossRef]
- Saito, Y.; Yamaguchi, T.; Kanazawa, H.; Kano, K.; Araki, T.; Nanishi, Y.; Teraguchi, N.; Suzuki, A. Growth of High-Quality InN Using Low-Temperature Intermediate Layers by RF-MBE. Journal of Crystal Growth 2002, 237–239, 1017–1021. [CrossRef]
- Wei, S.-H.; Zunger, A. Predicted Band-Gap Pressure Coefficients of All Diamond and Zinc-Blende Semiconductors: Chemical Trends. Phys. Rev. B 1999, 60, 5404–5411. [Google Scholar] [CrossRef]
- Suski, T.; Paul, W. High Pressure in Semiconductor Physics. II; Academic Press: San Diego, 1998; ISBN 978-0-12-752163-3.
- Christensen, N.E.; Gorczyca, I. Optical and Structural Properties of III-V Nitrides under Pressure. Phys. Rev. B 1994, 50, 4397–4415. [Google Scholar] [CrossRef] [PubMed]
- Phillips, J.C. Ionicity of the Chemical Bond in Crystals. Rev. Mod. Phys. 1970, 42, 317–356. [Google Scholar] [CrossRef]
- García, A.; Cohen, M.L. First-Principles Ionicity Scales. I. Charge Asymmetry in the Solid State. Phys. Rev. B 1993, 47, 4215–4220. [Google Scholar] [CrossRef] [PubMed]
- Christensen, N.E.; Satpathy, S.; Pawlowska, Z. Bonding and Ionicity in Semiconductors. Phys. Rev. B 1987, 36, 1032–1050. [Google Scholar] [CrossRef] [PubMed]
- Matsuoka, T.; Okamoto, H.; Nakao, M.; Harima, H.; Kurimoto, E. Optical Bandgap Energy of Wurtzite InN. Applied Physics Letters 2002, 81, 1246–1248. [Google Scholar] [CrossRef]
- Semchinova, O.K.; Aderhold, J.; Graul, J.; Filimonov, A.; Neff, H. Photoluminescence, Depth Profile, and Lattice Instability of Hexagonal InN Films. Appl. Phys. Lett. 2003, 83, 5440–5442. [Google Scholar] [CrossRef]
- Perlin, P.; Jauberthie-Carilln, C.; Itie, J.P.; San Higuel, A.; Grzecory, I.; Wlian, A. High Pressure Phase Transition in Gallium Nitride. High Pressure Research 1991, 7, 96–98. [Google Scholar] [CrossRef]
- Akamaru, H.; Onodera, A.; Endo, T.; Mishima, O. Pressure Dependence of the Optical-Absorption Edge of AlN and Graphite-Type BN. Journal of Physics and Chemistry of Solids 2002, 63, 887–894. [Google Scholar] [CrossRef]
- Kamińska, A.; Franssen, G.; Suski, T.; Gorczyca, I.; Christensen, N.E.; Svane, A.; Suchocki, A.; Lu, H.; Schaff, W.J.; Dimakis, E.; et al. Role of Conduction-Band Filling in the Dependence of InN Photoluminescence on Hydrostatic Pressure. Phys. Rev. B 2007, 76, 075203. [Google Scholar] [CrossRef]
- Ibáñez, J.; Segura, A.; Manjón, F.J.; Artús, L.; Yamaguchi, T.; Nanishi, Y. Electronic Structure of Wurtzite and Rocksalt InN Investigated by Optical Absorption under Hydrostatic Pressure. Applied Physics Letters 2010, 96, 201903. [Google Scholar] [CrossRef]
- Perlin, P.; Mattos, L.; Shapiro, N.A.; Kruger, J.; Wong, W.S.; Sands, T.; Cheung, N.W.; Weber, E.R. Reduction of the Energy Gap Pressure Coefficient of GaN Due to the Constraining Presence of the Sapphire Substrate. Journal of Applied Physics 1999, 85, 2385–2389. [Google Scholar] [CrossRef]
