Submitted:
04 June 2024
Posted:
06 June 2024
You are already at the latest version
Abstract
Keywords:
1. Introduction
- 1)
- Explore the relationship between R3HTA-AP measurements data and children’s ages and upper extremity size.
- 2)
- Evaluate the validity of R3HTA-AP by correlating its kinematic measurements with clinical assessments.
2. Study #1: Explore the relationship between R3HTA-AP measurements data and children’s ages and upper extremity size.
2.1. Materials and Methods
2.1.1. Study Participants
2.1.2. Study Protocol
2.1.3. Data collection
2.1.3.1. Demographic Data
2.1.3.2. R3THA Assessment
| R3THA-AP Subtest Items | Descriptions |
|---|---|
| Hand Open/Close Range (cm) | The participant fully opens and then fully closes their hand. The Hand Open Range value is calculated by measuring the difference in the average distance between the fingertips and the center of the palm across all four fingers in these two positions. A larger value indicates a greater hand opening range. |
| Hand Open/Close Trace Error Rate (%) | The participant controls a cursor that moves up and down by opening and closing their hand. The participant attempts to trace an irregular wave which moves on the screen from left to right at a constant speed. Accuracy is calculated as the root mean square error between the cursor position and the corresponding target point on the wave. Root mean square error is calculated to quantify the differences in cued movement and actual participant movement (smaller error = better performance). The smaller the value, the better control of hand opening. |
| Wrist Extension/Flexion Range (deg) | The participant extends and flexes their wrist against gravity with their forearm in a fixed position. Angular difference between these two positions is reported as the wrist pitch range. |
| Wrist Extension/Flexion Trace Error Rate (%) | The participant controls a cursor that moves up and down by flexing and extending their wrist. Task and accuracy values are calculated. |
| Pronation/Supination Range (deg) | The participant moves and holds their hand in pronation and supination with their elbow fixed. Range is calculated. |
| Pronation/Supination Trace Error Rate (%) | The participant controls a cursor that moves up and down by pronating and supinating their hand. Task and accuracy calculations were performed. |
2.1.4. Statistical Analysis
2.2. Results
2.2.1. Participants
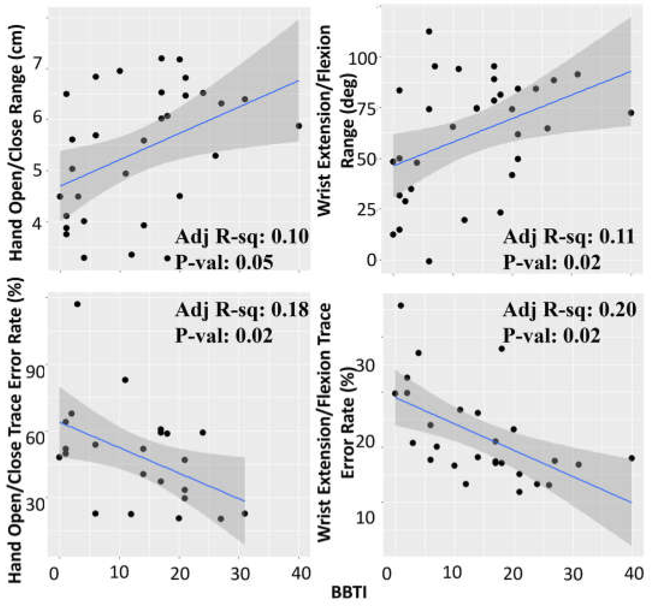
2.2.2. Data Validation Analysis
3. Study #2: Evaluate the validity of R3HTA-AP by correlating its kinematic measurements with clinical assessments.
3.1. Materials and Methods
3.1.1. Study Participants
3.1.2. Study Protocol
3.1.3. Data Collection
3.1.3.1. Demographic Data
3.1.3.2. Clinical Assessments
2.3.3. R3THA Assessment
2.4. Statistical Analysis
3.2. Results
3.2.1. Participants
3.2.1.1. Correlation Between Box and Blocks Test and R3THA-AP
3.2.1. Correlation Analysis
3.2.1.2. Correlation Between MA2-ROM and R3THA-AP
3.2.1.3. R3THA-AP with MA2-Accuracy and MA2-Dexterity
4. Discussion
5. Conclusions
6. Patent
Author Contributions
Institutional Review Board Statement
Informed Consent Statement
Data Availability Statement
Acknowledgments
Conflicts of Interest
References
- Pasquale, J. Accardo MD. Capute and Accardo's neurodevelopmental disabilities in infancy and childhood2008.
