Submitted:
04 June 2024
Posted:
05 June 2024
You are already at the latest version
Abstract
Keywords:
1. Introduction
2. Materials and Methods
2.1. Chemicals
2.2. Methods
2.3. Characterization
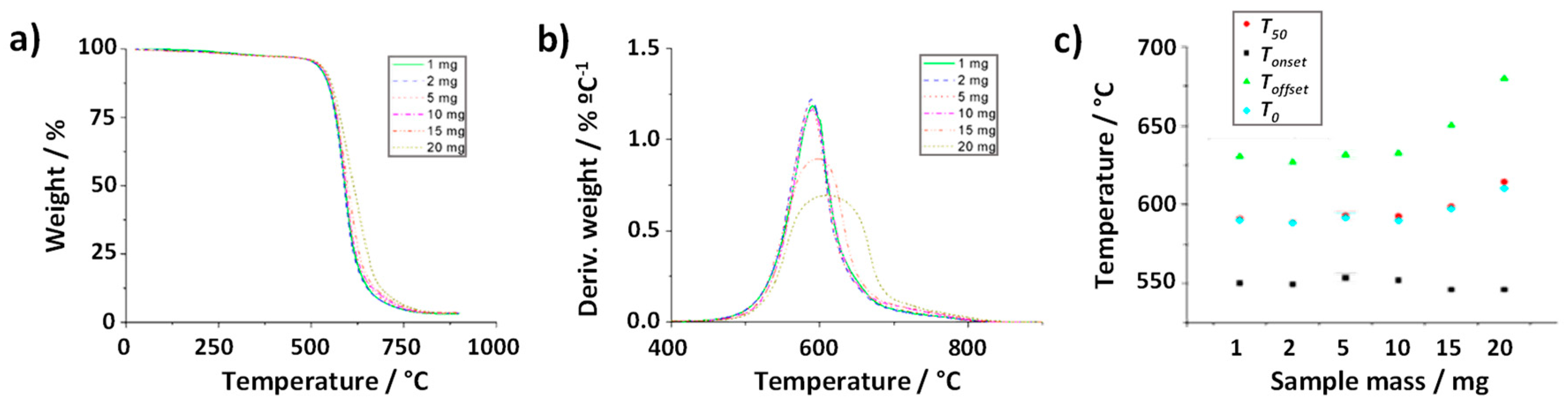
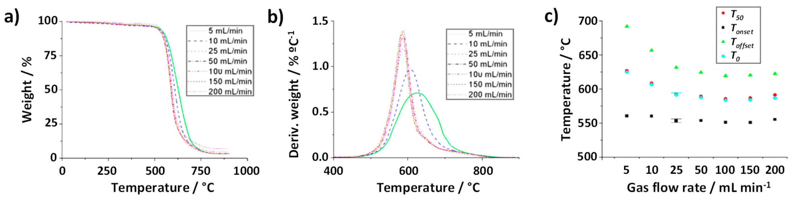
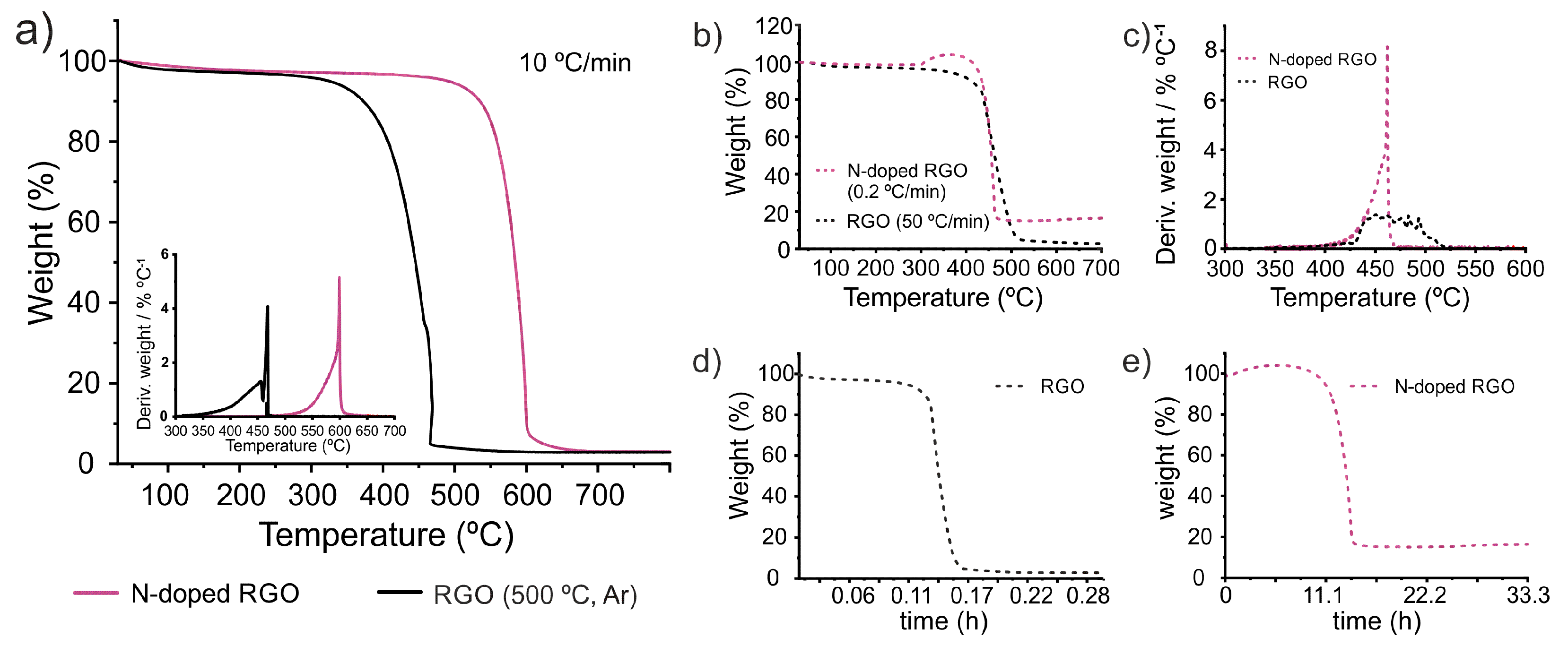
3. Results and discussion
4. Conclusions
Author Contributions
Funding
Acknowledgments
Conflicts of Interest
References
- Iijima, S. Helical Microtubules of Graphitic Carbon. Nature 1991, 354, 56–58. [Google Scholar] [CrossRef]
- Iijima, S.; Ichihashi, T. Single-Shell Carbon Nanotubes of 1-Nm Diameter. Nature 1993, 363, 603–605. [Google Scholar] [CrossRef]
- Novoselov, K.S.; Geim, A.K.; Morozov, S. V; Jiang, D.; Zhang, Y.; Dubonos, S. V; Grigorieva, I. V; Firsov, A.A. Electric Field Effect in Atomically Thin Carbon Films. Science (1979) 2004, 306, 666–669. [Google Scholar] [CrossRef] [PubMed]
- Hou, P.-X.; Liu, C.; Cheng, H.-M. Purification of Carbon Nanotubes. Carbon N Y 2008, 46, 2003–2025. [Google Scholar] [CrossRef]
- Banhart, F.; Kotakoski, J.; Krasheninnikov, A. V Structural Defects in Graphene. ACS Nano 2011, 5, 26–41. [Google Scholar] [CrossRef]
- Zhang, X.; Chen, H.; Qiao, D.; Yang, M. Effects of Structure Defects on Thermal Transport at the Graphene–Water Interface. Adv Mater Interfaces 2023, 10, 2202518. [Google Scholar] [CrossRef]
- Ferrer-Ugalde, A.; Sandoval, S.; Pulagam, K.R.; Muñoz-Juan, A.; Laromaine, A.; Llop, J.; Tobias, G.; Núñez, R. Radiolabeled Cobaltabis(Dicarbollide) Anion–Graphene Oxide Nanocomposites for In Vivo Bioimaging and Boron Delivery. ACS Appl Nano Mater 2021, 4, 1613–1625. [Google Scholar] [CrossRef]
- Guo, Z.; Chakraborty, S.; Monikh, F.A.; Varsou, D.-D.; Chetwynd, A.J.; Afantitis, A.; Lynch, I.; Zhang, P. Surface Functionalization of Graphene-Based Materials: Biological Behavior, Toxicology, and Safe-By-Design Aspects. Adv Biol 2021, 5, 2100637. [Google Scholar] [CrossRef] [PubMed]
- Xiao, Y.; Pang, Y.X.; Yan, Y.; Qian, P.; Zhao, H.; Manickam, S.; Wu, T.; Pang, C.H. Synthesis and Functionalization of Graphene Materials for Biomedical Applications: Recent Advances, Challenges, and Perspectives. Advanced Science 2023, 10, 2205292. [Google Scholar] [CrossRef]