- Al-Douri, Y.; Abid, H.; Aourag, H. Correlation between the Bulk Modulus and the Charge Density in Semiconductors. Physica B: Condensed Matter 2001, 305, 186–190. [Google Scholar] [CrossRef]
- Ueno, M.; Yoshida, M.; Onodera, A.; Shimomura, O.; Takemura, K. Stability of the Wurtzite-Type Structure under High Pressure: GaN and InN. Phys. Rev. B 1994, 49, 14–21. [Google Scholar] [CrossRef] [PubMed]
- Ueno, M.; Onodera, A.; Shimomura, O.; Takemura, K. X-Ray Observation of the Structural Phase Transition of Aluminum Nitride under High Pressure. Phys. Rev. B 1992, 45, 10123–10126. [Google Scholar] [CrossRef] [PubMed]
- Gorczyca, I.; Plesiewicz, J.; Dmowski, L.; Suski, T.; Christensen, N.E.; Svane, A.; Gallinat, C.S.; Koblmueller, G.; Speck, J.S. Electronic Structure and Effective Masses of InN under Pressure. Journal of Applied Physics 2008, 104, 013704. [Google Scholar] [CrossRef]
- Wu, J.; Walukiewicz, W.; Shan, W.; Yu, K.M.; Ager, J.W.; Haller, E.E.; Lu, H.; Schaff, W.J. Effects of the Narrow Band Gap on the Properties of InN. Phys. Rev. B 2002, 66, 201403. [Google Scholar] [CrossRef]
- Hofmann, T.; Chavdarov, T.; Darakchieva, V.; Lu, H.; Schaff, W.J.; Schubert, M. Anisotropy of the Γ-point Effective Mass and Mobility in Hexagonal InN. Phys. Status Solidi (c) 2006, 3, 1854–1857. [Google Scholar] [CrossRef]
- Fu, S.P.; Chen, Y.F. Effective Mass of InN Epilayers. Applied Physics Letters 2004, 85, 1523–1525. [Google Scholar] [CrossRef]
- Properties of Advanced Semiconductor Materials: GaN, AlN, InN, BN, SiC, SiGe; Levinshteĭn, M.E., Rumyantsev, S.L., Shur, M., Eds.; Wiley: New York, 2001; ISBN 978-0-471-35827-5. ISBN 978-0-471-35827-5.
- Dreyer, C.E.; Janotti, A.; Van De Walle, C.G. Effects of Strain on the Electron Effective Mass in GaN and AlN. Applied Physics Letters 2013, 102, 142105. [Google Scholar] [CrossRef]
- Franssen, G.; Kamińska, A.; Suski, T.; Gorczyca, I.; Christensen, N.E.; Svane, A.; Lu, H.; Schaff, W.J.; Dimakis, E.; Georgakilas, A.; et al. Conduction Band Filling in In-rich InGaN and InN under Hydrostatic Pressure. Phys. Status Solidi (c) 2008, 5, 1488–1490. [Google Scholar] [CrossRef]
- Kaminska, A.; Nowakowski, P.; Staszczak, G.; Suski, T.; Suchocki, A.; Carlin, J.-F.; Grandjean, N.; Martin, R.; Yamamoto, A. Peculiarities in the Pressure Dependence of Photoluminescence in InAlN: Peculiarities in the Pressure Dependence of Photoluminescence in InAlN. Phys. Status Solidi B 2013, 250, 677–682. [Google Scholar] [CrossRef]
- Gallium Nitride (GaN). 1; Semiconductors and semimetals; Acad. Press: San Diego, 1998; ISBN 978-0-12-752158-9. ISBN 978-0-12-752158-9.
- Nakamura, S.; Fasol, G. The Blue Laser Diode: GaN Based Light Emitters and Lasers; Springer: Berlin; New York, 1997; ISBN 978-3-540-61590-3.