- Durkin MS, Benedict RE, Christensen D, Dubois LA, Fitzgerald RT, Kirby RS, Maenner MJ, Van Naarden Braun K, Wingate MS, Yeargin-Allsopp M. Prevalence of Cerebral Palsy among 8-Year-Old Children in 2010 and Preliminary Evidence of Trends in Its Relationship to Low Birthweight. Paediatr Perinat Epidemiol. 2016;30(5):496-510. Epub 20160523. [CrossRef] [PubMed]
- Blair, E. Epidemiology of the cerebral palsies. Orthop Clin North Am. 2010;41(4):441-55. hPubMed ttps://doi.org/10.1016/j.ocl.2010.06.004. [PubMed]
- Plasschaert VFP, Vriezekolk JE, Aarts PBM, Geurts ACH, Van den Ende CHM. Interventions to improve upper limb function for children with bilateral cerebral palsy: a systematic review. Dev Med Child Neurol. 2019;61(8):899-907. Epub 20190110. [CrossRef] [PubMed]
- Dostie R, Gaboury I, Cinar E, Camden C. Acceptability of pediatric telerehabilitation interventions provided by physical therapists and occupational therapists—A scoping review. Physical & Occupational Therapy In Pediatrics. 2022;42(6):615-34. [CrossRef]
- Meyns P, Roman de Mettelinge T, van der Spank J, Coussens M, Van Waelvelde H. Motivation in pediatric motor rehabilitation: A systematic search of the literature using the self-determination theory as a conceptual framework. Developmental neurorehabilitation. 2018;21(6):371-90.
- Randall M, Johnson L, Reddihough D. The melbourne assessment 2. Melbourne: Royal Children’s Hospital. 1999.
- Jongbloed-Pereboom M, Nijhuis-van der Sanden MW, Steenbergen B. Norm scores of the box and block test for children ages 3–10 years. The American Journal of Occupational Therapy. 2013;67(3):312-8. [CrossRef]
- Krumlinde-Sundholm L, Eliasson A-C. Development of the Assisting Hand Assessment: a Rasch-built measure intended for children with unilateral upper limb impairments. Scandinavian Journal of Occupational Therapy. 2003;10(1):16-26. [CrossRef]
- Araneda R, Ebner-Karestinos D, Paradis J, Saussez G, Friel KM, Gordon AM, Bleyenheuft Y. Reliability and responsiveness of the Jebsen-Taylor Test of Hand Function and the Box and Block Test for children with cerebral palsy. Developmental Medicine & child neurology. 2019;61(10):1182-8. [CrossRef]
- Tarakci E, Arman N, Tarakci D, Kasapcopur O. Leap Motion Controller-based training for upper extremity rehabilitation in children and adolescents with physical disabilities: A randomized controlled trial. J Hand Ther. 2020;33(2):220-8 e1. Epub 20190419. [CrossRef] [PubMed]
- Avcil E, Tarakci D, Arman N, Tarakci E. Upper extremity rehabilitation using video games in cerebral palsy: a randomized clinical trial. Acta Neurol Belg. 2021;121(4):1053-60. Epub 20200611. [CrossRef] [PubMed]
- de Oliveira JM, Fernandes RC, Pinto CS, Pinheiro PR, Ribeiro S, de Albuquerque VH. Novel Virtual Environment for Alternative Treatment of Children with Cerebral Palsy. Comput Intell Neurosci. 2016;2016:8984379. Epub 20160614. [CrossRef] [PubMed]
- Chan A, Halevi T, Memon N, editors. Leap motion controller for authentication via hand geometry and gestures. Human Aspects of Information Security, Privacy, and Trust: Third International Conference, HAS 2015, Held as Part of HCI International 2015, Los Angeles, CA, USA, August 2-7, 2015 Proceedings 3; 2015: Springer.
- Laufer Y, Weiss PTL. Virtual reality in the assessment and treatment of children with motor impairment: a systematic review. Journal of Physical Therapy Education. 2011;25(1):59-71. [CrossRef]
- Abtahi P, Hough SQ, Landay JA, Follmer S, editors. Beyond being real: A sensorimotor control perspective on interactions in virtual reality. Proceedings of the 2022 CHI Conference on Human Factors in Computing Systems; 2022.