- Liu, H.; Liu, Y.; Zhu, D. Chemical Doping of Graphene. J Mater Chem 2011, 21, 3335–3345. [Google Scholar] [CrossRef]
- Singh, A.K.; Singh, R.S.; Singh, A.K. Recent Developments in Chemical Doping of Graphene Using Experimental Approaches and Its Applications. Adv Eng Mater 2022, 24, 2200259. [Google Scholar] [CrossRef]
- He, H.; Kim, K.H.; Danilov, A.; Montemurro, D.; Yu, L.; Park, Y.W.; Lombardi, F.; Bauch, T.; Moth-Poulsen, K.; Iakimov, T.; et al. Uniform Doping of Graphene Close to the Dirac Point by Polymer-Assisted Assembly of Molecular Dopants. Nat Commun 2018, 9, 3956. [Google Scholar] [CrossRef]
- Poudel, Y.R.; Li, W. Synthesis, Properties, and Applications of Carbon Nanotubes Filled with Foreign Materials: A Review. Materials Today Physics 2018, 7, 7–34. [Google Scholar] [CrossRef]
- Georgakilas, V.; Gournis, D.; Tzitzios, V.; Pasquato, L.; Guldi, D.M.; Prato, M. Decorating Carbon Nanotubes with Metal or Semiconductor Nanoparticles. J Mater Chem 2007, 17, 2679–2694. [Google Scholar] [CrossRef]
- Dubey, R.; Dutta, D.; Sarkar, A.; Chattopadhyay, P. Functionalized Carbon Nanotubes: Synthesis, Properties and Applications in Water Purification, Drug Delivery, and Material and Biomedical Sciences. Nanoscale Adv 2021, 3, 5722–5744. [Google Scholar] [CrossRef]
- Kadam, S.A.; Sandoval, S.; Bastl, Z.; Simkovičová, K.; Kvítek, L.; Jašík, J.; Olszówka, J.E.; Valtera, S.; Vaidulych, M.; Morávková, J.; et al. Cyclohexane Oxidative Dehydrogenation on Graphene-Oxide-Supported Cobalt Ferrite Nanohybrids: Effect of Dynamic Nature of Active Sites on Reaction Selectivity. ACS Catal 2023, 13, 13484–13505. [Google Scholar] [CrossRef]
- Rho, Y.; Lee, K.; Wang, L.; Ko, C.; Chen, Y.; Ci, P.; Pei, J.; Zettl, A.; Wu, J.; Grigoropoulos, C.P. A Laser-Assisted Chlorination Process for Reversible Writing of Doping Patterns in Graphene. Nat Electron 2022, 5, 505–510. [Google Scholar] [CrossRef]
- Wang, J.T.-W.; Klippstein, R.; Martincic, M.; Pach, E.; Feldman, R.; Šefl, M.; Michel, Y.; Asker, D.; Sosabowski, J.K.; Kalbac, M.; et al. Neutron Activated 153Sm Sealed in Carbon Nanocapsules for in Vivo Imaging and Tumor Radiotherapy. ACS Nano 2020, 14, 129–141. [Google Scholar] [CrossRef]