- Neugebauer, J.; Van De Walle, C.G. Gallium Vacancies and the Yellow Luminescence in GaN. Applied Physics Letters 1996, 69, 503–505. [Google Scholar] [CrossRef]
- Gorczyca, I.; Svane, A.; Christensen, N.E. Theory of Point Defects in GaN, AlN, and BN: Relaxation and Pressure Effects. Phys. Rev. B 1999, 60, 8147–8157. [Google Scholar] [CrossRef]
- Mooney, P.M. Deep Donor Levels (D X Centers) in III-V Semiconductors. Journal of Applied Physics 1990, 67, R1–R26. [Google Scholar] [CrossRef]
- Bogusl/awski, P.; Briggs, E.L.; Bernholc, J. Native Defects in Gallium Nitride. Phys. Rev. B 1995, 51, 17255–17258. [Google Scholar] [CrossRef] [PubMed]
- Wetzel, C.; Amano, H.; Akasaki, I.; Ager, J.W.; Grzegory, I.; Topf, M.; Meyer, B.K. Localized Vibrational Modes in GaN:O Tracing the Formation of Oxygen DX -like Centers under Hydrostatic Pressure. Phys. Rev. B 2000, 61, 8202–8206. [Google Scholar] [CrossRef]
- McCluskey, M.D.; Johnson, N.M.; Van De Walle, C.G.; Bour, D.P.; Kneissl, M.; Walukiewicz, W. Metastability of Oxygen Donors in AlGaN. Phys. Rev. Lett. 1998, 80, 4008–4011. [Google Scholar] [CrossRef]
- Van De Walle, C.G. DX -Center Formation in Wurtzite and Zinc-Blende Al x Ga 1 − x N. Phys. Rev. B 1998, 57, R2033–R2036. [Google Scholar] [CrossRef]
- Skierbiszewski, C.; Suski, T.; Leszczynski, M.; Shin, M.; Skowronski, M.; Bremser, M.D.; Davis, R.F. Evidence for Localized Si-Donor State and Its Metastable Properties in AlGaN. Applied Physics Letters 1999, 74, 3833–3835. [Google Scholar] [CrossRef]
- Teisseyre, H.; Suski, T.; Perlin, P.; Grzegory, I.; Leszczynski, M.; Bockowski, M.; Porowski, S.; Freitas, J.A.; Henry, R.L.; Wickenden, A.E.; et al. Different Character of the Donor-Acceptor Pair-Related 3.27 eV Band and Blue Photoluminescence in Mg-Doped GaN. Hydrostatic Pressure Studies. Phys. Rev. B 2000, 62, 10151–10157. [CrossRef]
- Teisseyre, H.; Lyons, J.L.; Kaminska, A.; Jankowski, D.; Jarosz, D.; Boćkowski, M.; Suchocki, A.; Van De Walle, C.G. Identification of Yellow Luminescence Centers in Be-Doped GaN through Pressure-Dependent Studies. J. Phys. D: Appl. Phys. 2017, 50, 22LT03. [Google Scholar] [CrossRef]
- Teisseyre, H.; Gorczyca, I.; Christensen, N.E.; Svane, A.; Naranjo, F.B.; Calleja, E. Pressure Behavior of Beryllium-Acceptor Level in Gallium Nitride. Journal of Applied Physics 2005, 97, 043704. [Google Scholar] [CrossRef]
- Kaminska, A.; Koronski, K.; Strak, P.; Sobczak, K.; Monroy, E.; Krukowski, S. Wurtzite Quantum Well Structures under High Pressure. Journal of Applied Physics 2020, 128, 050901. [Google Scholar] [CrossRef]
- Kaminska, A.; Gorczyca, I.; Teisseyre, H.; Strak, P.; Krukowski, S.; Suchocki, A. High Pressure Studies of Radiative Recombination Processes in Nitride Semiconductor Alloys and Quantum Structures. Jpn. J. Appl. Phys. 2020, 59, SA0802. [Google Scholar] [CrossRef]
- Trzeciakowski, W.; Bercha, A.; Gładysiewicz-Kudrawiec, M. Hydrostatic and Uniaxial Effects in InGaN/GaN Quantum Wells. Journal of Applied Physics 2018, 124, 205701. [Google Scholar] [CrossRef]
