Submitted:
12 June 2024
Posted:
14 June 2024
You are already at the latest version
Abstract

Keywords:
1. Introduction
2. Materials and Methods
2.1. Sample Collection and Processing
2.2. Extraction of Phenolic Compounds
2.3. Total Phenolic Content Determination
2.4. Oxygen Radical Absorbance Capacity (ORAC)
2.5. Color Determination
- ΔL* = Difference in light and dark (+ brighter − darker).
- Δa* = Difference in red and green (+ red − green).
- Δb* = Difference in yellow and blue (+ yellow − blue).
- ΔE = Total color difference between L*, a* and b* parameters.
2.6. Nutshell Microstructural Analysis
2.6.1. Scanning Electron Microscopy (VP-SEM)
2.6.2. Confocal Laser Scanning Microscopy (CLSM)
2.7. Experimental Design and Statistical Analyses
3. Results
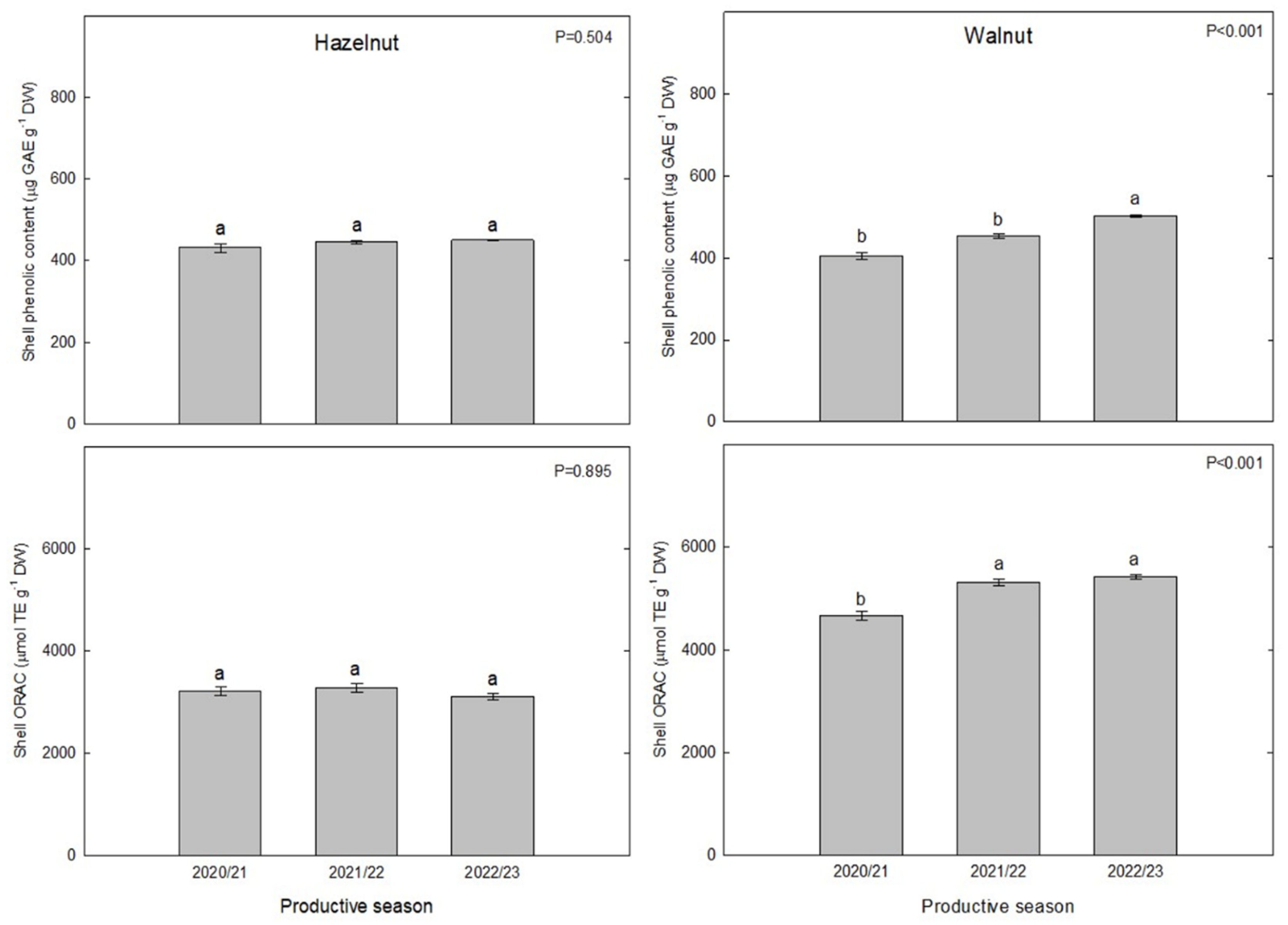
3.1. Total Phenolic Content
3.2. Oxygen Radical Absorbance Capacity
3.3. Nutshell Color
3.4. Pearson’s Correlation between Antioxidants and Color Parameters
3.5. Microstructure
3.5.1. Scanning Electron Microscopy (VP-SEM) of nutshell profiles
3.5.2. Lignin and Cellulose Accumulation Patterns in Nutshell Profiles Obtained by Confocal Laser Scanning Microscopy (CLSM)
4. Discussion
4.1. Total Phenolic Content and Antioxidant Capacity
4.2. Relationship between Antioxidants and Nutshell Color
4.3. Nutshell Microstructure (SEM-VP and CLSM)
5. Conclusions
Author Contributions
Funding
Acknowledgments
Conflicts of Interest
References
- Agrichile—Ferrero Hazelnut Company. Available online: https://agrichile.cl/avellano-europeo/. (Accessed on 12th June 2024).
- Aguayo-Villarreal, I. A., Bonilla-Petriciolet, A., and Muñiz-Valencia, R. (2017). Preparation of activated carbons from pecan nutshell and their application in the antagonistic adsorption of heavy metal ions. J. Mol. Struct, 230, 686-695. [CrossRef]