- Boshir Ahmed, M.; Alom, J.; Hasan, Md.S.; Asaduzzaman, Md.; Rahman, Md.S.; Hossen, R.; Abu Hasan Johir, M.; Taufiq Alam, M.; Zhou, J.L.; Zhu, Y.; et al. General Doping Chemistry of Carbon Materials. ChemNanoMat 2023, 9, e202200482. [Google Scholar] [CrossRef]
- Wei, Q.; Tong, X.; Zhang, G.; Qiao, J.; Gong, Q.; Sun, S. Nitrogen-Doped Carbon Nanotube and Graphene Materials for Oxygen Reduction Reactions. Catalysts 2015, 5, 1574–1602. [Google Scholar] [CrossRef]
- Lim, S.H.; Elim, H.I.; Gao, X.Y.; Wee, A.T.S.; Ji, W.; Lee, J.Y.; Lin, J. Electronic and Optical Properties of Nitrogen-Doped Multiwalled Carbon Nanotubes. Phys Rev B 2006, 73, 45402. [Google Scholar] [CrossRef]
- Lee, W.J.; Maiti, U.N.; Lee, J.M.; Lim, J.; Han, T.H.; Kim, S.O. Nitrogen-Doped Carbon Nanotubes and Graphene Composite Structures for Energy and Catalytic Applications. Chemical Communications 2014, 50, 6818–6830. [Google Scholar] [CrossRef] [PubMed]
- Ayala, P.; Arenal, R.; Rümmeli, M.; Rubio, A.; Pichler, T. The Doping of Carbon Nanotubes with Nitrogen and Their Potential Applications. Carbon N Y 2010, 48, 575–586. [Google Scholar] [CrossRef]
- Sandoval, S.; Kumar, N.; Oro-Solé, J.; Sundaresan, A.; Rao, C.N.R.; Fuertes, A.; Tobias, G. Tuning the Nature of Nitrogen Atoms in N-Containing Reduced Graphene Oxide. Carbon N Y 2016, 96, 594–602. [Google Scholar] [CrossRef]
- Sandoval, S.; Tobias, G. Tuning the Nature of N-Based Groups From N-Containing Reduced Graphene Oxide: Enhanced Thermal Stability Using Post-Synthesis Treatments. Nanomaterials 2020, 10. [Google Scholar] [CrossRef]
- Podyacheva, O.Yu.; Ismagilov, Z.R. Nitrogen-Doped Carbon Nanomaterials: To the Mechanism of Growth, Electrical Conductivity and Application in Catalysis. Catal Today 2015, 249, 12–22. [Google Scholar] [CrossRef]
- Pinto, S.C.; Gonçalves, G.; Sandoval, S.; López-Periago, A.M.; Borras, A.; Domingo, C.; Tobias, G.; Duarte, I.; Vicente, R.; Marques, P.A.A.P. Bacterial Cellulose/Graphene Oxide Aerogels with Enhanced Dimensional and Thermal Stability. Carbohydr Polym 2020, 230, 115598. [Google Scholar] [CrossRef] [PubMed]
