Submitted:
07 June 2024
Posted:
11 June 2024
You are already at the latest version
Abstract
Keywords:
1. Introduction
2. Materials and Methods
2.1. Ophthalmic Surgical Robot
2.2. Viscoelastic Contact Model
2.3. Active Disturbance Rejection Force Controller
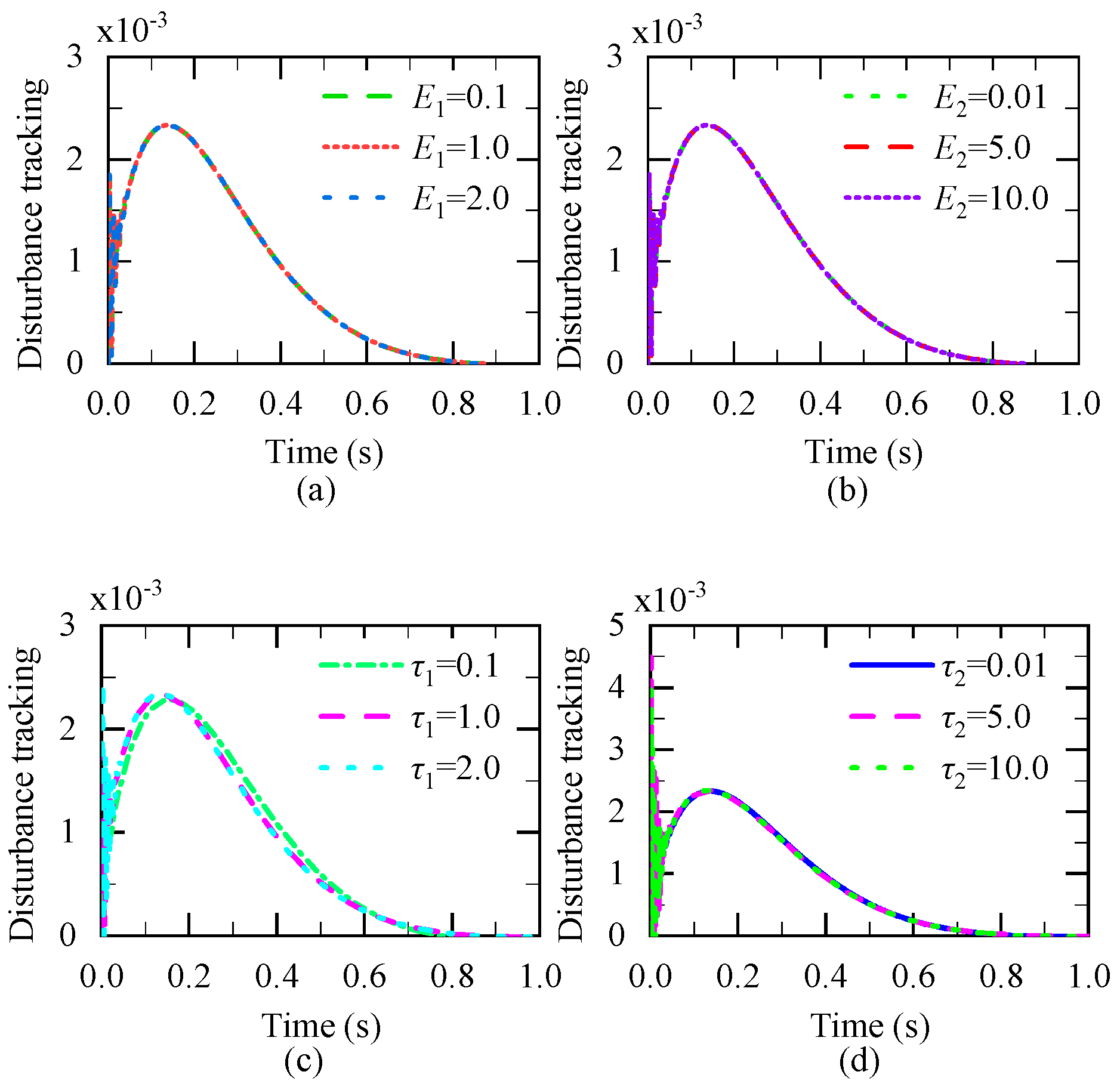
3. Disturbance Rejection Capability Analysis
4. Experimental Results and Discussion
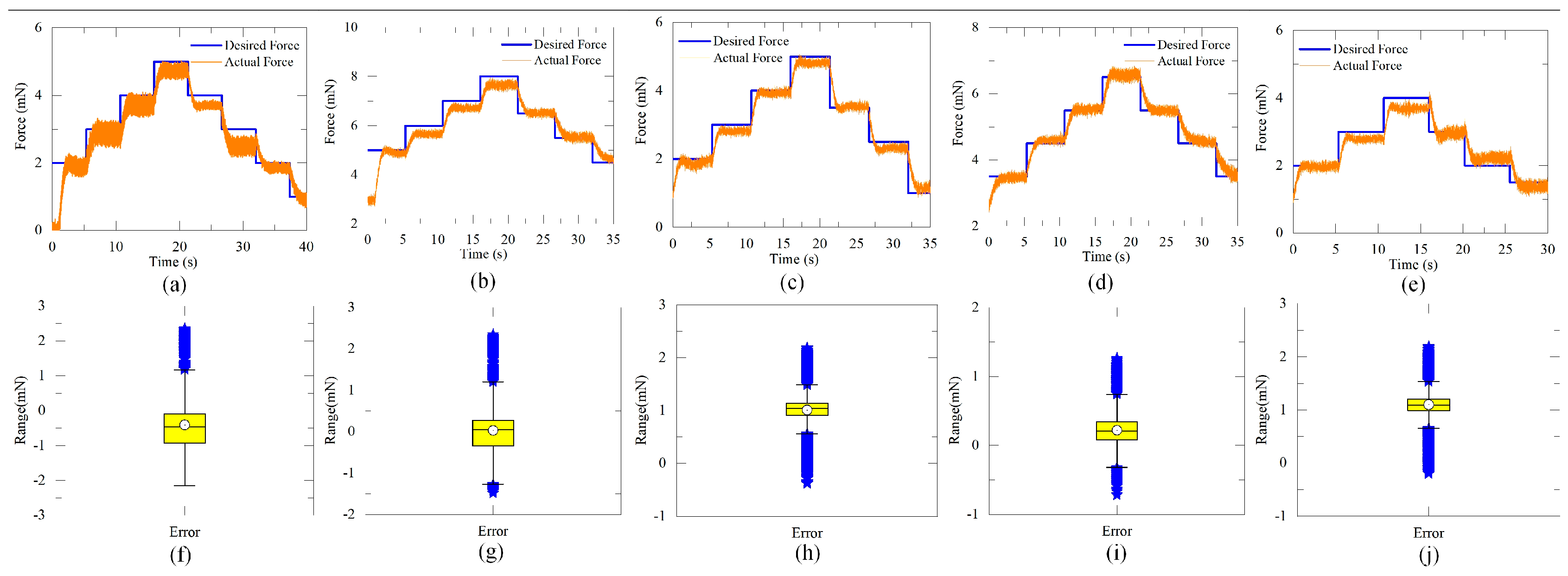
4.1. Experimental Setup
4.2. Results and Discussion
5. Conclusion
Author Contributions
Informed Consent Statement
Data Availability Statement
Acknowledgments
Conflicts of Interest
References
- Rehak, J.; Rehak, M. Branch retinal vein occlusion: Pathogenesis, visual prognosis, and treatment modalities. Current Eye Res. 2008, 33(2), 111-131. [CrossRef]
- Wong, T. Y.; Scott, I. U., Retinal-vein occlusion. New England J. Med. 2010, 363(2), 2135-2144.
- Zheng,Y.; Yang, X. H.; Mo, B.; Qi, Y.; Yang, Y.; Lin, C.; Han, S. F.; Wang, N. L.; Guang, C. H.; Liu, W. Evaluation of the Hand Motion and Peeling Force in Inner Limiting Membrane Peeling. Transl. Vis. Sci. Technol. 2023, 12(32), 1-10. [CrossRef]
- Bynoe, L. A.; Hutchins, R. K.; Lazarus, H. S.; Friedberg, M. A. Retinal endovascular surgery for central retinal vein occlusion: Initial experience of four surgeons. Retina. 2005, 25(5), 625-632.
- Poorten, E. V.; Riviere, C. N.; Abbott, J. J.; Bergeles, C.; Nasseri, M. A.; Kang, J. U.; Sznitman, R.; Faridpooya, K.; Iordachita, I. Physiologicalbook of Robotic and Image-Guided Surgery-Part 36: Robotic Retinal Surgery; Elsevier: Netherlands, 2020.
