Preprint
Article

This version is not peer-reviewed.

Herbicide Uptake (Flashback) in Non-target Hardwood Species Within South Carolina Floodplains

A peer-reviewed article of this preprint also exists.

Submitted:

05 June 2024

Posted:

07 June 2024

You are already at the latest version

Abstract
Abstract: Herbicide flashback is an undesirable response that results in damage or mortality of non-target plants near chemically treated plants. In severe instances, crop trees can be injured resulting in financial loss or inability to capture management objectives. Land managers need to know the potential limitations of using triclopyr acid (50% solution in water) and what quantity can cause damage to non-target trees (trees not aimed to control via herbicide). Three naturally regenerated (previous clearcut) bottomland hardwood sites, ranging from 14–20 years of age, received partial overstory deadening using Trycera® herbicide. Residual “leave” trees experienced indirect herbicide uptake resulting in some trees either experiencing mortality or partial mortality with top die-back/epicormic branching. An increased probability of damage occurred as tree diameter decreased and the number of treated stems around non-target stems increased. American sycamore, green ash, and sweetgum were most susceptible to flashback. This study examines the unanticipated chemical effect of deadening adjacent stems surrounding residual leave trees in poorly drained soils.
Keywords: 
;  ;  ;  ;  ;  ;  ;  ;  ;  
Stephen E. Peairs 1,*,† and Nilesh Timilsina 2
1 Extension Specialist of Forest Management Clemson University; Department of Forestry and Environmental Conservation, 221 Lehotsky Hall, Clemson, SC 29634, USA
2 Forest Biometrics Clemson University, Department of Forestry and Environmental Conservation, 272G Lehotsky Hall, Clemson, SC 29634, USA

1. Introduction

Landowners in select locations of the eastern US may lack hardwood pulpwood markets to liquidate standing timber. For developing stands in such locations that need some form of commercial thinning to improve stand health or volume production, managers may attempt to apply herbicides to individual trees to induce mortality. Similarly, timber stand improvement practices such as crop tree release in pre-merchantable stands may also employ the use of herbicides to meet management objectives. The use of triclopyr (amine formulation) was not shown to have non-target impacts when applied as a crop tree release treatment [1]. Herbicide flashback by triclopyr (acid formulation) into preferred trees has been observed in this study; however, this can reduce the stand’s desired species composition and potentially impact future stand profitability.
Flashback is the unintended intake of herbicide into non-target woody tree species, leading to tree death or crown dieback. This effect may result from root graphing within the same species or by herbicide being released from treated trees and absorbed in the soil (in particular, soil-active herbicides) via root systems. An example would be products containing picloram, as yellow-poplar (Liriodendron tulipifera L.) is susceptible to herbicide flashback from root graphs [2]. The aforementioned publication also makes reference to the potential for imazapyr to cause flashback. Eck [3] observed non-target trees adjacent to tree-of-heaven (Ailanthus altissma Mill.) receiving both stem injection and basal bark applications of imazapyr experienced flashback symptoms. Non-target uptake of imazapyr herbicide has been noticed on 66% of crop trees within study sites containing soils lacking clay and organic matter [1]. Contrarily, Rainer et al. [4] found that imazapyr applied in bottomland hardwood sawtimber stands (all 70+ years of age) did not have any significant impact on non-target stems. Non-soil active herbicides, including triclopyr, have been accepted as safer options to avoid non-target impact. Triclopyr ester (Garlon 4®) has a limited half-life of 10–14 days, which makes it less persistent in soil. Kochenderfer et al. [1] stated there was no evidence of nontarget damage to crop trees from triclopyr treatments. Eck [3] did not observe any damage (wilting, axillary budding, chlorosis, and necrosis) to adjacent stems within treatments using triclopyr as basal bark applications (Garlon 4®) or stem injection using triclopyr (amine formulation) capsules. Limited flashback damage (5% of treatments) of triclopyr ester (Garlon 4®) into non-target stems was observed by Graziano et al. [5]. Turner et al. [6] found that a combination of triclopyr amine (50%), water (40%), and imazapyr (10%) gave better control of more species compared to triclopyr (amine) alone in older stands. Natural resource managers need to be aware of the potential for this occurrence and utilize the best-suited practices/herbicides to minimize deleterious effects, especially if applications are to be conducted within juvenile stands, as young stands may be more susceptible.
Herbicide treatments involves ring girdling in addition to cut stem treatments to necessitate deadening of the overstory. Ring girdling is needed to control larger diameter stems as basal bark and cut stem treatments are limited in effectiveness to smaller diameter stems [typically >15.24 cm diameter at breast height (dbh)]. Single ring girdling with herbicides has been observed to be more effective compared to ring girdling without herbicides or double ring girdling [7]. Coppice regeneration, which has multiple stems, should incorporate mechanical girdling only and avoid herbicide use. The chemical application to one stem would likely result in damage to adjacent stems that share the same root system.
Trycera® (Triclopyr: 3,5,6-trichloro-2-pyridinyloxyacetic acid) was used for treating woody stems. Triclopyr is a synthetic auxin herbicide in the pyridine carboxylic acid family. This pesticide is the newer acid formulation of triclopyr which has received less research compared to the older triethylamine salt and butoxyethyl ester formulations registered in 1979 and 1980, respectively [8]. Triclopyr’s mode of action mimics the plant growth hormone indole-3-acetic acid resulting in uncontrolled growth by interfering with protein synthesis [9]. Triclopyr is absorbed via the roots, stems, and leaf tissues, and translocated via apoplastic and symplastic processes where it accumulates in the meristematic regions [10]. Tycera was registered with the US Environmental Protection Agency in 2013.
The half-life of triclopyr in representative water-saturated, agricultural soils ranged from 42 days in soils with higher organic matter to 130 days [11]. The degraded metabolite byproduct of triclopyr acid is 3,5,6-trichloro-2-methoxypyridine (TCP). Pusino et al [12] found that adsorption rates in clay soils decreased with decreasing acidity and increased organic matter.
This study's overall objective is to investigate Triclopyr's effect on target and non-target species. Specific questions we want to answer are: 1) Is the mortality of non-target individual species-specific? 2) Is the mortality of non-target individuals dependent on the application method on the target species? Is mortality dependent on the structural characteristics of individual trees and the number of treated individuals around? How effective is the herbicide on target species, and what factors affect its effectiveness?