- Sandoval, S.; Kumar, N.; Sundaresan, A.; Rao, C.N.R.; Fuertes, A.; Tobias, G. Enhanced Thermal Oxidation Stability of Reduced Graphene Oxide by Nitrogen Doping. Chemistry – A European Journal 2014, 20, 11999–12003. [Google Scholar] [CrossRef] [PubMed]
- Gaidukevic, J.; Aukstakojyte, R.; Kozłowski, M.; Barkauskas, J.; Pauliukaite, R. A Simple Preparation of N-Doped Reduced Graphene Oxide as an Electrode Material for the Detection of Hydrogen Peroxide and Glucose. Electrochim Acta 2023, 446, 142113. [Google Scholar] [CrossRef]
- Min, S.; Hyeon, D.S.; Jang, G.; Choi, J.; Seo, J.; Kwon, S.; Kim, D.-W.; Hong, J.P. Oxynitride Amorphous Carbon Layer for Electrically and Thermally Robust Bipolar Resistive Switching. Adv Electron Mater 2023, 9, 2201090. [Google Scholar] [CrossRef]
- Pang, L.S.K.; Saxby, J.D.; Chatfield, S.P. Thermogravimetric Analysis of Carbon Nanotubes and Nanoparticles. J Phys Chem 1993, 97, 6941–6942. [Google Scholar] [CrossRef]
- Farivar, F.; Lay Yap, P.; Karunagaran, R.U.; Losic, D. Thermogravimetric Analysis (TGA) of Graphene Materials: Effect of Particle Size of Graphene, Graphene Oxide and Graphite on Thermal Parameters. C (Basel) 2021, 7. [Google Scholar] [CrossRef]
- Bannov, A.G.; Popov, M. V; Kurmashov, P.B. Thermal Analysis of Carbon Nanomaterials: Advantages and Problems of Interpretation. J Therm Anal Calorim 2020, 142, 349–370. [Google Scholar] [CrossRef]
- Sandoval, S.; Kumar, N.; Oro-Solé, J.; Sundaresan, A.; Rao, C.N.R.; Fuertes, A.; Tobias, G. Tuning the Nature of Nitrogen Atoms in N-Containing Reduced Graphene Oxide. Carbon N Y 2016, 96, 594–602. [Google Scholar] [CrossRef]
- Sandoval, S.; Fuertes, A.; Tobias, G. Solvent-Free Functionalisation of Graphene Oxide with Amide and Amine Groups at Room Temperature. Chemical Communications 2019, 55, 12196–12199. [Google Scholar] [CrossRef] [PubMed]
- Romanos, G.E.; Likodimos, V.; Marques, R.R.N.; Steriotis, T.A.; Papageorgiou, S.K.; Faria, J.L.; Figueiredo, J.L.; Silva, A.M.T.; Falaras, P. Controlling and Quantifying Oxygen Functionalities on Hydrothermally and Thermally Treated Single-Wall Carbon Nanotubes. The Journal of Physical Chemistry C 2011, 115, 8534–8546. [Google Scholar] [CrossRef]