- Perlin, P.; Iota, V.; Weinstein, B.A.; Wiśniewski, P.; Suski, T. ; Eliseev, Petr. G.; Osiński, M. Influence of Pressure on Photoluminescence and Electroluminescence in GaN/InGaN/AlGaN Quantum Wells. Applied Physics Letters 1997, 70, 2993–2995. [Google Scholar] [CrossRef]
- Perlin, P.; Gorczyca, I.; Suski, T.; Wisniewski, P.; Lepkowski, S.; Christensen, N.E.; Svane, A.; Hansen, M.; DenBaars, S.P.; Damilano, B.; et al. Influence of Pressure on the Optical Properties of In x Ga 1 − x N Epilayers and Quantum Structures. Phys. Rev. B 2001, 64, 115319. [Google Scholar] [CrossRef]
- Shan, W.; Perlin, P.; Ager, J.W.; Walukiewicz, W.; Haller, E.E.; McCluskey, M.D.; Johnson, N.M.; Bour, D.P. Comparison Study of Photoluminescence from InGaN/GaN Multiple Quantum Wells and InGaN Epitaxial Layers under Large Hydrostatic Pressure. Applied Physics Letters 1998, 73, 1613–1615. [Google Scholar] [CrossRef]
- Vaschenko, G.; Patel, D.; Menoni, C.S.; Keller, S.; Mishra, U.K.; DenBaars, S.P. Dominant Role of the Piezoelectric Field in the Pressure Behavior of InGaN/GaN Quantum Wells. Applied Physics Letters 2001, 78, 640–642. [Google Scholar] [CrossRef]
- Vaschenko, G.; Menoni, C.S.; Patel, D.; Tomé, C.N.; Clausen, B.; Gardner, N.F.; Sun, J.; Götz, W.; Ng, H.M.; Cho, A.Y. Nonlinear Polarization in Nitrides Revealed with Hydrostatic Pressure. phys. stat. sol. (b) 2003, 235, 238–247. [Google Scholar] [CrossRef]
- Łepkowski, S.P.; Teisseyre, H.; Suski, T.; Perlin, P.; Grandjean, N.; Massies, J. Piezoelectric Field and Its Influence on the Pressure Behavior of the Light Emission from GaN/AlGaN Strained Quantum Wells. Applied Physics Letters 2001, 79, 1483–1485. [Google Scholar] [CrossRef]
- Łepkowski, S.P.; Majewski, J.A.; Jurczak, G. Nonlinear Elasticity in III-N Compounds: Ab Initio Calculations. Phys. Rev. B 2005, 72, 245201. [Google Scholar] [CrossRef]
- Suski, T.; Łepkowski, S.P.; Staszczak, G.; Czernecki, R.; Perlin, P.; Bardyszewski, W. Universal Behavior of Photoluminescence in GaN-Based Quantum Wells under Hydrostatic Pressure Governed by Built-in Electric Field. Journal of Applied Physics 2012, 112, 053509. [Google Scholar] [CrossRef]
- Staszczak, G.; Trzeciakowski, W.; Monroy, E.; Bercha, A.; Muzioł, G.; Skierbiszewski, C.; Perlin, P.; Suski, T. Hydrostatic Pressure Dependence of Indirect and Direct Excitons in InGaN/GaN Quantum Wells. Phys. Rev. B 2020, 101, 085306. [Google Scholar] [CrossRef]
- King-Smith, R.D.; Vanderbilt, D. Theory of Polarization of Crystalline Solids. Phys. Rev. B 1993, 47, 1651–1654. [Google Scholar] [CrossRef] [PubMed]
- Vanderbilt, D.; King-Smith, R.D. Electric Polarization as a Bulk Quantity and Its Relation to Surface Charge. Phys. Rev. B 1993, 48, 4442–4455. [Google Scholar] [CrossRef] [PubMed]
- Resta, R. Macroscopic Polarization in Crystalline Dielectrics: The Geometric Phase Approach. Rev. Mod. Phys. 1994, 66, 899–915. [Google Scholar] [CrossRef]
- Ho, I.; Stringfellow, G.B. Solid Phase Immiscibility in GaInN. Applied Physics Letters 1996, 69, 2701–2703. [Google Scholar] [CrossRef]
- Bernardini, F.; Fiorentini, V. Electronic Dielectric Constants of Insulators Calculated by the Polarization Method. Phys. Rev. B 1998, 58, 15292–15295. [Google Scholar] [CrossRef]