- Zhou, M. C.; Yu, Q. M.; Huang, K.; Mahov, S.; Eslami, A.; Maier, M.; Lohmann, C. P.; Navab, N.; Zapp, D.; Knoll, A.; Nasseri, M. A. Towards Robotic-Assisted Subretinal Injection: A Hybrid Parallel-Serial Robot System Design and Preliminary Evaluation. IEEE Trans. Ind. Electron. 2024, 67(8), 6617-6628. [CrossRef]
- He, C. Y.; Yang, E.; Patel, N.; Ebrahimi, A.; Shahbazi, M.; Gehlbach, P.; Iordachita, I. Automatic Light Pipe Actuating System for Bimanual Robot-Assisted Retinal Surgery. IEEE-ASME Trans. Mechatron. 2020, 25(6), 2846-2857. [CrossRef]
- Zheng, Y.; Yang, Y.; Lin, C.; Guang, C. H.; Zong, J. J.; Ma, K. Preliminary Estimation of the Friction between Force-sensing Forceps and Cornea. In Proceedings of IEEE RAS-EMBS International Conference on Biomedical Robotics and Biomechatronics (BioRob), Seoul, Korea, Republic of, 21-24 August 2022, 1-6.
- Yang, S.; MacLachlan, R. A.; Martel, J. N., Lobes, L. A.; Riviere, C. N. Comparative Evaluation of Handheld Robot-Aided Intraocular Laser Surgery. IEEE Trans. Robot. 2016, 32(1), 246-251. [CrossRef]
- Charreyron, S. L.; Boehler, Q.; Danun, A. N.; Mesot, A.; Becker, M.; Nelson, B. J. A Magnetically Navigated Microcannula for Subretinal Injections. IEEE Trans. Biomed. Eng. 2021, 68(1), 119-129. [CrossRef]
- Keller, B.; Draelos, M.; Zhou, K.; Qian, R. B.; A. Konidaris, N. G.; Hauser, K.; Izatt, J. A. Optical Coherence Tomography-Guided Robotic Ophthalmic Microsurgery via Reinforcement Learning from Demonstration. IEEE Trans. Robot. 2020, 36(4), 1207-1218. [CrossRef]
- Zhou, M. C.; Hao, X.; Eslami, A.; Huang, K.; Cai, C. X.; Lohmann, C. P.; Navab, N.; Knoll, A.; Nasseri, M. A. 6DOF Needle Pose Estimation for Robot-Assisted Vitreoretinal Surgery. IEEE Access. 2019, 7, 63113-63122. [CrossRef]
- Schoevaerdts, L.; Esteveny, L.; Gijbels, A.; Smits, J.; Reynaerts, D.; Vander Poorten, E. Design and evaluation of a new bioelectrical impedance sensor for micro-surgery: application to retinal vein cannulation. Int. J. Comput. Assist. Radiol. Surg. 2019, 14(2), 311-320. [CrossRef]
- Ebrahimi, A.; Urias, M. G.; Patel, N.; Taylor, R. H.; Gehlbach, P., Iordachita, I. Adaptive control improves sclera force safety in robot-assisted eye surgery: A clinical study. IEEE Trans. Biomed. Eng. 2021, 68(1), 3356-3365. [CrossRef]
- He, C. Y.; Patel, N.; Shahbazi, M.; Yang, Y.; Gehlbach, P.; Kobilarov, M.; Iordachita, I. Toward Safe Retinal Microsurgery: Development and Evaluation of an RNN-Based Active Interventional Control Framework. IEEE Trans. Biomed. Eng. 2020, 67(4), 966-977. [CrossRef]
- He, C. Y.; Patel, N.; Iordachita, I.; Kobilarov, M. Enabling Technology for Safe Robot-Assisted Retinal Surgery: Early Warning for Unsafe Scleral Force. In Proceedings of the IEEE International Conference on Robotics and Automation (ICRA), Montreal, QC, Canada, 20-24 May 2019, 3889-3894.
- He, C. Y.; Ebrahimi, A.; Yang, E.; Urias, M.; Yang, Y.; Gehlbach, P.; Iordachita, I. Towards Bimanual Vein Cannulation: Preliminary Study of a Bimanual Robotic System With a Dual Force Constraint Controller. In Proceedings of the IEEE International Conference on Robotics and Automation (ICRA), Paris, France, 31 May 2020 - 31 August 2020, 4441-4447.