- Syrgiannis, Z.; La Parola, V.; Hadad, C.; Lucío, M.; Vázquez, E.; Giacalone, F.; Prato, M. An Atom-Economical Approach to Functionalized Single-Walled Carbon Nanotubes: Reaction with Disulfides. Angewandte Chemie International Edition 2013, 52, 6480–6483. [Google Scholar] [CrossRef] [PubMed]
- Al-Mayman, S.I.; Al-Abbadi, N.M.; Atieh, M.A. Thermal Oxidation Kinetic of Carbon Nanotubes (CNTs). Arab J Sci Eng 2014, 39, 621–630. [Google Scholar] [CrossRef]
- Tobón, J.I.; Paya, J.; Borrachero, M. V; Soriano, L.; Restrepo, O.J. Determination of the Optimum Parameters in the High Resolution Thermogravimetric Analysis (HRTG) for Cementitious Materials. J Therm Anal Calorim 2012, 107, 233–239. [Google Scholar] [CrossRef]
- Archer, P.D.; Ming, D.W.; Sutter, B. The Effects of Instrument Parameters and Sample Properties on Thermal Decomposition: Interpreting Thermal Analysis Data from Mars. Planet Sci 2013, 2, 2. [Google Scholar] [CrossRef]
- Tobias, G.; Shao, L.; Salzmann, C.G.; Huh, Y.; Green, M.L.H. Purification and Opening of Carbon Nanotubes Using Steam. J Phys Chem B 2006, 110, 22318–22322. [Google Scholar] [CrossRef]
- Shao, L.; Tobias, G.; Salzmann, C.G.; Ballesteros, B.; Hong, S.Y.; Crossley, A.; Davis, B.G.; Green, M.L.H. Removal of Amorphous Carbon for the Efficient Sidewall Functionalisation of Single-Walled Carbon Nanotubes. Chemical Communications 2007, 5090–5092. [Google Scholar] [CrossRef] [PubMed]
- Ballesteros, B.; Tobias, G.; Shao, L.; Pellicer, E.; Nogués, J.; Mendoza, E.; Green, M.L.H. Steam Purification for the Removal of Graphitic Shells Coating Catalytic Particles and the Shortening of Single-Walled Carbon Nanotubes. Small 2008, 4, 1501–1506. [Google Scholar] [CrossRef] [PubMed]
- Cabana, L.; Ke, X.; Kepić, D.; Oro-Solé, J.; Tobías-Rossell, E.; Van Tendeloo, G.; Tobias, G. The Role of Steam Treatment on the Structure, Purity and Length Distribution of Multi-Walled Carbon Nanotubes. Carbon N Y 2015, 93, 1059–1067. [Google Scholar] [CrossRef]
- Foreman, J.A.; Sauerbrunn, S. Exploring the Sensitivity of Thermal Analysis Techniques to the Glass Transition.; 1997.
