Submitted:
10 June 2024
Posted:
11 June 2024
You are already at the latest version
Abstract
Keywords:
1. Introduction
2. Case study
3. Materials and Methods
3.1. Framework for Climate Change Impact Assessment
3.2. Station-Based and Reanalysis Datasets
3.3. Climate Model Projections
3.4. Hydrological Models
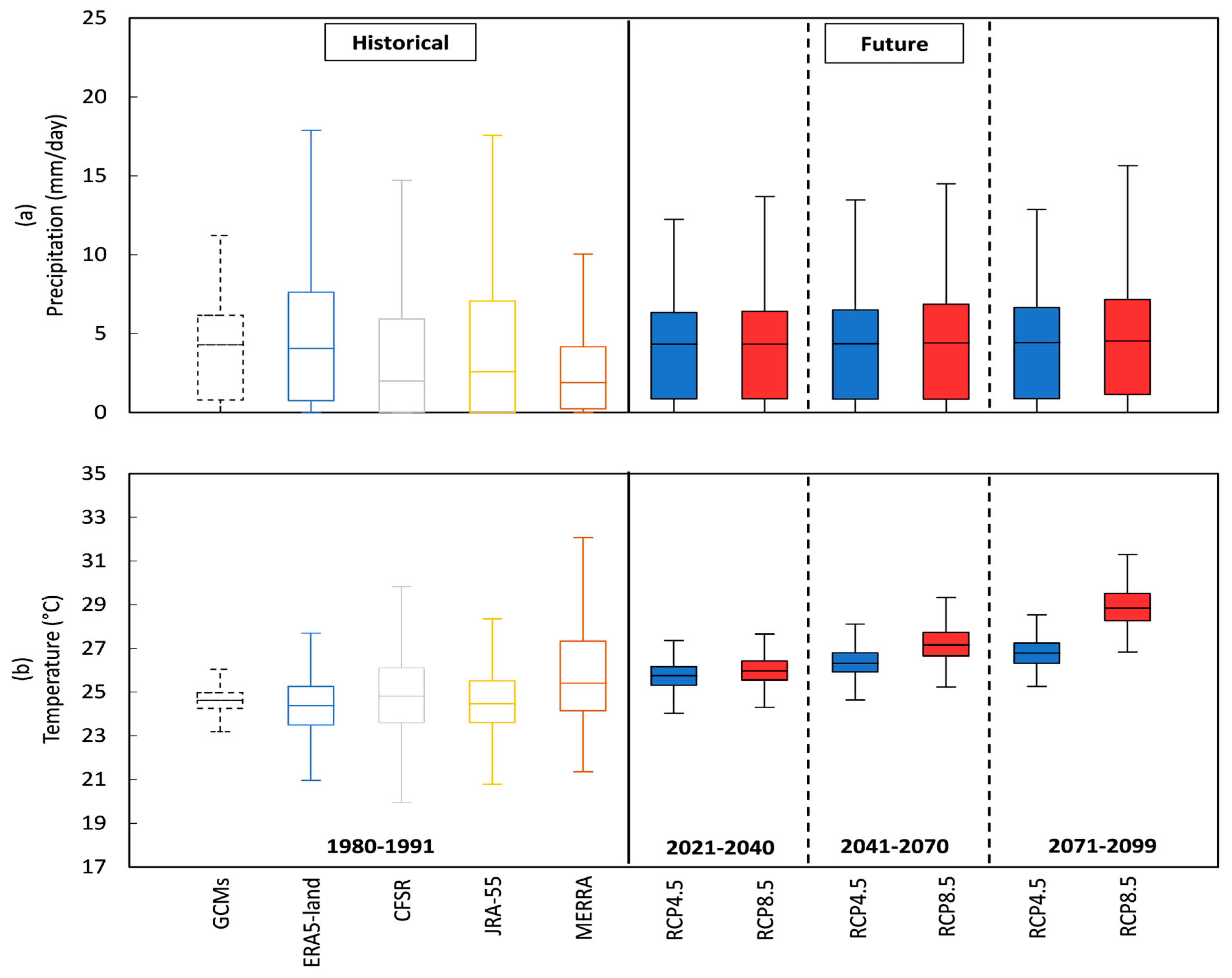
4. Results
4.1. Performance of the Hydrological Models during the Historical Period
4.2. Projected Streamflow Conditions under Changing Climate
5. Summary and Conclusions
Author Contributions
Funding
Data Availability Statement
Acknowledgments
Conflicts of Interest
References
- Laraque, A.; N'kaya, G.D.M.; Orange, D.; Tshimanga, R.; Tshitenge, J.M.; Mahé, G.; Nguimalet, C.R.; Trigg, M.A.; Yepez, S.; Gulemvuga, G. Recent Budget of Hydroclimatology and Hydrosedimentology of the Congo River in Central Africa. Water 2020, 12, 2613. [Google Scholar] [CrossRef]
- Runge, J. The Congo River, Central Africa. Large Rivers: Geomorphology and Management, Second Edition 2022, 433-456.