2. Material and Methods

2.1. Study Area

The original intent of the study investigated whether partial overstory deadening could be applied to a juvenile stand to increase sunlight penetration to the forest floor. The selected deadening would simulate two levels of low and crown thinning (shelterwood simulation) using hack and squirt (cut stem), ring girdling with herbicide, or ring girling without herbicide. Four bottomland oak species were underplanted beneath two different overstory crown retention levels (approximately 4.6 m2 and 9.19 m2 of basal area per hectare), respectively. Residual trees were primarily non-oak species due to the low abundance or complete lack of oak species in the stands. Species composition varied with each of the three replications sites across South Carolina. The most common species used to serve as residual trees was sweetgum (Liquidambar styraciflua L.), American sycamore (Platanus occidentalis L), green ash (Fraxinus pennsylvanica Marsh.), overcup oak (Quercus lyrata Walt.), water oak (Quercus nigra L.), American elm (Ulmus americana L.), and red maple (Acer rubrum L.). Other species inventoried across the three sites included boxelder (Acer negundo L.), hackberry (Celtis occidentalis L.), water hickory (Carya aquatica Michx. f. Nutt.), willow oak (Quercus phellos L.), river birch (Betula nigra L.), black walnut (Juglans nigra L.), persimmon (Diospyros virginiana L.), pecan (Carya illinoensis Wangenh. K. Koch.), bald cypress (Taxodium distichum L.), and eastern cottonwood (Populus deltoides Bartr. Ex Marsh.). Some residual stems were coppice regeneration having multiple leaders. The largest one or two leaders were typically selected to remain alive. The other coppice stems were ring girdled without herbicide. Residual individual or double stems (stump sprouts) were untreated. Residual stems were inventoried and marked with either blue or orange florescent paint during herbicide treatments. All subordinate crowned trees (suppressed and intermediates) were chemically treated.
Individual “leave” trees were marked to simulate shelterwood conditions on three junvenile bottomland sites across South Carolina. Site one was located on Draper Wildlife Management Area (South Carolina Department of Natural Resources property) in York County (34°51ʹ30ʺ N/81°11ʹ15ʺ W). The site lies within a minor floodplain of Love Creek consisting of Chewacla loam (0-2% slope, frequently flooded; somewhat poorly drained). Site two is situated in Manchester State Forest (South Carolina Forestry Commission property) in Sumter County (33°49ʹ00ʺ N/80°35ʹ25ʺ W). The site exists in the Wateree River swamp containing Tawcaw-Duckbottom-Mullers complex soils (silty clay loam (Tawcaw) or clay (Duckbottom and Mullers); 0-2%; frequently flooded; somewhat poorly or poorly drained). Site three was on Webb Wildlife Management Area (SCDNR land) in Hampton County (32°36ʹ00ʺ N/81°22ʹ37ʺ W). This site is situated in the Savannah River swamp and has Tawcaw-Chastain complex soils [silty clay loam (Tawcaw) or loam (Chastain); 0-2%; frequently flooded; somewhat poorly drained]. All three soil types on the sites have site index values of 95 or greater (base age 50) for sweetgum (Liquidambar styraciflua L.).
All three sites consisted of bottomland hardwood stands in the early stem exclusion stage (14-20 years of age) of stand development. Tree composition for species occupying dominant/codominant crown positions were primarily sweetgum (Liquidambar styraciflua L.), American sycamore (Platanus occidentalis L.), green ash (Fraxinus pennsylvanica Marsh.), overcup oak (Quercus lyrata), willow oak (Quercus phellos L.), or water hickory (Carya Aquatica (Michx. f.) Nutt.).
South Carolina has a humid subtropical climate. Summer conditions are hot with winters being mild in the eastern portion of the state. Average precipitation is between 101.6-203.2 centimeters per year. The Draper WMA site is located in the Piedmont physiographical region. The Manchester State Forest site is within the upper coastal plain region. The Webb WMA site is in the lower coastal plain region.