- Zhai, X.; Ge, H.; Shu, C.-M.; Obracaj, D.; Wang, K.; Laiwang, B. Effect of the Heating Rate on the Spontaneous Combustion Characteristics and Exothermic Phenomena of Weakly Caking Coal at the Low-Temperature Oxidation Stage. Fuel 2020, 268, 117327. [Google Scholar] [CrossRef]
- Cabana, L.; Ke, X.; Kepić, D.; Oro-Solé, J.; Tobías-Rossell, E.; Van Tendeloo, G.; Tobias, G. The Role of Steam Treatment on the Structure, Purity and Length Distribution of Multi-Walled Carbon Nanotubes. Carbon N Y 2015, 93, 1059–1067. [Google Scholar] [CrossRef]
- Garbuz, V. V; Kuzmenko, L.N.; Petrova, V.A.; Silinska, T.A.; Terentieva, T.M. Thermal Oxidation Kinetics of Multi-Walled Carbon Nanotubes in an Oxygen Flow. Powder Metallurgy and Metal Ceramics 2019, 58, 149–154. [Google Scholar] [CrossRef]
- Ballesteros, B.; Tobias, G.; Shao, L.; Pellicer, E.; Nogués, J.; Mendoza, E.; Green, M.L.H. Steam Purification for the Removal of Graphitic Shells Coating Catalytic Particles and the Shortening of Single-Walled Carbon Nanotubes. Small 2008, 4, 1501–1506. [Google Scholar] [CrossRef] [PubMed]
- Gadhavi, P.M.; Poopanya, P.; Talati, M. Structural, Electronic, and Transport Properties of Ge Doped Graphene: A DFT Study. Physica B Condens Matter 2023, 666, 415085. [Google Scholar] [CrossRef]
- Sandoval, S.; Tobias, G. Tuning the Nature of N-Based Groups From N-Containing Reduced Graphene Oxide: Enhanced Thermal Stability Using Post-Synthesis Treatments. Nanomaterials 2020, 10. [Google Scholar] [CrossRef]
- Sandoval, S.; Muthuswamy, E.; Chen, J.; Fuertes, A.; Tobias, G.; Navrotsky, A. Thermochemistry of Nitrogen-Doped Reduced Graphene Oxides. J Eur Ceram Soc 2020, 40, 6322–6327. [Google Scholar] [CrossRef]
- Sandoval, S.; Kumar, N.; Sundaresan, A.; Rao, C.N.R.; Fuertes, A.; Tobias, G. Enhanced Thermal Oxidation Stability of Reduced Graphene Oxide by Nitrogen Doping. Chemistry – A European Journal 2014, 20, 11999–12003. [Google Scholar] [CrossRef] [PubMed]









Disclaimer/Publisher’s Note: The statements, opinions and data contained in all publications are solely those of the individual author(s) and contributor(s) and not of MDPI and/or the editor(s). MDPI and/or the editor(s) disclaim responsibility for any injury to people or property resulting from any ideas, methods, instructions or products referred to in the content. |
© 2024 by the authors. Licensee MDPI, Basel, Switzerland. This article is an open access article distributed under the terms and conditions of the Creative Commons Attribution (CC BY) license (https://creativecommons.org/licenses/by/4.0/).