- Cho, Y.-H.; Gainer, G.H.; Fischer, A.J.; Song, J.J.; Keller, S.; Mishra, U.K.; DenBaars, S.P. “S-Shaped” Temperature-Dependent Emission Shift and Carrier Dynamics in InGaN/GaN Multiple Quantum Wells. Applied Physics Letters 1998, 73, 1370–1372. [Google Scholar] [CrossRef]
- Gorczyca, I.; Skrobas, K.; Suski, T.; Christensen, N.E.; Svane, A. Influence of Internal Electric Fields on Band Gaps in Short Period GaN/GaAlN and InGaN/GaN Polar Superlattices. Journal of Applied Physics 2015, 118, 075702. [Google Scholar] [CrossRef]
- Dreyer, C.E.; Janotti, A.; Van De Walle, C.G.; Vanderbilt, D. Correct Implementation of Polarization Constants in Wurtzite Materials and Impact on III-Nitrides. Phys. Rev. X 2016, 6, 021038. [Google Scholar] [CrossRef]
- Kaminska, A.; Strak, P.; Borysiuk, J.; Sobczak, K.; Domagala, J.Z.; Beeler, M.; Grzanka, E.; Sakowski, K.; Krukowski, S.; Monroy, E. Correlation of Optical and Structural Properties of GaN/AlN Multi-Quantum Wells— Ab Initio and Experimental Study. Journal of Applied Physics 2016, 119, 015703. [Google Scholar] [CrossRef]
- Kaminska, A.; Jankowski, D.; Strak, P.; Korona, K.P.; Beeler, M.; Sakowski, K.; Grzanka, E.; Borysiuk, J.; Sobczak, K.; Monroy, E.; et al. High Pressure and Time Resolved Studies of Optical Properties of N-Type Doped GaN/AlN Multi-Quantum Wells: Experimental and Theoretical Analysis. Journal of Applied Physics 2016, 120, 095705. [Google Scholar] [CrossRef]
- Reshchikov, M.A.; Morkoç, H. Luminescence Properties of Defects in GaN. Journal of Applied Physics 2005, 97, 061301. [Google Scholar] [CrossRef]
- Franssen, G.; Kamińska, A.; Suski, T.; Suchocki, A.; Kazlauskas, K.; Tamulaitis, G.; Žukauskas, A.; Czernecki, R.; Teisseyre, H.; Perlin, P.; et al. Observation of Localization Effects in InGaN/GaN Quantum Structures by Means of the Application of Hydrostatic Pressure. phys. stat. sol. (b) 2004, 241, 3285–3292. [Google Scholar] [CrossRef]
- Franssen, G.; Suski, T.; Perlin, P.; Teisseyre, H.; Khachapuridze, A.; Dmowski, L.H.; Plesiewicz, J.A.; Kamińska, A.; Kurouchi, M.; Nanishi, Y.; et al. Band-to-Band Character of Photoluminescence from InN and In-Rich InGaN Revealed by Hydrostatic Pressure Studies. Applied Physics Letters 2006, 89, 121915. [Google Scholar] [CrossRef]
- Suski, T.; Franssen, G.; Teisseyre, H.; Khachapuridze, A.; Dmowski, L.H.; Plesiewicz, J.A.; Kamińska, A.; Lu, H.; Schaff, W. High Pressure Studies of Radiative Recombination Mechanisms in InN. Physica Status Solidi (b) 2007, 244, 38–41. [Google Scholar] [CrossRef]
- Suski, T.; Kamińska, A.; Franssen, G.; Teisseyre, H.; Dmowski, L.H.; Plesiewicz, J.A.; Lu, H.L.; Schaff, W.J.; Kurouchi, M.; Nanishi, Y. Role of Localized Donor States in Transport and Photoluminescence of InN Revealed by Hydrostatic Pressure Studies. Physica Status Solidi (b) 2007, 244, 1825–1828. [Google Scholar] [CrossRef]
- Millot, M.; Geballe, Z.M.; Yu, K.M.; Walukiewicz, W.; Jeanloz, R. Red-Green Luminescence in Indium Gallium Nitride Alloys Investigated by High Pressure Optical Spectroscopy. Appl. Phys. Lett. 2012, 100, 162103. [Google Scholar] [CrossRef]