- Antreich, S. J., Xiao, N., Huss, J. C., Horbelt, N., Eder, M., Weinkamer, R., and Gierlinger, N. (2019). The puzzle of the walnut shell: a novel cell type with interlocked packing. J. Adv. Sci, 6(16), 1900644.
- Argenziano, R., Moccia, F., Esposito, R., D’Errico, G., Panzella, L., and Napolitano, A. (2022) Recovery of lignin with potent antioxidant properties from shells of edible nuts by a green ball milling/deep eutectic solvent (des) based protocol. Antioxidants, 11(10), 1860.
- Balasundar, P., Narayanasamy, P., Senthil, S., Al-Dhabi, N. A., Prithivirajan, R., Kumar, T., Ramkumar, and Bhat, K. S. (2019). Physico-chemical study of pistachio (Pistacia vera) nutshell particles as a bio-filler for eco-friendly composites. Mater. Res. Express, 6(10), 105339.
- Baran, Y., Gökçe, H. S., and Durmaz, M. (2020). Physical and mechanical properties of cement containing regional hazelnut shell ash wastes. J. Clean. Prod, 259, 120965.
- Barbu, M.C.; Reh, R., and Çavdar, A.D. (2017). Non-Wood Lignocellulosic Composites in Materials Science and Engineering: Concepts, Methodologies, Tools, and Applications; IGI Global: Hershey, PA, USA, 2017; pp. 947–977.
- Barczewski, M., Sałasińska, K., and Szulc, J. (2019). Application of sunflower husk, hazelnut shell and walnut shell as waste agricultural fillers for epoxy-based composites: A study into mechanical behavior related to structural and rheological properties. Polym. Test, 75, 1-11. [CrossRef]
- Brand-Williams, W.; Cuvelier, M.E. and Berset, C.L.W.T. (1995). Use of a free radical method to evaluate antioxidant activity. LWT Food Sci. Technol, 28, 25–30.
- Cardullo, N., Leanza, M., Muccilli, V., and Tringali, C. (2021). Valorization of agri-food waste from pistachio hard shells: Extraction of polyphenols as natural antioxidants. Resources, 10(5), 45.
- Chandrasekara, N., and Shahidi, F. (2011). Effect of roasting on phenolic content and antioxidant activities of whole cashew nuts, kernels, and testa. J. Agric. Food Chem, 59(9), 5006-5014.
