Submitted:
06 June 2024
Posted:
07 June 2024
You are already at the latest version
Abstract
Keywords:
1. Introduction
2. Experimental
2.1. Powder Preparation
2.2. Symmetrical Half-Cells and Single Cells Fabrication
2.3. Electrochemical and Microstructural Characterization
3. Results and Discussion


4. Conclusions
Acknowledgments
Conflicts of Interest
References
- Fergus, J.W., Effect of cathode and electrolyte transport properties on chromium poisoning in solid oxide fuel cells. International Journal of Hydrogen Energy, 2007. 32: p. 3664-3671. [CrossRef]
- Horita, T., et al., Effects of impurities on the degradation and long-term stability for solid oxide fuel cells. Journal of Power Sources, 2009. 193(1): p. 194-198. [CrossRef]
- Schuler, J.A., et al., Air side contamination in Solid Oxide Fuel Cell stack testing. Journal of Power Sources, 2011. 196(17): p. 7225-7231. [CrossRef]
- Tu, H.Y. and U. Stimming, Advances, aging mechanisms and lifetime in solid-oxide fuel cells. Journal of Power Sources, 2004. 127(1-2): p. 284-293. [CrossRef]
- Bello, I.T., et al., Scientometric review of advancements in the development of high-performance cathode for low and intermediate temperature solid oxide fuel cells: Three decades in retrospect. International Journal of Hydrogen Energy, 2021. 46(52): p. 26518-26536. [CrossRef]
- Li, J., et al., Novel gradient porous cathode for intermediate temperature solid oxide fuel cell. International Journal of Hydrogen Energy, 2019. 44(59): p. 31525-31530. [CrossRef]
- Chen, F., et al., Doping strategy on improving the overall cathodic performance of double perovskite LnBaCo2O5+δ (Ln=Pr, Gd) as potential SOFC cathode materials. Journal of Materiomics, 2023. 9(5): p. 825-837. [CrossRef]
- Liu, Y., et al., Novel CO2-tolerant Co-based double perovskite cathode for intermediate temperature solid oxide fuel cells. Journal of the European Ceramic Society, 2023. 43(3): p. 1028-1038. [CrossRef]
- Grassi, J., et al., Power density vs ionic radii correlations in REBa2Cu3O6+ẟ (RE = La, Nd, Sm, Gd and Y) IT – SOFC potential cathodes. Electrochimica Acta, 2023. 464: p. 142931. [CrossRef]
- Bao, X., et al., Effects of Bi-doping on structure and properties of YBaCo2O5+δ layered perovskite cathode for intermediate-temperature solid oxide fuel cells. Journal of Alloys and Compounds, 2023. 965: p. 171391. [CrossRef]
- Qian, B., et al., Cobalt-free double-perovskite oxide Sr2Ti0.9FeNi0.1O6 as a promising electrode for symmetric solid oxide electrolysis cells. Journal of the European Ceramic Society, 2023. [CrossRef]
- Wang, S., et al., Evaluation of perovskite oxides LnBaCo2O5+δ (Ln = La, Pr, Nd and Sm) as cathode materials for IT-SOFC. Journal of Electroanalytical Chemistry, 2021. 886: p. 115144. [CrossRef]
- Wang, H., et al., Exploring the influence of rare earth ions at A-site on the properties of LnBaCo2O5+δ cathode for solid oxide fuel cells. Ceramics International, 2023. 49(16): p. 27222-27229. [CrossRef]
- Dou, Y., et al., Addressing electrocatalytic activity and stability of LLnBaCo2O5+δ perovskites for hydrogen evolution reaction by structural and electronic features. Applied Catalysis B: Environmental, 2021. 297: p. 120403. [CrossRef]
- Chen, D.J., R. Ran, and Z.P. Shao, Assessment of PrBaCo2O5+δ + Sm0.2Ce0.8O1.9 composites prepared by physical mixing as electrodes of solid oxide fuel cells. JOURNAL OF POWER SOURCES, 2010. 195(21): p. 7187-7195. [CrossRef]
- Wang, H.R., et al., A novel composite oxygen electrode: PrBaCo2O5+δ combined with negative thermal expansion oxide applied to reversible solid oxide cells. INTERNATIONAL JOURNAL OF HYDROGEN ENERGY, 2022. 47(90): p. 38327-38333. [CrossRef]
- Bai, H., et al., PrBa0.5Sr0.5Co1.5Fe0.5O5+δ as air electrode for proton-conducting solid oxide cells. JOURNAL OF POWER SOURCES, 2023. 574.