- Aloysius, N.R.; Sheffield, J.; Saiers, J.E.; Li, H.; Wood, E.F. Evaluation of historical and future simulations of precipitation and temperature in central Africa from CMIP5 climate models. Journal of Geophysical Research: Atmospheres 2016, 121, 130–152. [Google Scholar] [CrossRef]
- UNEP. Water Issues in the Democratic Republic of the Congo Challenges and Opportunities; 2011.
- IPCC. Climate Change 2021: The Physical Science Basis. Contribution of Working Group I to the Sixth Assessment Report of the Intergovernmental Panel on Climate Change [Masson-Delmotte, V., P. Zhai, A. Pirani, S.L. Connors, C. Péan, S. Berger, N. Caud, Y. Chen, L. Goldfarb, M.I. Gomis, M. Huang, K. Leitzell, E. Lonnoy, J.B.R. Matthews, T.K. Maycock, T. Waterfield, O. Yelekçi, R. Yu, and B. Zhou (eds.)]. Cambridge University Press. In Press. 2021.
- Sidibe, M.; Dieppois, B.; Mahé, G.; Paturel, J.-E.; Amoussou, E.; Anifowose, B.; Lawler, D. Trend and variability in a new, reconstructed streamflow dataset for West and Central Africa, and climatic interactions, 1950–2005. Journal of Hydrology 2018, 561, 478–493. [Google Scholar] [CrossRef]
- Moukandi, G.; Laraque, A.; Paturel, J.-E.; Gulemvuga, G.; Mahe, G.; Tshimanga, R. A new look at hydrology in the Congo Basin, based on the study of multi-decadal chronicles; 2020; 10.1002/essoar.10505510.1.
- Diem, J.E.; Ryan, S.J.; Hartter, J.; Palace, M.W. Satellite-based rainfall data reveal a recent drying trend in central equatorial Africa. Climatic Change 2014, 126, 263–272. [Google Scholar] [CrossRef]
- Nicholson, S.E.; Klotter, D.; Dezfuli, A.K.; Zhou, L. New Rainfall Datasets for the Congo Basin and Surrounding Regions. Journal of Hydrometeorology 2018, 19, 1379–1396. [Google Scholar] [CrossRef]
- CSC. Climate Change Scenarios for the Congo Basin. [Haensler A., Jacob D., Kabat P., Ludwig F. (eds.)]. Climate Service Centre Report No. 11, Hamburg, Germany, ISSN: 2192-4058. 2013.
- IPCC. Summary for Policymakers. In Climate Change 2013 – The Physical Science Basis: Working Group I Contribution to the Fifth Assessment Report of the Intergovernmental Panel on Climate Change, Intergovernmental Panel on Climate, C., Ed. Cambridge University Press: Cambridge, 2014; pp. 1-30. 10.1017/CBO9781107415324.004.
- Niang, I.; Ruppel, O.C.; Abdrabo, M.A.; Essel, C.; Lennard, C.; Padgham, J.; Urquhart, P.; Descheemaeker, K.K.E. Chapter 22 Africa. In: Climate Change 2014: Impacts, Adaptation, and Vulnerability. Part B: Regional Aspects. Contribution of Working Group II to the Fifth Assessment Report of the Intergovernmental Panel on Climate Change. 2014; 10.1017/CBO9781107415386.002pp. 1199-1265.
- Schneider, S.H.; Semenov, S.; Patwardhan, A.; Burton, I.; Magadza, C.H.D.; Oppenheimer, M.; Pittock, A.B.; Rahman, A.; Smith, J.B.; Suarez, A.; et al. Assessing key vulnerabilities and the risk from climate change. Climate Change 2007: Impacts, Adaptation and Vulnerability. Contribution of Working Group II to the Fourth Assessment Report of the Intergovernmental Panel on Climate Change, M.L. Parry, O.F. Canziani, J.P. Palutikof, P.J. van der Linden and C.E. Hanson, Eds., Cambridge University Press, Cambridge, UK, 779-810. 2007.