- ChileNut, Reportes de Embarques. (2023). Available online: https://www.chilenut.cl/our-harvest/ (Accessed on 26th December 2023).
- Chirinos, R., Necochea, O., Pedreschi, R., and Campos, D. (2016). Sacha inchi (Plukenetia volubilis L.) shell: an alternative source of phenolic compounds and antioxidants. Int. J. Food Sci. Technol., 51(4), 986-993.
- CIREN and ODEPA. Catastro Frutícola y Principales Resultados, Región de La Araucanía (2023). Available online: https://www.odepa.gob.cl/wp-content/uploads/2023/11/RegionMetropolitana-0911.pdf. Accessed on 25th December 2023). Debe ser referenciado como documento, no como página WEB.
- Contini, M.; Baccelloni, S.; Massantini, R., and Anelli, G. (2008) Extraction of natural antioxidants from hazelnut (Corylus avellana L.) shell and skin wastes by long maceration at room temperature. Food Chem. 110, 659–669. [CrossRef]
- Contini, M.; Baccelloni, S.; Frangipane, M.T.; Merendino, N., and Massantini, R. (2012) Increasing espresso coffee brew antioxidant capacity using phenolic extract recovered from hazelnut skin waste. J. Funct. Foods 4, 137–146.
- Cortat, L. O., Zanini, N. C., Barbosa, R. F., de Souza, A. G., Rosa, D. S., and Mulinari, D. R. (2021). A sustainable perspective for macadamia nutshell residues revalorization by green composites development. J. Polym. Environ, 29, 3210-3226.
- Crozier, A.; Yokota, T.; Jaganath, I. B.; Marks, S.; Saltmarsh, M.;Clifford, M. N. (2007). Secondary metabolites in fruits, vegetables, beverages and other plant-based dietary components. Plant Secondary Metabolites; Blackwell Publishing: Oxford, U.K, 2007; pp 208-302.
- De Prá Andrade, M., Piazza, D., and Poletto, M. (2021). Pecan nutshell: morphological, chemical and thermal characterization. J. Mater. Res. Technol, 13, 2229-2238.
- Demirkaya, E., Dal, O., and Yüksel, A. (2019). Liquefaction of waste hazelnut shell by using sub-and supercritical solvents as a reaction medium. J. Supercrit. Fluids, 150, 11-20.
- Domingos, I., Ferreira, J., Cruz-Lopes, L. P., and Esteves, B. (2022). Liquefaction and chemical composition of walnut shells. Open Agric, 7(1), 249 256.
- Du, F., and Tan, T. (2021). Recent Studies in Mechanical Properties of Selected Hard Shelled Seeds: A Review. JOM, 73(6), 1723-1735.
- Esposito T, Sansone F, Franceschelli S, Del Gaudio P, Picerno P, Aquino RP, and Mencherini, T. (2017). Hazelnut (Corylus avellana L.) shells extract: phenolic composition, antioxidant effect and cytotoxic activity on human cancer cell lines. Int J Mol Sci 18(2):392.
- FAOSTAT. (2020). Agriculture data. Available online: https://www.fao.org/faostat/en/#data/QCL (Accessed on February 09th, 2024).
- Frazzini, S., Zuorro, A., Panseri, S., Pavlovic, R., Sgoifo Rossi, C. A., and Rossi, L. (2023). Repurposing Hazelnut Waste Products for a Sustainable Economy: A Metabolomic Analysis of Cuticles and Shells to Highlight Their Antioxidant Potential and Inhibitory Activity against Verocytotoxic Escherichia coli. Sustainability, 15(4), 3268.
- Friedman, M. (2007). Overview of antibacterial, antitoxin, antiviral, and antifungal activities of tea flavonoids and teas. Mol. Nutr. Food Res, 51, 116-134.
- Griffin, L. E., and Dean, L. L. (2017). Nutrient composition of raw, dry-roasted, and skin-on cashew Nuts. J. Food Res, 6(6), 13-28.
- Held, P. (2006). Performing Oxygen Radical Absorbance Capacity Assays with SynergyTM HT. Application Note. BioTek Instruments. Inc. Winooski, VT.
- Jalili A, Heydari R, Sadeghzade A, and Alipour S (2012) Reducing power and radical scavenging activities of phenolic extracts from Juglans regia hulls and shells. Afr J Biotechnol 11(37):9040–9047.