- Brik, M.G.; Mahlik, S.; Jankowski, D.; Strak, P.; Korona, K.P.; Monroy, E.; Krukowski, S.; Kaminska, A. Experimental and First-Principles Studies of High-Pressure Effects on the Structural, Electronic, and Optical Properties of Semiconductors and Lanthanide Doped Solids. Jpn. J. Appl. Phys. 2017, 56, 05FA02. [Google Scholar] [CrossRef]
- Kamińska, A.; Franssen, G.; Suski, T.; Feltin, E.; Grandjean, N. Pressure-Induced Piezoelectric Effects in near-Lattice-Matched GaN/AlInN Quantum Wells. Journal of Applied Physics 2008, 104, 063505. [Google Scholar] [CrossRef]
- Teisseyre, H.; Kamińska, A.; Franssen, G.; Dussaigne, A.; Grandjean, N.; Grzegory, I.; Łucznik, B.; Suski, T. Different Pressure Behavior of GaN/AlGaN Quantum Structures Grown along Polar and Nonpolar Crystallographic Directions. Journal of Applied Physics 2009, 105, 063104. [Google Scholar] [CrossRef]
- Koronski, K.; Strak, P.; Wierzbicka, A.; Grzanka, E.; Borysiuk, J.; Sobczak, K.; Jakiela, R.; Sobanska, M.; Klosek, K.; Monroy, E.; et al. Experimental and Theoretical Analysis of Influence of Barrier Composition on Optical Properties of GaN/AlGaN Multi-Quantum Wells: Temperature- and Pressure-Dependent Photoluminescence Studies. Journal of Alloys and Compounds 2018, 769, 1064–1071. [Google Scholar] [CrossRef]
- Gorczyca, I.; Suski, T.; Staszczak, G.; Christensen, N.E.; Svane, A.; Wang, X.; Dimakis, E.; Moustakas, T. InN/GaN Superlattices: Band Structures and Their Pressure Dependence. Jpn. J. Appl. Phys. 2013, 52, 08JL06. [Google Scholar] [CrossRef]
- Strak, P.; Kempisty, P.; Sakowski, K.; Kaminska, A.; Jankowski, D.; Korona, K.P.; Sobczak, K.; Borysiuk, J.; Beeler, M.; Grzanka, E.; et al. Ab Initio and Experimental Studies of Polarization and Polarization Related Fields in Nitrides and Nitride Structures. AIP Advances 2017, 7, 015027. [Google Scholar] [CrossRef]
- Strak, P.; Sakowski, K.; Kaminska, A.; Krukowski, S. Influence of Pressure on the Properties of GaN/AlN Multi-Quantum Wells – Ab Initio Study. Journal of Physics and Chemistry of Solids 2016, 93, 100–117. [Google Scholar] [CrossRef]
- Carlin, J.-F.; Ilegems, M. High-Quality AlInN for High Index Contrast Bragg Mirrors Lattice Matched to GaN. Appl. Phys. Lett. 2003, 83, 668–670. [Google Scholar] [CrossRef]
- Lorenz, K.; Franco, N.; Alves, E.; Watson, I.M.; Martin, R.W.; O’Donnell, K.P. Anomalous Ion Channeling in AlInN/GaN Bilayers: Determination of the Strain State. Phys. Rev. Lett. 2006, 97. [Google Scholar]
- Butté, R.; Carlin, J.-F.; Feltin, E.; Gonschorek, M.; Nicolay, S.; Christmann, G.; Simeonov, D.; Castiglia, A.; Dorsaz, J.; Buehlmann, H.J.; et al. Current Status of AlInN Layers Lattice-Matched to GaN for Photonics and Electronics. J. Phys. D: Appl. Phys. 2007, 40, 6328–6344. [Google Scholar] [CrossRef]
- Franssen, G.; Suski, T.; Kryśko, M.; Khachapuridze, A.; Kudrawiec, R.; Misiewicz, J.; Kamińska, A.; Feltin, E.; Grandjean, N. Built-in Electric Field and Large Stokes Shift in near-Lattice-Matched GaN∕AlInN Quantum Wells. Applied Physics Letters 2008, 92, 201901. [Google Scholar] [CrossRef]
