Submitted:
10 June 2024
Posted:
11 June 2024
You are already at the latest version
Abstract
Keywords:
1. Introduction
2. Materials and Methods
2.1. The Experimental Approach to the Problem
2.2. Participants
2.3. Procedures
2.4. Statistical Analyses
3. Results
3.1. Reliability of Jump Tests
3.2. Agreement between Measurements across Trials
| Uni-CMJ | Bi-CMJ | |||
|---|---|---|---|---|
| Test Reliability | Left | Right | Left | Right |
| CV (%): | ||||
| Jump Height (cm) | 12.06 [9.05,15.06] |
9.41 [2.77,16.06] |
5.58 [2.67,8.50] |
7.89 [5.57,10.21] |
| Prop Impulse (N.s) | 15.44 [10.23,20.65] |
19.16 [12.75,25.57] |
8.24 [5.57,10.92] |
11.36 [8.73,13.99] |
| Ecc Impulse (N.s) | 19.68 [12.80,26.56] |
20.70 [16.00,25.41] |
20.86 [15.42,26.31] |
24.83 [19.45,30.22] |
| Peak Force (N) | 8.04 [4.62,11.45] | 8.91 [5.62,12.19] | 8.74 [5.98,11.49] | 7.37 [5.30,9.43] |
| ICC: | ||||
| Jump Height (cm) | 0.77 [0.63,0.88] |
0.82 [0.70,0.91] |
0.81 [0.69,0.90] |
0.81 [0.68,0.90] |
| Prop Impulse (N.s) | 0.62 [0.42,0.78] |
0.68 [0.51,0.82] |
0.87 0.78,0.93] |
0.79 [0.63,0.89] |
| Ecc Impulse (N.s) | 0.59 [0.39,0.76] |
0.68 [0.50,0.82] |
0.67 [0.49,0.81] |
0.47 [0.25,0.67] |
| Peak Force (N) | 0.65 [0.46,0.80] | 0.63 [0.44,0.79] | 0.71 [0.54,0.84] | 0.69 [0.52,0.83] |
3.3. Absolute Jump Metrics and Isokinetic Concentric Peak Torque
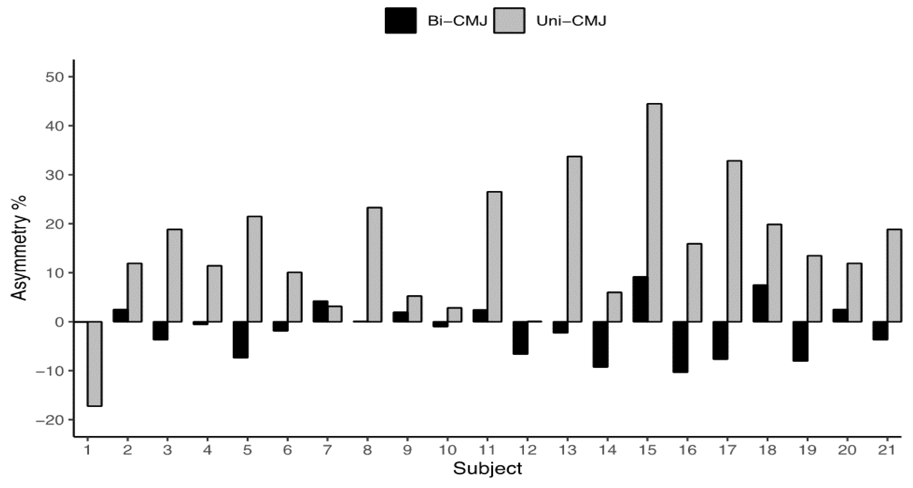
3.4. Direction of Inter-Limb Asymmetry
| Angular Velocity | Left | Right | Inter-Limb Asymmetry (%) | Hedges g [95% CI] p-value |
|---|---|---|---|---|
| 60 deg/sec-1 | n=20 | |||
| Flexion | 69.56±12.77 | 75.97±10.58 | 10.79±8.04 | |
| Extension | 136.71±25.59 | 147.53±27.84 | 8.60±5.32 | |
| H:Q Ratio (%) | 51.26±6.95 | 52.32±7.02 | 0.15 [-0.30, 0.62]; p=0.513 | |
| 120 deg/sec-1 | n=19 | |||
| Flexion | 59.79±11.17 | 66.63±9.22 | 12.31±8.31 | |
| Extension | 111.13±18.79 | 119.54±19.32 | 8.23±5.27 | |
| H:Q Ratio (%) | 54.13±8.20 | 56.29±6.93 | 0.28 [-0.12, 0.71]; p=0.185 | |
| 180 deg/sec-1 | n=20 | |||
| Flexion | 53.45±11.40 | 57.75±11.08 | 10.30±8.46 | |
| Extension | 91.98±14.43 | 98.84±15.03 | 8.58±5.56 | |
| H:Q Ratio (%) | 58.62±12.09 | 58.85±9.78 | 0.02 [-0.34, 0.38]; p=0.908 |
4. Discussion
5. Conclusions
Supplementary Materials
Author Contributions
Funding
Institutional Review Board Statement
Informed Consent Statement
Data Availability Statement
Acknowledgments
Conflicts of Interest
References
- Jawis M, Singh R, Singh H, Yassin MJBJoSM. Anthropometric and physiological profiles of sepak takraw players. 2005;39(11):825-9.