- Boko, M.; Niang, I.; Nyong, A.; Vogel, C.; Githeko, A.; Medany, M.; Osman-Elasha, B.; Tabo, R.; Yanda, P. Africa. Climate change 2007: impacts, adaptation and vulnerability. Contribution of working group II to the fourth assessment report of the intergovernmental panel on climate change. Cambridge, UK: Cambridge University Press, Cambridge 2007, 433-467.
- Bhave, A.G.; Mishra, A.; Raghuwanshi, N.S. A combined bottom-up and top-down approach for assessment of climate change adaptation options. Journal of Hydrology 2014, 518, 150–161. [Google Scholar] [CrossRef]
- Sorland, S.L.; Schar, C.; Luthi, D.; Kjellstrom, E. Bias patterns and climate change signals in GCM-RCM model chains. Environmental Research Letters 2018, 13. [Google Scholar] [CrossRef]
- Hannah, L. Chapter 2 - The Climate System and Climate Change. In Climate Change Biology (Second Edition), Hannah, L., Ed. Academic Press: Boston, 2015; 10.1016/B978-0-12-420218-4.00002-0pp. 13-53.
- Chen, J.; Brissette, F.P.; Leconte, R. Uncertainty of downscaling method in quantifying the impact of climate change on hydrology. Journal of Hydrology 2011, 401, 190–202. [Google Scholar] [CrossRef]
- Aloysius, N.; Saiers, J. Simulated hydrologic response to projected changes in precipitation and temperature in the Congo River basin. Hydrol Earth Syst Sc 2017, 21, 4115–4130. [Google Scholar] [CrossRef]
- Sidibe, M.; Dieppois, B.; Eden, J.; Mahé, G.; Paturel, J.-E.; Amoussou, E.; Anifowose, B.; Van De Wiel, M.; Lawler, D. Near-term impacts of climate variability and change on hydrological systems in West and Central Africa. Climate Dynamics 2020, 54, 2041–2070. [Google Scholar] [CrossRef]
- Zhou, L.; Tian, Y.; Myneni, R.B.; Ciais, P.; Saatchi, S.; Liu, Y.Y.; Piao, S.; Chen, H.; Vermote, E.F.; Song, C.; et al. Widespread decline of Congo rainforest greenness in the past decade. Nature 2014, 509, 86–90. [Google Scholar] [CrossRef] [PubMed]
- Samba, G.; Nganga, D.; Mpounza, M. Rainfall and temperature variations over Congo-Brazzaville between 1950 and 1998. Theoretical and Applied Climatology 2008, 91, 85–97. [Google Scholar] [CrossRef]
- Laraque, A.; Moukandi, G.; Orange, D.; Tshimanga, R.; Jean Marie, T.; Mahe, G.; Nguimalet, C.-R.; Trigg, M.; Yépez, S.; Gulemvuga, G. Recent Budget of Hydroclimatology and Hydrosedimentology of the Congo River in Central Africa. Water 2020, 12(9), 2613. [Google Scholar] [CrossRef]
- Hua, W.; Zhou, L.; Nicholson, S.E.; Chen, H.; Qin, M. Assessing reanalysis data for understanding rainfall climatology and variability over Central Equatorial Africa. Climate Dynamics 2019, 53, 651–669. [Google Scholar] [CrossRef]
- Washington, R.; James, R.; Pearce, H.; Pokam, W.M.; Moufouma-Okia, W. Congo Basin rainfall climatology: can we believe the climate models? Philosophical Transactions of the Royal Society B: Biological Sciences 2013, 368, 20120296. [Google Scholar] [CrossRef] [PubMed]
- Beck, H.E.; van Dijk, A.I.J.M.; de Roo, A.; Miralles, D.G.; McVicar, T.R.; Schellekens, J.; Bruijnzeel, L.A. Global-scale regionalization of hydrologic model parameters. Water Resources Research 2016, 52, 3599–3622. [Google Scholar] [CrossRef]
- Huang, Q.; Qin, G.; Zhang, Y.; Tang, Q.; Liu, C.; Xia, J.; Chiew, F.H.S.; Post, D. Using Remote Sensing Data-Based Hydrological Model Calibrations for Predicting Runoff in Ungauged or Poorly Gauged Catchments. Water Resources Research 2020, 56, e2020WR028205. [Google Scholar] [CrossRef]
- Ghebrehiwot, A.; Kozlov, D. Reanalysis dataset-based hydrologic predictions for ungauged basins; 2021; Vol. 264, pp. 01001.