2.2. Treatments

Each study site was chemically thinned to attempt to create conditions similar to a shelterwood used for regeneration in mature stands. This practice left trees that were evenly distributed across each site to enable sunlight penetration while creating a semi-shaded environment on the forest floor. There were initially two targeted residual, live stand (residual) basal areas of approximately 4.6 m2 and 9.19 m2 of basal area per hectare on each location. Residual “leave” trees were stems considered codominant or better. These stems did not receive any form of chemical application. Some leave trees originated from coppice regeneration. For multiple coppice stems, only one or two trees were deadened by ring girdling without herbicide added to rings. All residual stems were marked with florescent paint and measured for dbh. Surrounding targeted stems, less than 15.24 cm dbh, were treated by hack and squirt with 50% triclopyr acid (Trycera®) and 50% water solution. Larger diameter stems received a complete ring girdle (<one inch depth) with approximately 1 milliliter of the herbicide solution for every 7.62cm diameter increase (15.49 cm-22.61 cm trees = 3 milliliters, 23.11-30.23 cm = 4 milliliters, etc.). Chemical/girdling treatments were conducted across the three sites from June 2020–August 2020. Bottomland oak species were underplanted in late winter/early spring 2021 as the primary study emphasis. A subsequent study was put in place when the observation of chemical flashback in residual overstory trees became evident.
Evidence of herbicide flashback became evident during the second growing season (2021). Numerous marked leave trees had either succumbed to mortality, had 50% or greater crown dieback, or were top-killed (complete crown defoliation) with epicormic branching. To understand mortality and dieback, three - 0.081-hectare plots were situated on each site (nine plots in total). Individual residual trees were categorized as either healthy/alive, partially live, or dead. All stems (treated) within a 3.05 m radius of the marked residual tree were identified by species and assessed into the aforementioned categories, and the treatment method and amount of herbicide solution (1 ml per hack) were recorded. Basal area calculations for live, partially dead, or dead residual stems were conducted using plot data.

2.3. Data Analysis

We used two mixed model logistic regressions to analyze our data; we treated the plot as a random intercept in our model to account for the correlation of trees within the same plot. Our first regression model examined the factors that influenced the probability of whether a target/leave tree is dead or partially affected due to herbicide application on trees around it. Our dependent variable is whether a tree is dead or partially affected (coded as 1) or alive (coded as 0). The independent variables used in the model were the diameter of leave trees (LDiam), the number of treated trees around leave trees (NumTreated), the mean diameter of adjacent treated trees (MADBH), the number of hacked (NHack) or girdled (NGirdle) adjacent trees, and the mean amount of herbicide (MAHamount) used around adjacent trees.
Our second regression model examined the factors that influenced the probability of whether a treated tree (adjacent trees around leave trees were treated) is dead or partially affected due to herbicide application. Our dependent variable is whether a tree is dead or partially affected (coded as 1) or alive (coded as 0). The independent variables used in the model were the diameter of treated trees (ADBH), method of treatment (Atreatment with three levels hacked, girdled, and untreated), and the amount of herbicide used (AHamount; 0, 1, 2, and 3 milliliters).
We used glmulti package in R [13,14] to perform automated model selection using AIC and weight, we selected the model with the lowest AIC and highest weight.