- Vaschenko, G.; Patel, D.; Menoni, C.S.; Gardner, N.F.; Sun, J.; Götz, W.; Tomé, C.N.; Clausen, B. Significant Strain Dependence of Piezoelectric Constants in InxGa1−xN/G a N Quantum Wells. Phys. Rev. B 2001, 64, 241308. [Google Scholar] [CrossRef]
- Takeuchi, T.; Wetzel, C.; Yamaguchi, S.; Sakai, H.; Amano, H.; Akasaki, I.; Kaneko, Y.; Nakagawa, S.; Yamaoka, Y.; Yamada, N. Determination of Piezoelectric Fields in Strained GaInN Quantum Wells Using the Quantum-Confined Stark Effect. Applied Physics Letters 1998, 73, 1691–1693. [Google Scholar] [CrossRef]
- Suski, T.; Teisseyre, T.; Łepkowski, S.P.; Perlin, P.; Kitamura, T.; Ishida, Y.; Okumura, H.; Chichibu, S.F. Different Pressure Coefficients of the Light Emission in Cubic and Hexagonal InGaN/GaN Quantum Wells. Appl. Phys. Lett. 2002, 81, 232–234. [Google Scholar] [CrossRef]
- Yoshikawa, A.; Che, S.B.; Yamaguchi, W.; Saito, H.; Wang, X.Q.; Ishitani, Y.; Hwang, E.S. Proposal and Achievement of Novel Structure InN∕GaN Multiple Quantum Wells Consisting of 1 ML and Fractional Monolayer InN Wells Inserted in GaN Matrix. Applied Physics Letters 2007, 90, 073101. [Google Scholar] [CrossRef]
- Cui, X.Y.; Delley, B.; Stampfl, C. Band Gap Engineering of Wurtzite and Zinc-Blende GaN/AlN Superlattices from First Principles. Journal of Applied Physics 2010, 108, 103701. [Google Scholar] [CrossRef]
- Shieh, C.C.; Cui, X.Y.; Delley, B.; Stampfl, C. Built-in Electric Fields and Valence Band Offsets in InN/GaN(0001) Superlattices: First-Principles Investigations. Journal of Applied Physics 2011, 109, 083721. [Google Scholar] [CrossRef]
- Gorczyca, I.; Suski, T.; Christensen, N.E.; Svane, A. Band Structure and Quantum Confined Stark Effect in InN/GaN Superlattices. Crystal Growth & Design 2012, 12, 3521–3525. [Google Scholar] [CrossRef]
- Gorczyca, I.; Suski, T.; Christensen, N.E.; Svane, A. Hydrostatic Pressure and Strain Effects in Short Period InN/GaN Superlattices. Appl. Phys. Lett. 2012, 101, 092104. [Google Scholar] [CrossRef]
- Gorczyca, I.; Suski, T.; Christensen, N.E.; Svane, A. Theoretical Study of Nitride Short Period Superlattices. J. Phys.: Condens. Matter 2018, 30, 063001. [Google Scholar] [CrossRef] [PubMed]
- Yoshikawa, A.; Che, S.B.; Hashimoto, N.; Saito, H.; Ishitani, Y.; Wang, X.Q. Fabrication and Characterization of Novel Monolayer InN Quantum Wells in a GaN Matrix. Journal of Vacuum Science & Technology B: Microelectronics and Nanometer Structures Processing, Measurement, and Phenomena 2008, 26, 1551–1559. [Google Scholar] [CrossRef]
- Dimakis, E.; Nikiforov, A.Yu.; Thomidis, C.; Zhou, L.; Smith, D.J.; Abell, J.; Kao, C. -K. ; Moustakas, T.D. Growth and Properties of near-UV Light Emitting Diodes Based on InN/GaN Quantum Wells. Physica Status Solidi (a) 2008, 205, 1070–1073. [Google Scholar] [CrossRef]
- Staszczak, G.; Gorczyca, I.; Suski, T.; Wang, X.Q.; Christensen, N.E.; Svane, A.; Dimakis, E.; Moustakas, T.D. Photoluminescence and Pressure Effects in Short Period InN/n GaN Superlattices. Journal of Applied Physics 2013, 113, 123101. [Google Scholar] [CrossRef]
- Pieniak, K.; Trzeciakowski, W.; Muzioł, G.; Kafar, A.; Siekacz, M.; Skierbiszewski, C.; Suski, T. Evolution of a Dominant Light Emission Mechanism Induced by Changes of the Quantum Well Width in InGaN/GaN LEDs and LDs. Opt. Express 2021, 29, 40804. [Google Scholar] [CrossRef]