- Bosilovich, M.G.; Chen, J.; Robertson, F.R.; Adler, R.F. Evaluation of Global Precipitation in Reanalyses. Journal of Applied Meteorology and Climatology 2008, 47, 2279–2299. [Google Scholar] [CrossRef]
- Parker, W.S. Reanalyses and Observations: What’s the Difference? Bulletin of the American Meteorological Society 2016, 97, 1565–1572. [Google Scholar] [CrossRef]
- Essou, G.R.C.; Sabarly, F.; Lucas-Picher, P.; Brissette, F.; Poulin, A. Can Precipitation and Temperature from Meteorological Reanalyses Be Used for Hydrological Modeling? Journal of Hydrometeorology 2016, 17, 1929–1950. [Google Scholar] [CrossRef]
- Fuka, D.R.; Walter, M.T.; MacAlister, C.; Degaetano, A.T.; Steenhuis, T.S.; Easton, Z.M. Using the Climate Forecast System Reanalysis as weather input data for watershed models. Hydrological Processes 2014, 28, 5613–5623. [Google Scholar] [CrossRef]
- Lin, R.; Zhou, T.; Qian, Y. Evaluation of Global Monsoon Precipitation Changes based on Five Reanalysis Datasets. Journal of Climate 2014, 27, 1271–1289. [Google Scholar] [CrossRef]
- Hamududu, B. Impacts of Climate Change on Water Resources and Hydropower Systems: in central and southern Africa. Doctoral, Norwegian University of Science and Technology, Norway, 2012.
- Tshimanga, R.M.; Hughes, D.A. Basin-scale performance of a semidistributed rainfall-runoff model for hydrological predictions and water resources assessment of large rivers: The Congo River. Water Resources Research 2014, 50, 1174–1188. [Google Scholar] [CrossRef]
- Munzimi, Y.A.; Hansen, M.C.; Asante, K.O. Estimating daily streamflow in the Congo Basin using satellite-derived data and a semi-distributed hydrological model. Hydrological Sciences Journal 2019, 64, 1472–1487. [Google Scholar] [CrossRef]
- Asante, K.O.; Arlan, G.A.; Pervez, M.S.; Rowland, J. A linear geospatial streamflow modeling system for data sparse environments. International Journal of River Basin Management 2008, 6, 233–241. [Google Scholar] [CrossRef]
- Chen, J.; Brissette, F.P.; Chaumont, D.; Braun, M. Performance and uncertainty evaluation of empirical downscaling methods in quantifying the climate change impacts on hydrology over two North American river basins. Journal of Hydrology 2013, 479, 200–214. [Google Scholar] [CrossRef]
- Nonki, R.M.; Lenouo, A.; Lennard, C.J.; Tchawoua, C. Assessing climate change impacts on water resources in the Benue River Basin, Northern Cameroon. Environmental Earth Sciences 2019, 78, 606. [Google Scholar] [CrossRef]
- dos Santos Franciane, M.; de Oliveira Rodrigo, P.; Mauad Frederico, F. Lumped versus Distributed Hydrological Modeling of the Jacaré-Guaçu Basin, Brazil. Journal of Environmental Engineering 2018, 144, 04018056. [Google Scholar] [CrossRef]
- Her, Y.; Chaubey, I. Impact of the numbers of observations and calibration parameters on equifinality, model performance, and output and parameter uncertainty. Hydrological Processes 2015, 29, 4220–4237. [Google Scholar] [CrossRef]
- Singh, S.; Marcy, N. Comparison of Simple and Complex Hydrological Models for Predicting Catchment Discharge Under Climate Change. AIMS Geosciences 2017, 3, 467–497. [Google Scholar] [CrossRef]
- Tshimanga, R.M.; Hughes, D.A. Climate change and impacts on the hydrology of the Congo Basin: The case of the northern sub-basins of the Oubangui and Sangha Rivers. Physics and Chemistry of the Earth, Parts A/B/C 2012, 50-52, 72–83. [Google Scholar] [CrossRef]
- Tshimanga, R.M. Hydrological uncertainty analysis and scenario-based streamflow modelling for the Congo River Basin. Doctoral, Rhodes University, South Africa, 2012.