3. Results

Manchester State Forest site visually appeared to have the greatest occurrence of herbicide flashback amongst the three sites. Basal area calculations (Table 1) of the three tree classifications also support greater detriment on this particular site. Damage to residual trees was also observed on the other two sites but at a lesser severity than the Manchester SF site. Larger average residual tree diameters were similar on the two sites with lesser flashback occurrence. The lowest severity occurred on the Draper WMA site.
The proportion of individual tree species impacted by herbicide flashback found American sycamore (Platanus occidentalis L.) and green ash (Fraxinus pennsylvanica Marsh.) were most sensitive. Greater than 50% of the sampled stems for each species either exhibited crown dieback or mortality. Sweetgum (Liquidambar styraciflua L.) stems were also moderately impacted with approximately 37% of the population displaying detrimental symptoms (Figure 1).
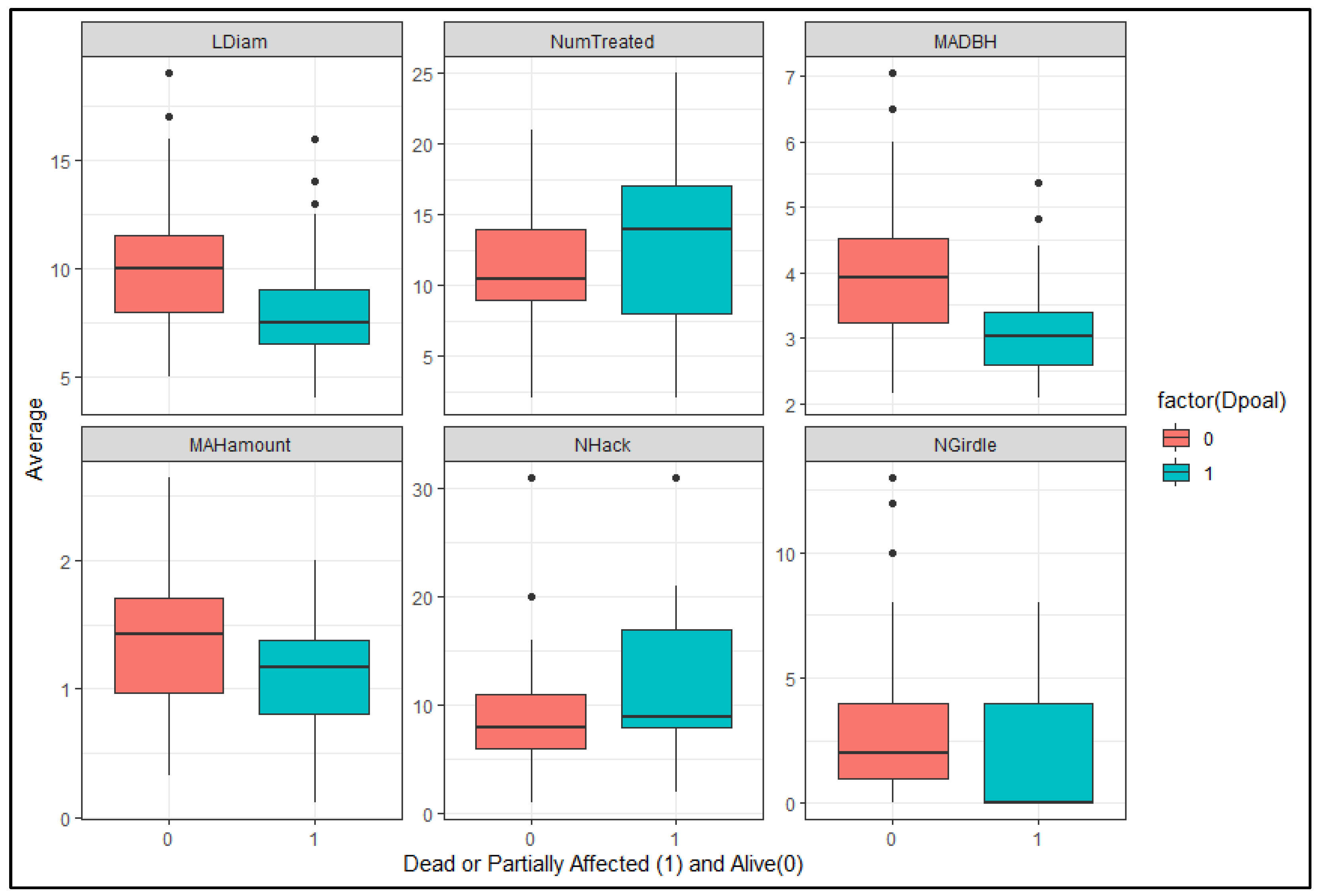
Logistic regression analysis was performed to evaluate if 1. leave trees diameter (LDia) at breast height ( 1.37 m), 2. the number of treated trees around leave trees (NumTreated), 3. average amount of herbicide used on adjacent tree (MAHamount), 4. mean diameter of adjacent treated trees (MADBH), and 5. number of hacked (NHack) or girdled (NGirdle) adjacent trees influenced non-target, residual leave tree health. Dead stems and partially dead (significant crown dieback/epicormic branching along bole) were combined into one class. Findings suggest that dead or partially affected trees had lower average diameter, higher average number of treated trees, lower average diameter of adjacent trees, lower the amount of herbicide used on adjacent trees and higher number of girdled trees (Figure 2).
If the diameter of the leave trees increases, the odds of herbicide affecting (either dead or partial) decreases; as the diameter increases by one inch, the odds of being alive go up 1.3 times (Table 2). Similarly, as the number of treated individuals around the leave tree increases, the odds of herbicide effect increase (if the number goes up by one, the odds of dying or partial effect increases by 1.3 times). Also, as the mean diameter of the treated individuals around the leave tree increases by one unit, the odds of the leave tree being alive (compared to being dead or partially affected) increase by 3.7 times. Again, as the number of hacked individuals around the leave tree increases, the odds of the leave tree being alive increase by 1.16 times. The herbicide amount and number of girdled trees around the leave trees were not significant and were not part of our best model.
The probability of the leave tree dying or being partially affected by herbicide decreased if the leave trees were bigger, on average had bigger treated trees around them, and had higher number hacked and squirt trees (Figure 3). For example, the probability of trees that are 38.1 cm or higher being affected is around 12% or less. Similarly, if the average diameter of adjacent treated trees were 15.24 cm or higher, the probability of leave tree being affected is almost zero. If there were higher number of treated adjacent trees, the probability of leave trees being affected increased significantly; for example, if there were more than 20 treated trees, the probability was more than 85%.

4. Treated Trees

For seven species, more than 75% of the individuals treated with herbicide either died or had dieback, and most species had more than 50% (Figure 4).
The logistic regression suggested that the likelihood of a treated tree dying or being partially affected (dieback) due to herbicide is affected by the treatment method (hacked, girdled or untreated), the diameter of the treated tree and the amount of herbicide is not as important (Table). The odds of a treated tree dying or partially affected increase by 1.74 times for a hacked tree compared to a girdled tree (Table 3), which is an insignificant difference (Table 3 and Figure 5). Similarly the odds and probability of untreated tree dying decreases a lot (Table 3 and Figure 5). Only larger diameter trees greater than 15.24 cm dbh were girdled; smaller sized stems received hack n’ squirt.