- Wells, T. S.; Yang, S.; MacLachlan, R. A.; Lobes, L. A.; Martel, J. N.; Riviere, C. N. Hybrid position/force control of an active handheld micromanipulator for membrane peeling. Int. J. Med. Robot. Comput. Assist. Surg., 2016, 12(1), 85-95. [CrossRef]
- Ebrahimi, A.; Patel, N.; He, C. Y.; Gehlbach, P.; Kobilarov, M.; Iordachita, I. Adaptive Control of Sclera Force and Insertion Depth for Safe Robot-Assisted Retinal Surgery. In Proceedings of the IEEE International Conference on Robotics and Automation (ICRA), Montreal, QC, Canada, 20-24 May 2019, 9073-9079.
- Avetisov, K. S.; Bakhchieva, N. A.; Avetisov, S. E.; Novikov, I. A.; Frolova, A. A.; Akovantseva, A. A.; Efremov, Y. M.; Kotova, S. L.; Timashev, P. S. Biomechanical properties of the lens capsule: A review. J. Mech. Behav. Biomed. Mater. 2020, 103, 103600. [CrossRef]
- Han, J. From PID to active disturbance rejection control. IEEE Trans. Ind. Electron. 2009, 56(3), 900-906. [CrossRef]
- Liu, H.; Bu, F.; Huang, W.; Qin, H.; Tan, Y.; Qian, Z. Linear active disturbance rejection control for dual-stator winding induction generator AC power system. IEEE Trans. Ind. Electron. 2022, 70(7), 6597-6607.
- Zhou, R.; Fu, C.; Tan, W. Implementation of linear controllers via active disturbance rejection control structure. IEEE Trans. Ind. Electron. 2020, 68(7), 6217-6226. [CrossRef]
- Smits, J.; Reynaerts, D.; Vander Poorten, E. Synthesis and methodology for optimal design of a parallel remote center of motion mechanism: Application to robotic eye surgery. Mech. Mach. Theory. 2020, 151, 103896. [CrossRef]
- Lin, C.; Guang, C. H.; Zheng, Y.; Ma, K.; Yang, Y. Preliminary evaluation of a novel vision-guided hybrid robot system for capsulotomy in cataract surgery. Displays. 2022, 74, 102262. [CrossRef]
- Moreira, P.; Zemiti, N.; Liu, C.; Poignet, P. Viscoelastic model based force control for soft tissue interaction and its application in physiological motion compensation. Comput. Meth. Programs Biomed. 2014, 116(2), 52-67. [CrossRef]
- Gonenc, B.; Chamani, A.; Handa, J.; Gehlbach, P.; Taylor, R. H.; Iordachita, I. 3-DOF Force-Sensing Motorized Micro-Forceps for Robot-Assisted Vitreoretinal Surgery. IEEE Sens. J. 2017, 17(11), 3526-3541. [CrossRef]









| Group I | Group II | ||||||
| E1 | τ1 | E2 | τ2 | R2 | SSE (mN) | Response time(s) | |
| Embryo1 | 0.692 | 1.042 | 7.405 | 0.004611 | 0.9789 | 0.31 | 1.41 |
| Embryo2 | 0.7765 | 1.038 | 15.865 | 0.00272 | 0.9834 | 0.29 | 1.93 |
| Embryo 3 | 0.801 | 0.6156 | 12.665 | 0.002042 | 0.9812 | 0.35 | 1.97 |
| Embryo 4 | 1.254 | 1.068 | 37.31 | 0.001693 | 0.9735 | 0.24 | 1.80 |
| Embryo 5 | 0.701 | 0.9863 | 14.62 | 0.002621 | 0.9881 | 0.32 | 2.23 |
Disclaimer/Publisher’s Note: The statements, opinions and data contained in all publications are solely those of the individual author(s) and contributor(s) and not of MDPI and/or the editor(s). MDPI and/or the editor(s) disclaim responsibility for any injury to people or property resulting from any ideas, methods, instructions or products referred to in the content. |
© 2024 by the authors. Licensee MDPI, Basel, Switzerland. This article is an open access article distributed under the terms and conditions of the Creative Commons Attribution (CC BY) license (http://creativecommons.org/licenses/by/4.0/).