- Sharifinejad, A.; Hassanzadeh, E.; Zaerpour, M. Assessing water system vulnerabilities under changing climate conditions using different representations of a hydrologic system. Hydrological Sciences Journal 2021, 1–17. [Google Scholar] [CrossRef]
- Ludwig, R.; May, I.; Turcotte, R.; Vescovi, L.; Braun, M.; Cyr, J.F.; Fortin, L.G.; Chaumont, D.; Biner, S.; Chartier, I.; et al. The role of hydrological model complexity and uncertainty in climate change impact assessment. Advances in Geosciences 2009, 21, 63–71. [Google Scholar] [CrossRef]
- Yaghoubi, M.; Massah Bavani, A.R. Sensitivity analysis and comparison of capability of three conceptual models HEC-HMS, HBV and IHACRES in simulating continuous rainfall-runoff in semi-arid basins. Journal of the Earth and Space Physics 2014, 40, 153–172. [Google Scholar] [CrossRef]
- Seiller, G.; Anctil, F.; Perrin, C. Multimodel evaluation of twenty lumped hydrological models under contrasted climate conditions. Hydrol Earth Syst Sc 2012, 16, 1171–1189. [Google Scholar] [CrossRef]
- Viney, N.R.; Bormann, H.; Breuer, L.; Bronstert, A.; Croke, B.F.W.; Frede, H.; Gräff, T.; Hubrechts, L.; Huisman, J.A.; Jakeman, A.J.; et al. Assessing the impact of land use change on hydrology by ensemble modelling (LUCHEM) II: Ensemble combinations and predictions. Advances in Water Resources 2009, 32, 147–158. [Google Scholar] [CrossRef]
- Becker, M.; Papa, F.; Frappart, F.; Alsdorf, D.; Calmant, S.; da Silva, J.S.; Prigent, C.; Seyler, F. Satellite-based estimates of surface water dynamics in the Congo River Basin. International Journal of Applied Earth Observation and Geoinformation 2018, 66, 196–209. [Google Scholar] [CrossRef]
- GEIDCO. Global Energy Interconnection Development and Cooperation Organization, Research on Hydropower Development and Delivery in Congo River, ; 2020. [CrossRef]
- Devroey, E. Le Kasai et son bassin hydrographique / par E. Devroey; Goemaere: Bruxelles, 1939. [Google Scholar]
- Kisangala, M.; Ntombi, M.K. Estimation des réserves régulatrices et établissement de la courbe de tarissement du bassin versant du Kasaï durant la période d’étiage à l’échelle de Lumbu. Revue Congolaise des Sciences Nucléaires 2012, 26. [Google Scholar]
- Ntombi, M.K.; Kisangala, M. Impact de la lithologie et de l’hydrométrie sur la navigabilité du Kasaï en R. D. Congo. Annales de la Faculté des Sciences 2002, 157-164.
- Laraque, A.; Mahé, G.; Orange, D.; Marieu, B. Spatiotemporal variations in hydrological regimes within Central Africa during the XXth century. Journal of Hydrology 2001, 245, 104–117. [Google Scholar] [CrossRef]
- Jean Marie, T.; Mbata, A.; Mwamba, V.; Phuati, E.; Kazadi Mukenga Bantu, A.; Keto, F. Time-scale characteristics of Kasai river hydrological regime variability for 1940-1999. International Journal of Innovation and Applied Studies 2016, 17, 531–547. [Google Scholar]
- Bultot, F. Atlas climatique du bassin congolais; Institut national pour l'étude agronomique du Congo: 1971.
- Mbimbi Mayi Munene, J.J.; Stiassny, M.L.J.; Monsembula Iyaba, R.J.C.; Liyandja, T.L.D. Fishes of the Lower Lulua River (Kasai Basin, Central Africa): A Continental Hotspot of Ichthyofaunal Diversity under Threat. Diversity 2021, 13. [Google Scholar] [CrossRef]
- Brown, H.C.P.; Smit, B.; Somorin, O.A.; Sonwa, D.J.; Nkem, J.N. Climate Change and Forest Communities: Prospects for Building Institutional Adaptive Capacity in the Congo Basin Forests. AMBIO 2014, 43, 759–769. [Google Scholar] [CrossRef]
- World Bank. World Bank Global Electrification Database from "Tracking SDG 7: The Energy Progress Report" led jointly by the custodian agencies: the International Energy Agency ( IEA ), the International Renewable Energy Agency ( IRENA ), the United Nations Statistics Division ( UNSD ), the World Bank and the World Health Organization ( WHO ). License : CC BY-4.0. 2021.