5. Discussion

Triclopyr products have been deemed as safe for non-target stems due to a lack of persistence in soil. The use of triclopyr (acid formulation) in this study however, definitively resulted in unexpected mortality or damage to non-treated trees on each of the three replicated floodplain sites across South Carolina. One part of an explanation may involve active ingredient uptake from the soil via root absorption. This transference would occur within the rhizosphere immediately around fine roots. Plants release root exudates into the rhizosphere [15,16], which may include amounts of active ingredients or secondary by-products. Treating a greater number of stems was related to non-treated tree damage which could suggest that more herbicide would be released by deadened trees within the root zone. Logically, more applied herbicide distributed evenly around non-target stems should increase the potential for chemical exposure within the soil. Greater distribution of active ingredient around non-target stems would potentially increase exposure evenly around the entire root system promoting uptake at various points of contact.
Species susceptibility may also be a factor as results suggest both American sycamore (diffuse porous rings) and green ash (ring porous rings) have higher probabilities of experiencing damage. These species have differing functional groups which suggests that water use (vehicle for indirect uptake of herbicide) may not be a contributing factor. Both species have rapid rates of vertical growth (2+ feet per year) which may contribute to herbicide uptake. Sweetgum, which was also impacted by herbicide flashback, is also classified as having a fast rate of growth. Fine roots are the sites for water/nutrient uptake from soil. It can be theorized that a greater amount of fine roots or tips could lead to uptake of active ingredient as well. Nicotra et al. [17] found that root systems of fast-growing species had more root tips than slow-growing species. Comas et al. [18] indicated that fast-growing temperate hardwood species had greater specific root length and thinner diameters for both first- and second-order roots compared to slower growing species. Likewise, Comas and Eissenstat [19] found that faster growing temperate hardwood species had 27.9% greater specific root length and 13.4% greater abundance of root tips per length of root compared to slower growing species. The researchers suggest that faster-growing species can explore more soil volume which could enhance nutrient foraging. This ability may also pose detrimental as herbicide uptake could also be increased. Contrarily, hydric soil conditions may contribute to fine root biomass mortality creating a greater stress and reduced productivity. Baker et al. [20] found that 74% of total fine root biomass was restricted to the upper 15 cm of the soil surface in the Coosawhatchie River floodplain in east South Carolina. The presence of herbicide in this soil profile may exacerbate root death. Likewise, greater exposure to herbicide in the soil in this study may have attributed to the flashback rate in sycamore, green ash, and sweetgum. Connected or graphed root systems of treated with untreated trees may be another plausible explanation. The likelihood of treating individual stems that may have root graphs with the non-target trees may also become greater given more stems are treated.
Results may also suggest that low water table/poor soil drainage or soil composition (loams or silty clay loams) may correlate with uptake of herbicide in non-target trees in developing, naturally regenerated stands. Soils with lower clay content allow for larger herbicide movement [21] and can yield up to 66 percent nontarget mortality when imazapyr is used [1]. The Kochenderfer study [1] found 12-months after treatment that some damage to crop trees, within four feet of treated trees, was observed with glyphosate (65.2% solution of Accord®) but Garlon 3A (triclopyr amine) application did not produce any injurious effects. At a lower rate of glyphosate solution (20%), Wendel and Lamson [22] saw no deleterious effects on hardwood crop trees however. Triclopyr degradation half-life is low (138 days) in bottomland soils [23], thus potentially making it available for uptake within soil for a lengthy period. This extended half-life may be attributed to anaerobic and oxygen-limited environments which reduce decomposition by bacteria [24,25]. Thompson et al. [26] found triclopyr ester residue within a forest regeneration site were 5.5 times greater than those of glyphosate 14 days after application. They also suggest triclopyr ester may have a longer time till 50% dissipation in mineral soil (up to 69 days) compared to glyphosate (10±3 days). Likewise, triclopyr amine salt (found in Garlon 3A) has persisted in soil up to a year after treatment on silt clay loam soils [27]. Graziano et al. [5] found a limited amount of non-target chokecherry damage associated with triclopyr treatments (only 5% of treatments) found in soil residue, where as, aminopyralid (residual soil active herbicide) was found in 57% of field treatments. The study also stated that non-treatment soils had greater plant dry mass compared to soils with herbicide treated trees. Triclopyr may more readily leave above ground stem tissue than other herbicides. A study by Bovey et al. [28] found that less triclopyr (<2 ppm) was present in honey mesquite compared to picloram or clopyralid (11 and 22 ppm, respectively) three days after application. Previous results in various soil types are conflicting on the impact of triclopyr though findings from this study suggest triclopyr acid will have deleterious effects in somewhat poorly drained soil types.
A second possibility that may strongly correlate with the severity of herbicide flashback is stand age. Rainer et al. (2016) [4] evaluated the non-target stem response to an imazapyr herbicide application in mature hardwood stands and found minimal negligible impact. Contrarily, Kochenderfer et al. (2001) [1] evidenced some non-target damage on sites ranging in age from 20–33 years. Our study had three replicates each in juvenile stands less than 20 years of age at the time of herbicide application. Statistical results in this study suggest that the probability of mortality/damage decreases as tree diameter increases. The trees within the three study sites all developed from previous silvicultural clearcutting which felled all standing stems. Our research observations indicate that though stands may be less than 20 years of age, those larger dominant crowned, individual stems are more tolerant to herbicide exposure in the rhizosphere. The replicated sites in this study experienced more damage than previous research on herbicide flashback in older bottomland and upland hardwood stands. Natural stand development over time will allow for more trees to reach larger diameter classes (larger root systems also) enabling greater photosynthesis/energy allocation to be devoted to defense mechanisms. Some affected trees that were partially damaged or experienced top-kill experienced epicormic branching along the bole or resprouted (coppicing) from root collar adventitious buds. Tree vigor may be higher with younger trees occupying codominant crown positions which promoted the resilient survival response of epicormic branching. Basal sprouting did occur on a lesser percentage of treated trees but data was not recorded on these individuals.