- Jiang, S.P., Nanoscale and nano-structured electrodes of solid oxide fuel cells by infiltration: Advances and challenges. International Journal of Hydrogen Energy, 2012. 37(1): p. 449-470. [CrossRef]
- Ai, N., et al., Nanostructured (Ba,Sr)(Co,Fe)O3-δ Impregnated (La,Sr)MnO3 Cathode for Intermediate-Temperature Solid Oxide Fuel Cells. Journal of the Electrochemical Society, 2010. 157(7): p. B1033-B1039. [CrossRef]
- Chen, J., et al., Palladium and ceria infiltrated La0.8Sr0.2Co0.5Fe0.5O3-δ cathodes of solid oxide fuel cells. Journal of Power Sources, 2009. 194(1): p. 275-280. [CrossRef]
- He, H.Q., et al., Co2MnO4 spinel-palladium co-infiltrated La0.7Ca0.3Cr0.5Mn0.5O3-δcathodes for intermediate temperature solid oxide fuel cells. Journal of Alloys and Compounds, 2011. 509(40): p. 9708-9717. [CrossRef]
- Jiang, S.P., A review of wet impregnation - An alternative method for the fabrication of high performance and nano-structured electrodes of solid oxide fuel cells. Materials Science and Engineering a-Structural Materials Properties Microstructure and Processing, 2006. 418(1-2): p. 199-210. [CrossRef]
- Jiang, S.P. and W. Wang, Fabrication and performance of GDC-impregnated (La,Sr)MnO3 cathodes for intermediate temperature solid oxide fuel cells. Journal of the Electrochemical Society, 2005. 152(7): p. A1398-A1408. [CrossRef]
- Liang, F., et al., Novel nano-structured Pd plus yttrium doped ZrO2 cathodes for intermediate temperature solid oxide fuel cells. Electrochemistry Communications, 2008. 10(1): p. 42-46.
- Liang, F., et al., Development of Nanostructured and Palladium Promoted (La,Sr)MnO(3)-Based Cathodes for Intermediate-Temperature SOFCs. Electrochemical and Solid State Letters, 2008. 11(12): p. B213-B216. [CrossRef]
- Zhao, L., S. Amarasinghe, and S.P. Jiang, Enhanced chromium tolerance of La0.6Sr0.4Co0.2Fe0.8O3-δ) electrode of solid oxide fuel cells by Gd0.1Ce0.9O1.95 impregnation. Electrochemistry Communications, 2013. 37: p. 84-87. [CrossRef]
- Chen, K., et al., Highly chromium contaminant tolerant BaO infiltrated La0.6Sr0.4Co0.2Fe0.8O3-δ cathodes for solid oxide fuel cells. Physical Chemistry Chemical Physics, 2015. 17(7): p. 4870-4874. [CrossRef]
- Huang, J., et al., Promotional role of BaCO3 on the chromium–tolerance of La0.6Sr0.4Co0.2Fe0.8O3-δ cathodes of solid oxide fuel cells. Applied Catalysis B: Environmental, 2023. 321: p. 122080. [CrossRef]
- Jiang, L., et al., Thermal and electrochemical properties of PrBa0.5Sr0.5Co2−xFexO5+δ (x = 0.5, 1.0, 1.5) cathode materials for solid-oxide fuel cells. Journal of Power Sources, 2013. 232: p. 279-285. [CrossRef]
- Zhang, X., H. Zhang, and X. Liu, High performance La2NiO4+δ-infiltrated (La0.6Sr0.4)0.995Co0.2Fe0.8O3−δ cathode for solid oxide fuel cells. Journal of Power Sources, 2014. 269: p. 412-417. [CrossRef]
- Wei, M., et al., High performance La2NiO4+δ impregnated (La0.6Sr0.4)0.995Co0.2Fe0.8O3−δ cathodes for solid oxide fuel cells. Solid State Ionics, 2022. 387: p. 116065.