- Bishop, C.; Read, P.; Lake, J.; Chavda, S.; Turner, A. Interlimb Asymmetries: Understanding How to Calculate Differences From Bilateral and Unilateral Tests. Strength Cond. J. 2018, 40, 1–6. [CrossRef]
- Dos’Santos T, Thomas C, Jones PAJS, Journal C. Assessing interlimb asymmetries: Are we heading in the right direction? 2021;43(3):91-100.
- Fort-Vanmeerhaeghe, A.; Gual, G.; Romero-Rodriguez, D.; Unnitha, V. Lower Limb Neuromuscular Asymmetry in Volleyball and Basketball Players. J. Hum. Kinet. 2016, 50, 135–143. [CrossRef]
- Hewit, J.K.; Cronin, J.B.; Hume, P.A. Asymmetry in multi-directional jumping tasks. Phys. Ther. Sport 2012, 13, 238–242. [CrossRef]
- Bishop, C.; Read, P.; Bromley, T.; Brazier, J.; Jarvis, P.; Chavda, S.; Turner, A. The Association Between Interlimb Asymmetry and Athletic Performance Tasks: A Season-Long Study in Elite Academy Soccer Players. J. Strength Cond. Res. 2020, 36, 787–795. [CrossRef]
- Bishop, C.; Coratella, G.; Beato, M. Intra- and Inter-Limb Strength Asymmetry in Soccer: A Comparison of Professional and Under-18 Players. Sports 2021, 9, 129. [CrossRef]
- Hart, L.M.; Cohen, D.D.; Patterson, S.D.; Springham, M.; Reynolds, J.; Read, P. Previous injury is associated with heightened countermovement jump force-time asymmetries in professional soccer players. Transl. Sports Med. 2019, 2, 250–256. [CrossRef]
- Bettariga, F.; Turner, A.; Maloney, S.; Maestroni, L.; Jarvis, P.; Bishop, C. The Effects of Training Interventions on Interlimb Asymmetries: A Systematic Review With Meta-analysis. Strength Cond. J. 2022, 44, 69–86. [CrossRef]
- Kyritsis, P.; Bahr, R.; Landreau, P.; Miladi, R.; Witvrouw, E. Likelihood of ACL graft rupture: not meeting six clinical discharge criteria before return to sport is associated with a four times greater risk of rupture. Br. J. Sports Med. 2016, 50, 946–951. [CrossRef]
- Renner, K.E.; Franck, C.T.; Miller, T.K.; Queen, R.M. Limb asymmetry during recovery from anterior cruciate ligament reconstruction. J. Orthop. Res. 2018, 36, 1887–1893. [CrossRef]
- Bishop, C.; Lake, J.; Loturco, I.; Papadopoulos, K.; Turner, A.; Read, P. Interlimb Asymmetries: The Need for an Individual Approach to Data Analysis. J. Strength Cond. Res. 2021, 35, 695–701. [CrossRef]
- Bishop, C.; Read, P.; McCubbine, J.; Turner, A. Vertical and Horizontal Asymmetries Are Related to Slower Sprinting and Jump Performance in Elite Youth Female Soccer Players. J. Strength Cond. Res. 2021, 35, 56–63. [CrossRef]
- Kannus PJIjosm. Isokinetic evaluation of muscular performance. 1994;15(S 1):S11-S8.