- Jensen, J. S., Demiray, S., Egebo, M., and Meyer, A. S. (2008). Prediction of wine color attributes from the phenolic profiles of red grapes (Vitis vinifera). J. Agric. Food Chem, 56(3), 1105-1115. [CrossRef]
- Kara, Ş., and Erçelebi, E. A. (2013). Thermal degradation kinetics of anthocyanins and visual color of Urmu mulberry (Morus nigra L.). J. Food Eng, 116(2), 541-547.
- Lixia, H., Bo, L., and Shaojin, W. (2015). Kinetics of color degradation of chestnut kernel during thermal treatment and storage. Int. J. Agric. Biol. Eng, 8(4), 106-115.
- Manterola-Barroso, C., Godoy, K., Alarcón, D., Padilla, D., and Meriño-Gergichevich, C. (2022). Antioxidants in Shell and Nut Yield Components after Ca, Mg and K Preharvest Spraying on Hazelnut Plantations in Southern Chile. Plants, 11(24), 3536.
- Manterola-Barroso, C., Padilla-Contreras, D., Ondrasek, G., Horvatinec, J., Gavilán-Cuicui, G., and Meriño-Gergichevich, C. (2024). Hazelnut and Walnut Nutshell Features, as Emerging Added Value By-Products of the Nut Industry: A Review. Plants, 13(7), 1034.
- Matějka, V., Fu, Z., Kukutschová, J., Qi, S., Jiang, S., Zhang, X., and Lu, Y. (2013). Jute fibers and powderized hazelnut shells as natural fillers in non-asbestos organic non-metallic friction composites. Mater. Des, 51, 847-853.
- Meriño-Gergichevich, C., Luengo-Escobar, A., Alarcón, D., Reyes-Díaz, M., Ondrasek, G., Morina, F., and Ogass, K. (2021). Combined spraying of boron and zinc during fruit set and premature stage improves yield and fruit quality of European hazelnut cv. Tonda di Giffoni. Front. Plant Sci, 12, 984.
- Mittler, R.; Vanderauwera, S.; Gollery, M. and van Breusegem, F. (2004). Reactive oxygen gene network of plants. Trends Plant Sci, 9, 490–498.
- Müller, A.K.; Helms, U.; Rohrer, C.; Möhler, M.; Hellwig, F.; Glei, M.; Schwerdtle, T.; Lorkowski, S., and Dawczynski, C. (2020). Nutrient composition of different hazelnut cultivars grown in Germany. Foods, 9, 1596.
- Nicolás-Bermúdez, J., Arzate-Vázquez, I., Chanona-Pérez, J. J., Méndez-Méndez, J. V., Rodríguez-Castro, G. A., and Martínez-Gutiérrez, H. (2018). Morphological and micromechanical characterization of calcium oxalate (CaOx) crystals embedded in the pecan nutshell (Carya illinoinensis). Plant. Physiol. Biochem, 132, 566-570. [CrossRef]
- Nuts Dried Fruits Statistical Yearbook. International Nut and Dried Fruit Council. (2023). Available online: https://inc.nutfruit.org/technical-projects/. Accessed on 25th April 2023.
- Prakash, A., Vadivel, V., Banu, S. F., Nithyanand, P., Lalitha, C., and Brindha, P. (2018). Evaluation of antioxidant and antimicrobial properties of solvent extracts of agro-food by-products (cashew nut shell, coconut shell and groundnut hull). Agric. Nat. Resour, 52(5), 451-459.
- Queirós, C. S., Cardoso, S., Lourenço, A., Ferreira, J., Miranda, I., Lourenço, M. J. V., and Pereira, H. (2020). Characterization of walnut, almond, and pine nut shells regarding chemical composition and extract composition. Biomass Convers. Biorefin, 10(1), 175-188.
- Rice-Evans, C., Miller, N.J. and Paganga, G. (1996) Structure antioxidant activity relationships of flavonoids and phenolic acids, Free Rad. Biol. Med. 20, 933-956.
- Rivas, S., Moure, A., and Parajó, J. C. (2020). Pre-treatment of hazelnut shells as a key strategy for the solubilization and valorization of hemicelluloses into bioactive compounds. Agronomy, 10(6), 760.