- Mahe, G.; Lienou, G.; Descroix, L.; Bamba, F.; Paturel, J.E.; Laraque, A.; Meddi, M.; Habaieb, H.; Adeaga, O.; Dieulin, C.; et al. The rivers of Africa: witness of climate change and human impact on the environment. Hydrological Processes 2013, 27, 2105–2114. [Google Scholar] [CrossRef]
- Nguimalet, C.-R.; Orange, D. Caractérisation de la baisse hydrologique actuelle de la rivière Oubangui à Bangui, République Centrafricaine. La Houille Blanche 2019, 105, 78–84. [Google Scholar] [CrossRef]
- Linke, S.; Lehner, B.; Ouellet Dallaire, C.; Ariwi, J.; Grill, G.; Anand, M.; Beames, P.; Burchard-Levine, V.; Maxwell, S.; Moidu, H.; et al. Global hydro-environmental sub-basin and river reach characteristics at high spatial resolution. Scientific Data 2019, 6, 283. [Google Scholar] [CrossRef] [PubMed]
- Haensler, A.; Saeed, F.; Jacob, D. Assessing the robustness of projected precipitation changes over central Africa on the basis of a multitude of global and regional climate projections. Climatic Change 2013, 121, 349–363. [Google Scholar] [CrossRef]
- Rowell, D. Sources of uncertainty in future changes in local precipitation. Climate Dynamics 2012, 39, 1929–1950. [Google Scholar] [CrossRef]
- Orlowsky, B.; Seneviratne, S.I. Global changes in extreme events: regional and seasonal dimension. Climatic Change 2012, 110, 669–696. [Google Scholar] [CrossRef]
- Arnell, N.W. Effects of IPCC SRES* emissions scenarios on river runoff: a global perspective. Hydrology and Earth System Sciences 2003, 7, 619–641. [Google Scholar] [CrossRef]
- Beyene, T.; Ludwig, F.; Franssen, W. The potential consequences of climate change in hydrology regime of the Congo River Basin. In: Climate Change Scenarios for the Congo Basin. [Haensler A., Jacob D., Kabat P., Ludwig F. (eds.)]. Climate Service Centre Report 2013, NO.11, Hamburg, Germany, ISSN: 2192-4058.
- Chen, Y.; Sharma, S.; Zhou, X.; Yang, K.; Li, X.; Niu, X.; Hu, X.; Khadka, N. Spatial performance of multiple reanalysis precipitation datasets on the southern slope of central Himalaya. Atmospheric Research 2021, 250, 105365. [Google Scholar] [CrossRef]
- Muñoz-Sabater, J.; Dutra, E.; Agustí-Panareda, A.; Albergel, C.; Arduini, G.; Balsamo, G.; Boussetta, S.; Choulga, M.; Harrigan, S.; Hersbach, H.; et al. ERA5-Land: a state-of-the-art global reanalysis dataset for land applications. Earth System Sciences Data 2021, 13, 4349–4383. [Google Scholar] [CrossRef]
- Saha, S.; Moorthi, S.; Wu, X.; Wang, J.; Nadiga, S.; Tripp, P.; Behringer, D.; Hou, Y.-T.; Chuang, H.-y.; Iredell, M.; et al. The NCEP Climate Forecast System Version 2. Journal of Climate 2014, 27, 2185–2208. [Google Scholar] [CrossRef]
- Kobayashi, S.; Ota, Y.; Harada, Y.; Ebita, A.; Moriya, M.; Onoda, H.; Onogi, K.; Kamahori, H.; Kobayashi, C.; Endo, H.; et al. The JRA-55 Reanalysis: General Specifications and Basic Characteristics. Journal of the Meteorological Society of Japan. Ser. II 2015, 93, 5–48. [Google Scholar] [CrossRef]
- Rienecker, M.M.; Suarez, M.J.; Gelaro, R.; Todling, R.; Bacmeister, J.; Liu, E.; Bosilovich, M.G.; Schubert, S.D.; Takacs, L.; Kim, G.-K.; et al. MERRA: NASA’s Modern-Era Retrospective Analysis for Research and Applications. Journal of Climate 2011, 24, 3624–3648. [Google Scholar] [CrossRef]
- NCCS. NASA Earth Exchange Global Daily Downscaled Projections (NEX-GDDP). Simulation, N.C.f.C., Ed. 2020.