- Trzeciakowski, W.; Gurioli, M. Electric-Field Effects in Semiconductor Quantum Wells. Phys. Rev. B 1991, 44, 3880–3890. [Google Scholar] [CrossRef] [PubMed]
- Muziol, G.; Turski, H.; Siekacz, M.; Szkudlarek, K.; Janicki, L.; Baranowski, M.; Zolud, S.; Kudrawiec, R.; Suski, T.; Skierbiszewski, C. Beyond Quantum Efficiency Limitations Originating from the Piezoelectric Polarization in Light-Emitting Devices. ACS Photonics 2019, 6, 1963–1971. [Google Scholar] [CrossRef]
- Pieniak, K.; Chlipala, M.; Turski, H.; Trzeciakowski, W.; Muziol, G.; Staszczak, G.; Kafar, A.; Makarowa, I.; Grzanka, E.; Grzanka, S.; et al. Quantum-Confined Stark Effect and Mechanisms of Its Screening in InGaN/GaN Light-Emitting Diodes with a Tunnel Junction. Opt. Express 2021, 29, 1824. [Google Scholar] [CrossRef] [PubMed]
- Zhang, Z.; Kushimoto, M.; Yoshikawa, A.; Aoto, K.; Schowalter, L.J.; Sasaoka, C.; Amano, H. Continuous-Wave Lasing of AlGaN-Based Ultraviolet Laser Diode at 274. 8 Nm by Current Injection. Appl. Phys. Express 2022, 15, 041007. [Google Scholar] [CrossRef]
- Bagheri, P.; Kirste, R.; Reddy, P.; Washiyama, S.; Mita, S.; Sarkar, B.; Collazo, R.; Sitar, Z. The Nature of the DX State in Ge-Doped AlGaN. Applied Physics Letters 2020, 116, 222102. [Google Scholar] [CrossRef]
- Iida, D.; Zhuang, Z.; Kirilenko, P.; Velazquez-Rizo, M.; Ohkawa, K. Demonstration of Low Forward Voltage InGaN-Based Red LEDs. Appl. Phys. Express 2020, 13, 031001. [Google Scholar] [CrossRef]
- Power GaN Devices: Materials, Applications and Reliability; Meneghesso, G., Meneghini, M., Zanoni, E., Eds.; Power Electronics and Power Systems; 1st ed. 2017.; Springer International Publishing : Imprint: Springer: Cham, 2017; ISBN 978-3-319-43199-4.






















| InN | GaN | AlN | |
|---|---|---|---|
| Eg (eV) | 0.7-0.8a, 0.76b, 0.61c | 3.47d | 6.04e |
| dEg/dp (meV/GPa) | 27.4f, 29+-1g | 41.4h | 49e |
| Lattice constant, aeff (Å) | 4.98 | 4.50 | 4.37 |
| Ionicity Ref. [34] | 0.859 | 0.770 | 0.775 |
| Ionicity Ref. [35] | 0.578 | 0.500 | 0.449 |
| Ionicity Ref. [36] | 0.853 | 0.778 | 0.794 |
| InN Ref. [46] | GaN Ref. [46] | AlN Ref. [46] | |
|---|---|---|---|
| B (GPa) | 125.5 | 237 | 207.9 |
| PT (GPa) | 12.1 | 52.2 | 22.9 |
| InN | GaN | AlN | |
|---|---|---|---|
| m* | 0.05b, 0.07c, 0.044d | 0.20e 0.18-0.29f |
0.40e 0.29-0.45f |
| dm*/dp | 0.04/GPa a | ||
| dlnm*/dlnV | 1.1-1.2f | 1.7-1.8f |
Disclaimer/Publisher’s Note: The statements, opinions and data contained in all publications are solely those of the individual author(s) and contributor(s) and not of MDPI and/or the editor(s). MDPI and/or the editor(s) disclaim responsibility for any injury to people or property resulting from any ideas, methods, instructions or products referred to in the content. |
© 2024 by the authors. Licensee MDPI, Basel, Switzerland. This article is an open access article distributed under the terms and conditions of the Creative Commons Attribution (CC BY) license (http://creativecommons.org/licenses/by/4.0/).