6. Management Implications

One of the primary objectives of this study initially was to deaden enough canopy to simulate shelterwood/2-aged management conditions in a juvenile stand comprised of primarily less desirable species. The increased sunlight environment would support growth of underplanted oak seedlings which are hypothesized to eventually alter the stand composition. Ultimately, future finding may support silvicultural ways to modify species composition within young stands utilizing overstory deadening via herbicide. Forest managers may have the necessity to apply herbicides when commercial markets are not available for pulpwood sized materials or for other timber stand improvement practices such as crop tree release.
Herbicide flashback findings from this study should be considered to avoid unwanted damage to preferred trees in chemical applications intending to deaden a select portion of standing stems. In the case of bottomland oak enrichment or underplanting, excessive sunlight penetration due to a reduction of non-targeted residual overstory canopy could promote woody competition with artificial regeneration. Similarly, timber stand improvement using herbicides in young, bottomland hardwood stands could have unintended consequences. Some suggested practical guidelines based on observations from this study may reduce negative impacts in such situations. Derived recommendations include 1) selecting the larger, more dominant trees to serve as crop or “leave” trees; 2) use a non-soil active herbicide with faster biodegradation rates (such as glyphosate) applied as cut stem treatments in juvenile-aged stands; 3) cut stem treatments are preferred over basal bark applications to reduce the amount of active ingredient applied onsite; 4) rely on ring girdling techniques, without herbicide, on larger diameter trees; and 5) stagger herbicide treatment applications over time (perhaps a month or more between entries) or limit the amount of targeted stems to reduce exposure to higher amounts of active ingredient. A reduction in the amount of active ingredient in solution (10% or more pending herbicide used) may also provide acceptable control of targeted plants while minimizing flashback. Adherence to these recommendations should minimize non-target loss within younger bottomland hardwood stands. The judicious use of herbicides in young stands is encouraged as chemical control can free crop trees from competition for longer durations [22].

7. Conclusion

Herbicide treatments have been applied in forested stands for decades to improve crop tree survival and improve species composition. Non-target overstory tree impact has been neglible in mature hardwood stands even with the use of soil active imazapyr [4]. Observations from this study however suggest that even the use of triclopyr acid formulation (no residual soil activity) in developing juvenile bottomland hardwoods can have detrimental effects to residual trees. American sycamore (Platanus occidentalis), green ash (Fraxinus pennsylvanica), and sweetgum (Liquidambar styraciflua) are species with more rapid rates of growth and are likely more susceptible to herbicide damage. Likewise, smaller diameter residual trees and residual trees with a greater number of surrounding treated trees are more prone to be harmed following chemical treatment. Possible solutions to offset deleterious effects may be to reduce the amount of active ingredient applied or eliminate herbicide use in pre-merchantable or poletimber sized bottomland hardwoods.
Figure 6. Pictures depicting loss of residual trees from herbicide flashback (top) and crown dieback/epicormic branch development on upper bole/lower canopy (bottom).
Figure 6. Pictures depicting loss of residual trees from herbicide flashback (top) and crown dieback/epicormic branch development on upper bole/lower canopy (bottom).
Preprints 108486 g006
Figure 7. Pictures depicting loss of residual trees from herbicide flashback (top) and crown dieback/epicormic branch development on upper bole/lower canopy (bottom).
Figure 7. Pictures depicting loss of residual trees from herbicide flashback (top) and crown dieback/epicormic branch development on upper bole/lower canopy (bottom).
Preprints 108486 g007
Figure 8. Bottomland oak underplanting beneath the partially deadened overstory.
Figure 8. Bottomland oak underplanting beneath the partially deadened overstory.
Preprints 108486 g008
Figure 9. Distribution of bottomland sites in South Carolina.
Figure 9. Distribution of bottomland sites in South Carolina.
Preprints 108486 g009