- Thrasher, B.; Xiong, J.; Wang, W.; Melton, F.; Michaelis, A.; Nemani, R. Downscaled climate projections suitable for resource management. Eos, Transactions American Geophysical Union 2013, 94, 321–323. [Google Scholar] [CrossRef]
- Kwakye, S.O.; Bárdossy, A. Hydrological modelling in data-scarce catchments: Black Volta basin in West Africa. SN Applied Sciences 2020, 2, 628. [Google Scholar] [CrossRef]
- Lindström, G.; Johansson, B.; Persson, M.; Gardelin, M.; Bergström, S. Development and test of the distributed HBV-96 hydrological model. J Hydrol 1997, 201, 272–288. [Google Scholar] [CrossRef]
- Seibert, J.; Vis, M.J.P. Teaching hydrological modeling with a user-friendly catchment-runoff-model software package. Hydrol Earth Syst Sc 2012, 16, 3315–3325. [Google Scholar] [CrossRef]
- Seibert, J.; Beven, K.J. Gauging the ungauged basin: how many discharge measurements are needed? Hydrology and Earth System Sciences 2009, 13, 883–892. [Google Scholar] [CrossRef]
- Samuel, J.; Coulibaly, P.; Metcalfe, R.A. Identification of rainfall–runoff model for improved baseflow estimation in ungauged basins. Hydrological Processes 2012, 26, 356–366. [Google Scholar] [CrossRef]
- Hargreaves, G.; Allen, R. History and Evaluation of Hargreaves Evapotranspiration Equation. Journal of Irrigation and Drainage Engineering-asce 2003, 129. [Google Scholar] [CrossRef]
- Perrin, C.; Michel, C.; Andréassian, V. Improvement of a parsimonious model for streamflow simulation. Journal of Hydrology 2003, 279, 275–289. [Google Scholar] [CrossRef]
- Sadegh, M.; AghaKouchak, A.; Flores, A.; Mallakpour, I.; Nikoo, M.R. A Multi-Model Nonstationary Rainfall-Runoff Modeling Framework: Analysis and Toolbox. Water Resources Management 2019, 33. [Google Scholar] [CrossRef]
- KlemeŠ, V. Operational testing of hydrological simulation models. Hydrological Sciences Journal 1986, 31, 13–24. [Google Scholar] [CrossRef]
- Gupta, H.V.; Kling, H.; Yilmaz, K.K.; Martinez, G.F. Decomposition of the mean squared error and NSE performance criteria: Implications for improving hydrological modelling. Journal of Hydrology 2009, 377, 80–91. [Google Scholar] [CrossRef]
- Nash, J.E.; Sutcliffe, J.V. River flow forecasting through conceptual models part I — A discussion of principles. Journal of Hydrology 1970, 10, 282–290. [Google Scholar] [CrossRef]
- Duan, Q.Y.; Gupta, V.K.; Sorooshian, S. Shuffled Complex Evolution Approach for Effective and Efficient Global Minimization. Journal of Optimization Theory and Applications 1993, 76, 501–521. [Google Scholar] [CrossRef]
- Yarpiz. Shuffled Complex Evolution (SCE-UA), MATLAB Central File Exchange. 2020.
- Price, W.L. Global Optimization by Controlled Random Search. Journal of Optimization Theory and Applications 1983, 40, 333–348. [Google Scholar] [CrossRef]
- Dixon, L.C.W.; Szegö, G.P.; Szegö, G.; Szegö, G. Towards global optimisation 2; North Holland: 1978; Vol. 2.
- Törn, A.A. Clustering Methods in Global Optimization. IFAC Proceedings Volumes 1986, 19, 247–252. [Google Scholar] [CrossRef]
- Holland, J.H. Adaptation in Natural and Artificial Systems: An Introductory Analysis with Applications to Biology, Control, and Artificial Intelligence. The MIT Press: 1992; 10.7551/mitpress/1090.001.0001.