- Bishop, C.; Abbott, W.; Brashill, C.; Turner, A.; Lake, J.; Read, P. Bilateral vs. Unilateral Countermovement Jumps: Comparing the Magnitude and Direction of Asymmetry in Elite Academy Soccer Players. J. Strength Cond. Res. 2020, 36, 1660–1666. [CrossRef]
- Banyard HG, Nosaka K, Haff GGJTJoS, Research C. Reliability and validity of the load–velocity relationship to predict the 1RM back squat. 2017;31(7):1897-904.
- Viera AJ, Garrett JMJFm. Understanding interobserver agreement: the kappa statistic. 2005;37(5):360-3.
- Bishop, C.; Read, P.; Chavda, S.; Jarvis, P.; Turner, A. Using Unilateral Strength, Power and Reactive Strength Tests to Detect the Magnitude and Direction of Asymmetry: A Test-Retest Design. Sports 2019, 7, 58. [CrossRef]
- Gonzalo-Skok O, Dos' Santos T, Bishop CJTJoS, Research C. Assessing limb dominance and Interlimb asymmetries over multiple angles during change of direction speed tests in basketball players. 2023;37(12):2423-30.
- Hart NH, Nimphius S, Weber J, Spiteri T, Rantalainen T, Dobbin M, et al. Musculoskeletal asymmetry in football athletes: a product of limb function over time. 2016;48(7):1379-87.
- Bailey CA, Sato K, Burnett A, Stone MHJIjosp, performance. Force-production asymmetry in male and female athletes of differing strength levels. 2015;10(4):504-8. [CrossRef]
- Bishop C, Pereira LA, Reis VP, Read P, Turner AN, Loturco IJJoSS. Comparing the magnitude and direction of asymmetry during the squat, countermovement and drop jump tests in elite youth female soccer players. 2020;38(11-12):1296-303.
- Nicholson, G.; Bennett, T.; Thomas, A.; Pollitt, L.; Hopkinson, M.; Crespo, R.; Robinson, T.; Price, R.J. Inter-limb asymmetries and kicking limb preference in English premier league soccer players. Front. Sports Act. Living 2022, 4, 982796. [CrossRef]
- Pérez-Castilla, A.; García-Ramos, A.; Janicijevic, D.; Delgado-García, G.; De la Cruz, J.C.; Rojas, F.J.; Cepero, M. Between-session reliability of performance and asymmetry variables obtained during unilateral and bilateral countermovement jumps in basketball players. PLOS ONE 2021, 16, e0255458. [CrossRef]
- Taylor, J.B.; Nguyen, A.-D.; Westbrook, A.E.; Trzeciak, A.; Ford, K.R. Women’s College Volleyball Players Exhibit Asymmetries During Double-Leg Jump Landing Tasks. J. Sport Rehabilitation 2023, 32, 85–90. [CrossRef]
- Munro AG, Herrington LCJTJoS, Research C. Between-session reliability of four hop tests and the agility T-test. 2011;25(5):1470-7.
- Heishman, A.; Daub, B.; Miller, R.; Brown, B.; Freitas, E.; Bemben, M. Countermovement Jump Inter-Limb Asymmetries in Collegiate Basketball Players. Sports 2019, 7, 103. [CrossRef]
- Kons, R.L.; Ache-Dias, J.; Gheller, R.G.; Bishop, C.; Detanico, D. Bilateral deficit in the countermovement jump and its associations with judo-specific performance. Res. Sports Med. 2022, 31, 638–649. [CrossRef]
- Bosco C, Luhtanen P, Komi PVJEjoap, physiology o. A simple method for measurement of mechanical power in jumping. 1983;50:273-82.