References

  1. Kochenderfer, J., Zedaker, S., Johnson, J., Smith, D., Miller, G. 2001. Herbicide hardwood crop tree release in central West Virginia. Northern Journal of Applied Forestry. 18(2):46-54.
  2. Rathfon, R., Saunders, M., Stump, D. 2009. Forest improvement handbook. Purdue University Extension Handbook FNR-IDNR-414. 28 P. FNR-IDNR-414-W.pdf (purdue.edu).
  3. Eck, W. 2005. Investigating treatment windows for effective and environmentally sound herbicide applications for controlling tree-of-heaven. Graduate Theses, Dissertations, and problem reports. 4145. https://researchrepository.wvu.edu/etd/4145.
  4. Rainer, J. , Alkire, D., Self, A., Ezell, A., Demarais, S., Strickland, B. 2016. Efficacy and nontarget impact of midstory injection in bottomland hardwoods. Proceedings of the 18th Central Hardwoods Forest Conference. GTR-NRS-P-117.Pp. 404-410.
  5. Graziano, G. , Tomco, P., Seefeldt, S., Mulder, C., Redman, Z. 2022. Herbicides in upexpected places: non-target impacts from tree root exudation of aminopyralid and triclopyr following basal bark treatments of invasive chokecherry (Prunus padus) in Alaska. Weed Science. 70(6):706-714.
  6. Turner, M. , Gulsby, W., Harper, C. 2020. Mixture of triclopyr and imazapyr more effective than triclopyr alone for hardwood forest stand improvement. Forest Science 67(1):43-48. [CrossRef]
  7. Rathfon, R. , Saunder, M., 2013. Midstory hardwood species respond differently to chainsaw girdle method and herbicide treatment. Proceedings of the 18th Central Hardwoods Forest Conference. US Department of Agriculture, Forest Service, Northern Research Station. Gen. Tech. Rep. GRT-NRS-P-117. Pp. 411-419. https://www.nrs.fs.usda.gov/pubs/gtr/gtr_nrs-p-117.pdf.
  8. [EPA] Environmental Protection Agency (1998). Reregistration Eligibility Decision Document: Triclopyr. Washington, DC: U.S. Government Printing Office. Pp 3-58.
  9. Shaner, D. , ed (2014). Herbicide Handbook. 10th edition. Lawrence, KS: Weed Science Society of America. 513 p.
  10. [WSSA] Weed Science Society of America. 2002. Herbicide Handbook, 8th Edition. Lawrence, KS. 493 pp.
  11. Bidlack, H. , Laskowski, F., Swann, R., Comeaux, L. and Jefferies, T. 1977. Comparison of the degradation rates and decomposition products of 14C-Triclopyr in aerobic and waterlogged soil. GH-C 919. Dow AgroSciences, Indianapolis, IN.
  12. Pusino, A. , Weiping, L., and Gessa, C. 1994. Adsorption of triclopyr on soil and some of its components. Journal of Agricultural Food Chemistry. 42: 1026-1029.
  13. Calcagno V, and de Mazancourt, C. 2010. Glmulti : an R package for easy automated model selection with (generalized) linear models. Journal of Statistical Software 34(12): 1-29.
  14. R Core Team (2023). R: A language and environment for statistical computing. R Foundation for Statistical Computing, Vienna, Austria. https://www.R-project.org/.
  15. Walker, T. , Bais, H., Grotewold, E., Vivanco, J. 2003. Root exudation and rhizosphere biology. Plant physiology. 132(1):44-51. [CrossRef]
  16. Bais, H. Weir, T., Perry, L., Gilroy, S., Vivanco, J. 2006. The role of root exudates in rhizosphere interactions with plants and other organisms. Annual Review of Plant Biology. 57:233-266. [CrossRef]
  17. Nicotra, A. , Babicka, N., Westoby, M. 2002. Seedling root anatomy and morphology: an examination of ecological differentiation with rainfall using phylogenetically independent contrasts. Oecologia 130: 136-145.
  18. Comas, L. , Bouma, T., Eissenstat, D. 2002. Linking root traits to potential growth rate in six temperate tree species. Oecologia 132: 34-43.
  19. Comas, L. and D. Eissenstat. 2004. Linking fine root traits to maximum potential growth rate among 11 mature temperate tree species. Functional Ecology 18: 388-397.
  20. Baker III, T. , Connor, W., Lockaby, B., Stanturf, J., Burke, M. 2001. Fine root productivity and dynamics on a forested floodplain in South Carolina. Soil Science Society of America 66(2): 545-556.
  21. Anderson, W. 1996. Weed science: Principles and applications. West Publishing Company, St. Paul, MN.
  22. Wendel, G. and Lamson,N. 1987. Effects of herbicide release on the growth of 8 to 12 year-old hardwood crop trees. USDA Forest Service Research Paper 598. 4p.
  23. Johnson, W. , Lavy, T., Gbur, E. 1995. Sorption, mobility and degradation of triclopyr and 2,4-D on four soils. Weed Science 43(4): 678-684. [CrossRef]
  24. Ponnamperuma, F.N. 1972. The chemistry of submerged soils. Advanced Agronomy 24:29-96.
  25. Craft, C.B. 2000. Biology of wetland soils. Chapter 5 in Wetland Soils – Genesis, Hydrology, Landscapes, and Classification. CRC Press Taylor & Francis Group. Eds. Richardson, J.L. and Vepraskas, M.J. Boca Raton, FL. 408 Pp.
  26. Thompson, D. , Pitt, D., Buscarini, T., Staznik, B., Thomas, D. 2000. Comparative fate of glyphosate and triclopyr herbicides in the forest floor and mineral soil of an Acadian forest regeneration site. Canadian Journal of Forest Research. 30(11): 1808-1816. [CrossRef]
  27. Norris, L. , Montgomery, M., Warren, L. 1987. Triclopyr persistence in western Oregon hill pastures. Bulletin of Environmental Contamination and Toxicology. 39:134-141.
  28. Bovey, R. , Hein, H. Jr., Meyer, R. 1986. Concentration of 2,4,5-T, triclopyr, picloram and clopyralid in honey mesquite (Prosopis glandulosa) stems. Weed Science 34:211-217.
Figure 1. The proportion of leave trees affected by herbicide (either dead or partially affected) across all sites. The numbers inside the bars are the total number of trees sampled. Only two species, with a higher number of sampled trees, had more than 50% partially affected and dead trees. Box Elder and Yellow-Poplar had one individual, and Hickory and Pecan had two individuals and were not affected.
Figure 1. The proportion of leave trees affected by herbicide (either dead or partially affected) across all sites. The numbers inside the bars are the total number of trees sampled. Only two species, with a higher number of sampled trees, had more than 50% partially affected and dead trees. Box Elder and Yellow-Poplar had one individual, and Hickory and Pecan had two individuals and were not affected.