- Yang, J.; Reichert, P.; Abbaspour, K.C.; Yang, H. Hydrological modelling of the Chaohe Basin in China: Statistical model formulation and Bayesian inference. Journal of Hydrology 2007, 340, 167–182. [Google Scholar] [CrossRef]
- Wu, H.; Chen, B. Evaluating uncertainty estimates in distributed hydrological modeling for the Wenjing River watershed in China by GLUE, SUFI-2, and ParaSol methods. Ecological engineering 2015, 76, 110–121. [Google Scholar] [CrossRef]
- Mirzaei, M.; Huang, Y.; El-Shafie, A.; Shatirah, A. Application of the generalized likelihood uncertainty estimation (GLUE) approach for assessing uncertainty in hydrological models: A review. Stochastic Environmental Research and Risk Assessment 2015, 29. [Google Scholar] [CrossRef]
- Beven, K.; Binley, A. GLUE: 20 years on. Hydrological Processes 2014, 28, 5897–5918. [Google Scholar] [CrossRef]
- Beven, K.; Binley, A. The future of distributed models: Model calibration and uncertainty prediction. Hydrological Processes 1992, 6, 279–298. [Google Scholar] [CrossRef]
- Dakhlaoui, H.; Ruelland, D.; Tramblay, Y.; Bargaoui, Z. Evaluating the robustness of conceptual rainfall-runoff models under climate variability in northern Tunisia. J Hydrol 2017, 550, 201–217. [Google Scholar] [CrossRef]
- Osuch, M.; Romanowicz, R.J.; Booij, M.J. The influence of parametric uncertainty on the relationships between HBV model parameters and climatic characteristics. Hydrological Sciences Journal 2015, 60, 1299–1316. [Google Scholar] [CrossRef]
- Mann, H.B. Nonparametric Tests against Trend. Econometrica 1945, 13, 245–259. [Google Scholar] [CrossRef]
- Ojo, O.I.; Ilunga, M.F. Application of nonparametric trend technique for estimation of onset and cessation of rainfall. Air, Soil and Water Research 2018, 11, 1178622118790264. [Google Scholar] [CrossRef]
- Pandey, A.; Lalrempuia, D.; Jain, S.K. Assessment of hydropower potential using spatial technology and SWAT modelling in the Mat River, southern Mizoram, India. Hydrological Sciences Journal 2015, 60, 1651–1665. [Google Scholar] [CrossRef]
- Yamba, F.D.; Walimwipi, H.; Jain, S.; Zhou, P.; Cuamba, B.; Mzezewa, C. Climate change/variability implications on hydroelectricity generation in the Zambezi River Basin. Mitigation and Adaptation Strategies for Global Change 2011, 16, 617–628. [Google Scholar] [CrossRef]
- CICOS. International Commission of the Congo-Oubangui-Sangha Basin (CICOS), PROGRAMME DE MESURES 2016 – 2020, www.cicos.int. 2016.










| Climate | Streamflow | |||||||
|---|---|---|---|---|---|---|---|---|
| Station | Mean annual precipitation (mm) |
Average minimum temperature (°C) | Average maximum temperature (°C) | Basin average precipitation (mm) |
Station | Average annual flow (m3/s) | Drainage area (km2) | |
| Bandundu | 1554 | 21.4 | 30.8 | 1456 | Kutu Moke | 8070 | 750,000 | |
| Kiyaka | 1649 | 20.0 | 29.3 | |||||
| Dataset | Source | Available temporal coverage |
Spatial resolution |
Temporal resolution | Reference |
|---|---|---|---|---|---|
| ERA5-land | ECMWF | 1981-present | 0.1°× 0.1° | Daily | Muñoz-Sabater, Dutra [70] |
| Climate Forecast System Reanalysis (CFSR) | NCEP | 1979-present | 0.5° × 0.5° | Daily | Saha, Moorthi [71] |
| Japanese 55-year Reanalysis (JRA-55) | Japan Meteorological Agency | 1958-present | 1.25°×1.25° |
Daily |
Kobayashi, Ota [72] |
| Modern-Era Retrospective analysis for Research and Applications (MERRA) | NASA GMAO | 1979-2016 | 0.5° × 0.66° | Daily | Rienecker, Suarez [73] |
Disclaimer/Publisher’s Note: The statements, opinions and data contained in all publications are solely those of the individual author(s) and contributor(s) and not of MDPI and/or the editor(s). MDPI and/or the editor(s) disclaim responsibility for any injury to people or property resulting from any ideas, methods, instructions or products referred to in the content. |
© 2024 by the authors. Licensee MDPI, Basel, Switzerland. This article is an open access article distributed under the terms and conditions of the Creative Commons Attribution (CC BY) license (http://creativecommons.org/licenses/by/4.0/).