- Sadzawka, A.; Carrasco, M.; Demanet, R.; Flores, H.; Grez, R.; Mora, M.L. and Neaman, A. (2007). Métodos de análisis de tejidos vegetales. Ser. Actas INIA, 40, 140.
- Sette, P., Fernandez, A., Soria, J., Rodriguez, R., Salvatori, D., and Mazza, G. (2020). Integral valorization of fruit waste from wine and cider industries. J. Clean Prod, 242, 118486.
- Silvestri, C.; Bacchetta, L.; Bellincontro, A.; Cristofori, V. Advances in cultivar choice, hazelnut orchard management and nuts storage for enhancing product quality and safety: An overview. J. Sci. Food Agric 2020, 101, 27–43. [Google Scholar]
- Singleton, V.L. and Rossi, J.A. (1965). Colorimetry of total phenolics with phosphomolybdic-phosphotungstic acid reagents. Am. J. Enol. Vitic. 1965, 16, 144–158.
- Sonego, M., Fleck, C., and Pessan, L. A. (2020). Hierarchical levels of organization of the Brazil nut mesocarp. Sci. Rep, 10(1), 6786.
- Sonego, M., Madia, M., Eder, M., Fleck, C., and Pessan, L. A. (2021). Microstructural features influencing the mechanical performance of the Brazil nut (Bertholletia excelsa) mesocarp. J. Mech. Behav. Biomed, 116, 104306.
- Suriano, S., Balconi, C., Valoti, P., and Redaelli, R. (2021). Comparison of total polyphenols, profile anthocyanins, color analysis, carotenoids and tocols in pigmented maize. LWT Food Sci. Technol, 144, 111257.
- USDA, Tree nuts: World Markets and Trade. (2022). https://usda.library.cornell.edu/concern/publications/tm70mv16z?locale=en (Accessed on November 03rd, 2022).
- Wu, D., and Sun, D. W. (2013). Colour measurements by computer vision for food quality control–A review. Trends in JFST, 29(1), 5-20.
- Xiao, N., Felhofer, M., Antreich, S. J., Huss, J. C., Mayer, K., Singh, A., Bock, P., and Gierlinger, N. (2021). Twist and lock: nutshell structures for high strength and energy absorption. R. Soc. Open Sci, 8(8), 210399.
- Yuan, B., Lu, M., Eskridge, K. M., Isom, L. D., and Hanna, M. A. (2018). Extraction, identification, and quantification of antioxidant phenolics from hazelnut (Corylus avellana L.) shells. Food Chem, 244, 7-15. [CrossRef]
- Zazycki, M. A., Godinho, M., Perondi, D., Foletto, E. L., Collazzo, G. C., and Dotto, G. L. (2018). New biochar from pecan nutshells as an alternative adsorbent for removing reactive red 141 from aqueous solutions. J. Clean. Prod, 171, 57-65.







| Species | Season | L* | a* | b* | ΔE |
| Hazelnut | 2020/21 | 51.33±0.35a | 7.71±0.03b | 21.59±0.12b | 54.95±0.26b |
| 2021/22 | 52.03±0.14a | 7.82±0.04b | 21.85±0.06b | 55.68±0.06b | |
| 2022/23 | 52.31±0.10a | 8.32±0.05a | 22.37±0.08a | 56.84±0.12a | |
| Walnut | 2020/21 | 46.83±0.42b | 4.58±0.03c | 23.13±2.32b | 55.65±0.27c |
| 2021/22 | 58.07±0.47a | 4.85±0.04b | 24.20±0.18b | 58.09±0.35b | |
| 2022/23 | 59.15±0.50a | 5.41±0.06a | 25.32±0.06a | 60.31±0.12a |
Disclaimer/Publisher’s Note: The statements, opinions and data contained in all publications are solely those of the individual author(s) and contributor(s) and not of MDPI and/or the editor(s). MDPI and/or the editor(s) disclaim responsibility for any injury to people or property resulting from any ideas, methods, instructions or products referred to in the content. |
© 2024 by the authors. Licensee MDPI, Basel, Switzerland. This article is an open access article distributed under the terms and conditions of the Creative Commons Attribution (CC BY) license (http://creativecommons.org/licenses/by/4.0/).