Preprints 108486 g001
Figure 2. Comparison of dead or partially affected (1) and alive (0) trees against different variables. (LDiam) Diameter of leave trees, the number of treated trees around leave trees (NumTreated), , mean diameter of adjacent treated trees (MADBH), average amount of herbicide used on the adjacent tree (MAHamount)and the number of hacked (NHack) or girdled (NGirdle) adjacent trees.
Figure 2. Comparison of dead or partially affected (1) and alive (0) trees against different variables. (LDiam) Diameter of leave trees, the number of treated trees around leave trees (NumTreated), , mean diameter of adjacent treated trees (MADBH), average amount of herbicide used on the adjacent tree (MAHamount)and the number of hacked (NHack) or girdled (NGirdle) adjacent trees.
Preprints 108486 g002
Figure 3. Predicted probability of leave trees being dead or partially affected by herbicide (Dpoal) against independent variables from the mixed effect logistic model. LDiam (Diameter of the leave tree), MADBH (Mean diameter of adjacent treated trees), NumTreated (Number of treated trees both hacked and girdled), NHack (Number of trees hack and squirt treated). Points in the figure are original data points showing dead or partially affected (1) and alive (0) trees.
Figure 3. Predicted probability of leave trees being dead or partially affected by herbicide (Dpoal) against independent variables from the mixed effect logistic model. LDiam (Diameter of the leave tree), MADBH (Mean diameter of adjacent treated trees), NumTreated (Number of treated trees both hacked and girdled), NHack (Number of trees hack and squirt treated). Points in the figure are original data points showing dead or partially affected (1) and alive (0) trees.
Preprints 108486 g003
Figure 4. Proportion of trees that are dead and affected by herbicide applications around leave trees. The numbers in the bar are the total number of individuals treated.
Figure 4. Proportion of trees that are dead and affected by herbicide applications around leave trees. The numbers in the bar are the total number of individuals treated.
Preprints 108486 g004
Figure 5. Predicted probability of treated trees being dead or partially affected by the herbicide application from the mixed effect logistic model plotted against treatment methods (Girdle, Hack and Squirt, and Untreated). Red dots and lines are the predicted probabilities with confidence intervals, and black dots are the raw data (Alive = 0 and Dead or partially affected =1).
Figure 5. Predicted probability of treated trees being dead or partially affected by the herbicide application from the mixed effect logistic model plotted against treatment methods (Girdle, Hack and Squirt, and Untreated). Red dots and lines are the predicted probabilities with confidence intervals, and black dots are the raw data (Alive = 0 and Dead or partially affected =1).
Preprints 108486 g005
Table 1. Basal areas for live/partially damaged/dead residual trees and average diameter at breast height for the three research sites.
Table 1. Basal areas for live/partially damaged/dead residual trees and average diameter at breast height for the three research sites.
Site Live Residual Tree Basal Area (m² per hectare) Partial Residual Tree Basal Area
( m2 per hectare)
Dead Residual Tree Basal Area ( m2 per hectare) Total Residual Tree Basal Area ( m2 per hectare) Residual Tree Avg. DBH ( cm)
Draper WMA 6.18 0.13 1.37 7.68 25.83
Manchester SF 2.44 1.93 1.71 6.08 19.96
Webb WMA 6.15 1.86 0 8.01 27.74
Table 2. Factors, along with their parameter estimates from logistic regression, affecting whether a target/leave tree is dead or partially affected (1) versus alive (0) after herbicide application of adjacent trees around it.
Table 2. Factors, along with their parameter estimates from logistic regression, affecting whether a target/leave tree is dead or partially affected (1) versus alive (0) after herbicide application of adjacent trees around it.
Parameter Log odds (estimate) Standard error Odds ratio (OR) OR 95% CI P value
Intercept 4.79 1.90 120.33 2.90, 4964.62 0.01
LDiam -0.27 -0.49 0.76 0.61, 0.95 0.02
NumTreated 0.26 0.09 1.30 1.09, 1.56 0.003
MADBH -1.29 0.43 0.27 0.12, 0.64 0.003
NHack -0.14 0.06 0.87 0.76, 0.98 0.029
Note: (LDiam) Diameter of leave trees, (NumTreated) the number of treated trees around leave trees, (MADBH) mean diameter of adjacent treated trees, and (NHack) the number of hacked or girdled (NGirdle) adjacent trees.
Table 3. Parameter estimates from a logistic regression explaining whether a treated tree is dead or partially affected (1) or alive.
Table 3. Parameter estimates from a logistic regression explaining whether a treated tree is dead or partially affected (1) or alive.
Parameter Log odds (estimate) Standard error Odds ratio (OR) OR 95% CI P value
Intercept 3.98 0.66 53.58 14.78, 194.23 <0.001
AtreatmentHack 0.55 0.44 1.74 0.73, 4.14 0.211
AtreatmentUntreated -6.92 0.68 0.0009 0.0002, 0.0037 <0.0001
Note: AtreatmentHack (hacked and squirt herbicide treatment) and AtreatmentUntreated (Untreated).
Disclaimer/Publisher’s Note: The statements, opinions and data contained in all publications are solely those of the individual author(s) and contributor(s) and not of MDPI and/or the editor(s). MDPI and/or the editor(s) disclaim responsibility for any injury to people or property resulting from any ideas, methods, instructions or products referred to in the content.
Copyright: This open access article is published under a Creative Commons CC BY 4.0 license, which permit the free download, distribution, and reuse, provided that the author and preprint are cited in any reuse.
Prerpints.org logo

Preprints.org is a free preprint server supported by MDPI in Basel, Switzerland.

Subscribe

Disclaimer

Terms of Use

Privacy Policy

Privacy Settings

© 2026 MDPI (Basel, Switzerland) unless otherwise stated