- Li, J., et al., Microstructure optimization for high-performance PrBa0.5Sr0.5Co1.5Fe0.5O5+δ-La2NiO4+δ i core-shell cathode of solid oxide fuel cells. Journal of Power Sources, 2018. 379: p. 206-211. [CrossRef]









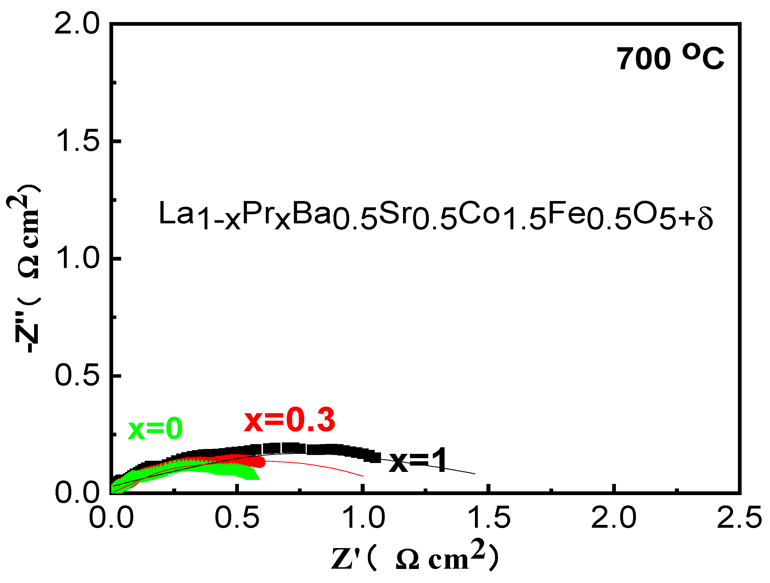
| 700 oC Stable 2h | LPBSCF(x=1) | LPBSCF(x=0.3) | LPBSCF(x=0) |
|---|---|---|---|
| RP/Ω·cm2 |
1.2 | 0.5 | 0.6 |
| RPH/Ω·cm2 |
0.1 | 0.1 | 0.1 |
| RPL/Ω·cm2 |
1.1 | 0.4 | 0.5 |
| 0mA/cm2 | LPBSCF3 Stable 2h |
LPBSCF3-LN-0.04M Stable 2h |
LPBSCF3-LN-0.08 M Stable 2h |
|||
|---|---|---|---|---|---|---|
| RP | 0.6 | 0.7 | 1.2 | |||
| RPH | 0.1 | 0.1 | 0.1 | |||
| RPL | 0.5 | 0.6 | 1.1 | |||
| 200mA/cm2 | 20h | 40h | 20h | 40h | 20h | 40h |
| RP | 2.7 | 5 | 1.2 | 2.2 | 2.5 | 4.3 |
| RPH | 0.2 | 0.3 | 0.2 | 0.1 | 0.2 | 0.2 |
| RPL | 2.5 | 4.8 | 1.0 | 2.1 | 2.3 | 4.1 |
Disclaimer/Publisher’s Note: The statements, opinions and data contained in all publications are solely those of the individual author(s) and contributor(s) and not of MDPI and/or the editor(s). MDPI and/or the editor(s) disclaim responsibility for any injury to people or property resulting from any ideas, methods, instructions or products referred to in the content. |
© 2024 by the authors. Licensee MDPI, Basel, Switzerland. This article is an open access article distributed under the terms and conditions of the Creative Commons Attribution (CC BY) license (http://creativecommons.org/licenses/by/4.0/).