- Dos’santos, T.; Thomas, C.; Jones, P.A.; Comfort, P. Asymmetries in single and triple hop are not detrimental to change of direction speed. J. Trainology 2017, 6, 35–41. [CrossRef]
- Stolberg M, Sharp A, Comtois AS, Lloyd RS, Oliver JL, Cronin JJS, et al. Triple and quintuple hops: Utility, reliability, asymmetry, and relationship to performance. 2016;38(3):18-25.
- Coratella, G.; Bellin, G.; Beato, M.; Schena, F. Fatigue affects peak joint torque angle in hamstrings but not in quadriceps. J. Sports Sci. 2014, 33, 1276–1282. [CrossRef]
- Bishop C, Read P, Chavda S, Turner A. Asymmetries of the Lower Limb. Strength and Conditioning Journal. 2016;38(6):27-32.
- Impellizzeri FM, Rampinini E, Maffiuletti N, Marcora SMJM, sports si, exercise. A vertical jump force test for assessing bilateral strength asymmetry in athletes. 2007;39(11):2044. [CrossRef]
- Shorter, K.A.; Polk, J.D.; Rosengren, K.S.; Hsiao-Wecksler, E.T. A new approach to detecting asymmetries in gait. Clin. Biomech. 2008, 23, 459–467. [CrossRef]
- Exell, T.A.; Irwin, G.; Gittoes, M.J.; Kerwin, D.G. Implications of intra-limb variability on asymmetry analyses. J. Sports Sci. 2012, 30, 403–409. [CrossRef]
- Giakas, G.; Baltzopoulos, V. Time and frequency domain analysis of ground reaction forces during walking: an investigation of variability and symmetry. Gait Posture 1997, 5, 189–197. [CrossRef]
- Hopkins, W.; Marshall, S.; Batterham, A.; Hanin, J. Progressive statistics for studies in sports medicine and exercise science. Med. Sci. Sports Exerc. 2009, 41, 3. [CrossRef]
- Van Soest A, Roebroeck M, Bobbert M, Huijing P, van Ingen Schenau GJM, sports si, et al. A comparison of one-legged and two-legged countermovement jumps. 1985;17(6):635-9.




| Uni-CMJ | Bi-CMJ | |||
|---|---|---|---|---|
| Metric | Left | Right | Left | Right |
| Jump Height (cm) | 7.33±1.86 | 8.59±1.93 | 19.62±3.88 | 19.15±3.85 |
| Prop Impulse (N.s) |
81.43±22.86 | 88.83±31.40 | 73.55±17.12 | 64.07±16.54 |
| Ecc Impulse (N.s) | 347.40±101.83 | 358.53±131.71 | 320.30±116.93 | 297.89±89.76 |
| Peak Force (N) | 406.28±66.96 | 407.88±76.23 | 301.34±53.57 | 342.45±48.41 |
| Asymmetry Metric |
Uni-CMJ % | Bi-CMJ % | Uni-CMJ vs. Bi-CMJ Hedges g [95% CI] |
Kappa Coefficient |
|---|---|---|---|---|
| Jump height | 16.62±11.25 | 4.41±3.32 | -1.44 [-2.17, -0.87]; p<0.001 | 26.67 (Fair) |
| Prop Impulse | 17.14±13.04 | 6.16±7.15 | -1.02 [-1.76, -0.40]; p=0.003 | -0.12 (Slight) |
| Ecc Impulse | 15.26±12.04 | 10.55±7.55 | -0.46 [-0.98,0.01]; p=0.072 | -0.14 (Slight) |
| Peak Force | 12.47±9.00 | 7.21±5.12 | -0.70 [-1.34, -0.14]; p=0.022 | 0.11 (Slight) |
Disclaimer/Publisher’s Note: The statements, opinions and data contained in all publications are solely those of the individual author(s) and contributor(s) and not of MDPI and/or the editor(s). MDPI and/or the editor(s) disclaim responsibility for any injury to people or property resulting from any ideas, methods, instructions or products referred to in the content. |
© 2024 by the authors. Licensee MDPI, Basel, Switzerland. This article is an open access article distributed under the terms and conditions of the Creative Commons Attribution (CC BY) license (http://creativecommons.org/licenses/by/4.0/).