- Qiu Q, Cronce A, Fluet G, Patel J, Merians A, Adamovich S. Home-based virtual rehabilitation for upper extremity functional recovery post-stroke. Journal of Alternative Medicine Research, suppl Special Issue: Innovations and challenges in the use of virtual reality technologies for rehabilitation. 2018;10(1):27-35. [PubMed]
- Qiu Q, Cronce A, Patel J, Fluet GG, Mont AJ, Merians AS, Adamovich SV. Development of the Home based Virtual Rehabilitation System (HoVRS) to remotely deliver an intense and customized upper extremity training. J Neuroeng Rehabil. 2020;17(1):155. Epub 20201123. [CrossRef] [PubMed]
- MontJohnson A, Cronce A, Qiu Q, Patel J, Eriksson M, Merians A, Adamovich S, Fluet G. Laboratory-Based Examination of the Reliability and Validity of Kinematic Measures of Wrist and Finger Function Collected by a Telerehabilitation System in Persons with Chronic Stroke. Sensors (Basel). 2023;23(5). Epub 20230228. [CrossRef] [PubMed]
- Fluet G, Qiu Q, Patel J, Mont A, Cronce A, Yarossi M, Merians A, Adamovich S. Virtual Rehabilitation of the Paretic Hand and Arm in Persons With Stroke: Translation From Laboratory to Rehabilitation Centers and the Patient's Home. Front Neurol. 2021;12:623261. Epub 20210128. [CrossRef] [PubMed]
- Fluet GG, Qiu Q, Patel J, Cronce A, Merians AS, Adamovich SV. Autonomous Use of the Home Virtual Rehabilitation System: A Feasibility and Pilot Study. Games Health J. 2019;8(6):432-8. [CrossRef] [PubMed]
- Bourke-Taylor, H. Melbourne Assessment of Unilateral Upper Limb Function: construct validity and correlation with the Pediatric Evaluation of Disability Inventory. Dev Med Child Neurol. 2003;45(2):92-6. [CrossRef] [PubMed]
- Jongbloed-Pereboom M, Nijhuis-van der Sanden MW, Steenbergen B. Norm scores of the box and block test for children ages 3-10 years. Am J Occup Ther. 2013;67(3):312-8. [CrossRef] [PubMed]
- Mathiowetz V, Volland G, Kashman N, Weber K. Adult norms for the Box and Block Test of manual dexterity. Am J Occup Ther. 1985;39(6):386-91. [CrossRef] [PubMed]
- Chan A, Halevi T, Memon N, editors. Leap Motion Controller for Authentication via Hand Geometry and Gestures. Human Aspects of Information Security, Privacy, and Trust; 2015 2015//; Cham: Springer International Publishing.
- Martinie O, Mercier C, Gordon AM, Robert MT. Upper Limb Motor Planning in Individuals with Cerebral Palsy Aged between 3 and 21 Years Old: A Systematic Review. Brain Sci. 2021;11(7). Epub 20210712. [CrossRef] [PubMed]
- Middle Childhood (6-8 years of age). National Center on Birth Defects and Developmental Disabilities, Centers for Disease Control and Prevention: https://www.cdc.gov/ncbddd/childdevelopment/positiveparenting/middle.html; 2021.
- Smeragliuolo AH, Hill NJ, Disla L, Putrino D. Validation of the Leap Motion Controller using markered motion capture technology. J Biomech. 2016;49(9):1742-50. Epub 20160408. [CrossRef] [PubMed]
- Choi JY, Rha DW, Kim SA, Park ES. The Dynamic Thumb-in-Palm Pattern in Children with Spastic Cerebral Palsy and Its Effects on Upper Limb Function. Children (Basel). 2020;8(1). Epub 20201231. [CrossRef] [PubMed]
- Francisco-Martinez C, Prado-Olivarez J, Padilla-Medina JA, Diaz-Carmona J, Perez-Pinal FJ, Barranco-Gutierrez AI, Martinez-Nolasco JJ. Upper limb movement measurement systems for cerebral palsy: a systematic literature review. Sensors. 2021;21(23):7884. [CrossRef]
- Tung JY, Lulic T, Gonzalez DA, Tran J, Dickerson CR, Roy EA. Evaluation of a portable markerless finger position capture device: accuracy of the Leap Motion controller in healthy adults. Physiological measurement. 2015;36(5):1025. [CrossRef]
- Vysocký A, Grushko S, Oščádal P, Kot T, Babjak J, Jánoš R, Sukop M, Bobovský Z. Analysis of precision and stability of hand tracking with leap motion sensor. Sensors. 2020;20(15):4088. [CrossRef]
- Guna J, Jakus G, Pogačnik M, Tomažič S, Sodnik J. An analysis of the precision and reliability of the leap motion sensor and its suitability for static and dynamic tracking. Sensors. 2014;14(2):3702-20. [CrossRef]





| Mean (SD) | |
| Age | 9.28 (4.4) |
| Gender | 15 Females / 21 Males |
| Hemiplegia side | 17 left / 19 right |
| Upper extremity size (inches) | 13.22 (2.53) |
Disclaimer/Publisher’s Note: The statements, opinions and data contained in all publications are solely those of the individual author(s) and contributor(s) and not of MDPI and/or the editor(s). MDPI and/or the editor(s) disclaim responsibility for any injury to people or property resulting from any ideas, methods, instructions or products referred to in the content. |
© 2024 by the authors. Licensee MDPI, Basel, Switzerland. This article is an open access article distributed under the terms and conditions of the Creative Commons Attribution (CC BY) license (http://creativecommons.org/licenses/by/4.0/).