Submitted:
27 May 2024
Posted:
28 May 2024
You are already at the latest version
Abstract
Keywords:
1. Introduction
2. Related works
3. Materials and Method
- is a DS
- is a LS and
- a Resistive relation.
- and are known as flows and efforts
- and are known as resistive flows and efforts
- and are known as external flows and efforts, respectively.
- V is a set of vertices
- E is a set of edges
- maps each edge, e, to an initial vertex
- maps each edge, e, to a terminal vertex
- A subgraph is said to be an induced subgraph on if
- A subgraph is said to be spanning if
- A subgraph is said to be a proper subgraph if
- If both V and E are finite, then is said to be finite
-
An n-tuple is called a path from to , if
- (a)
- are distinct
- (b)
- for all
- (c)
- A path from to is called a cycle.
- Two vertices, and are said to be connected if there exists a path from to .
- The existence of paths from vertices gives an equivalence relation on the set of vertices.
- A subgraph is a component of the graph.
- A graph with only one component is said to be connected.
- Is finite
- Is loop-free
- Has an incidence matrix
3.1. Dirac Structure
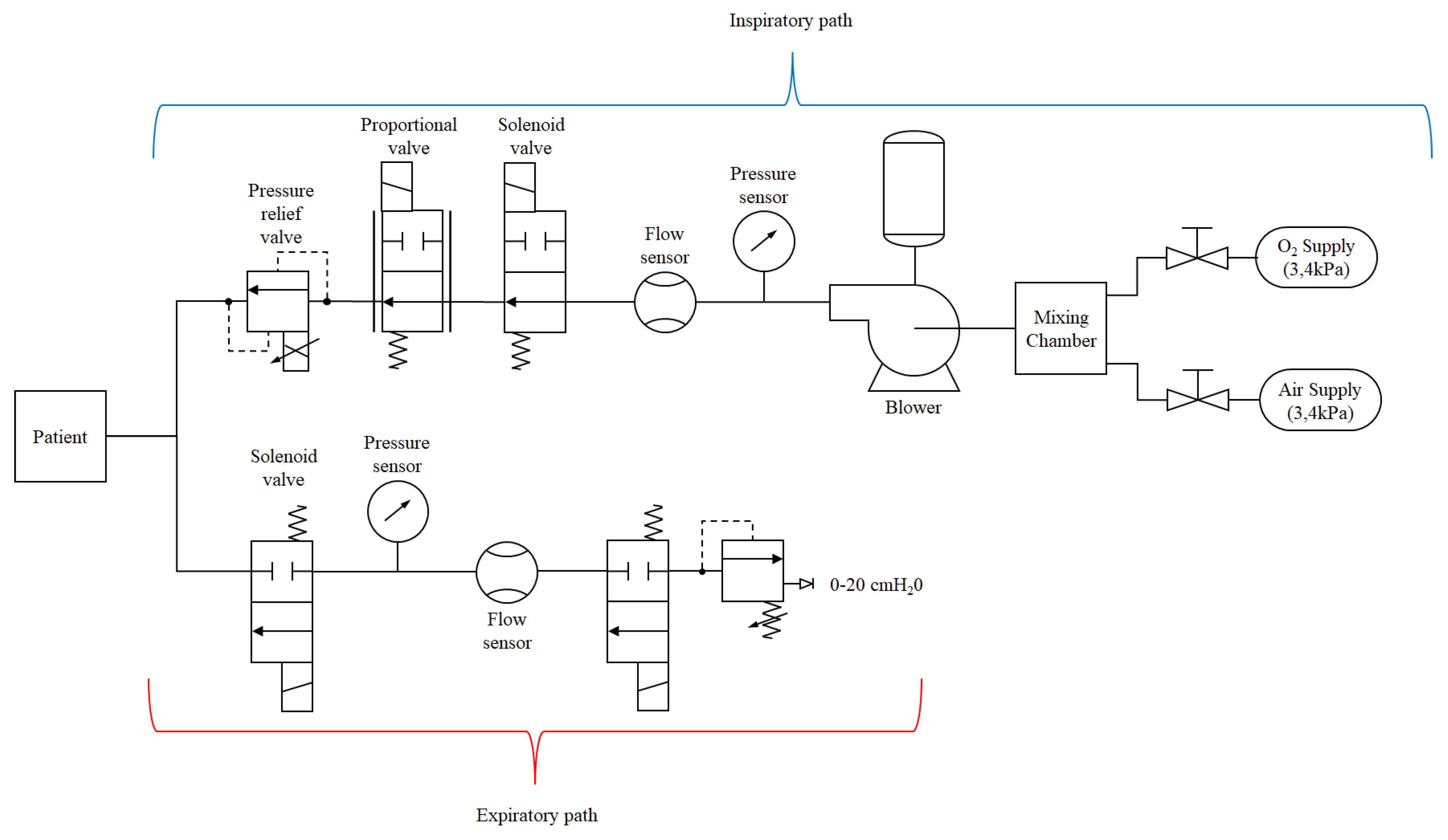
4. Detailed Port-Hamiltonian Model of a Mechanical Ventilator
4.1. Description of the System
4.2. Blower Model
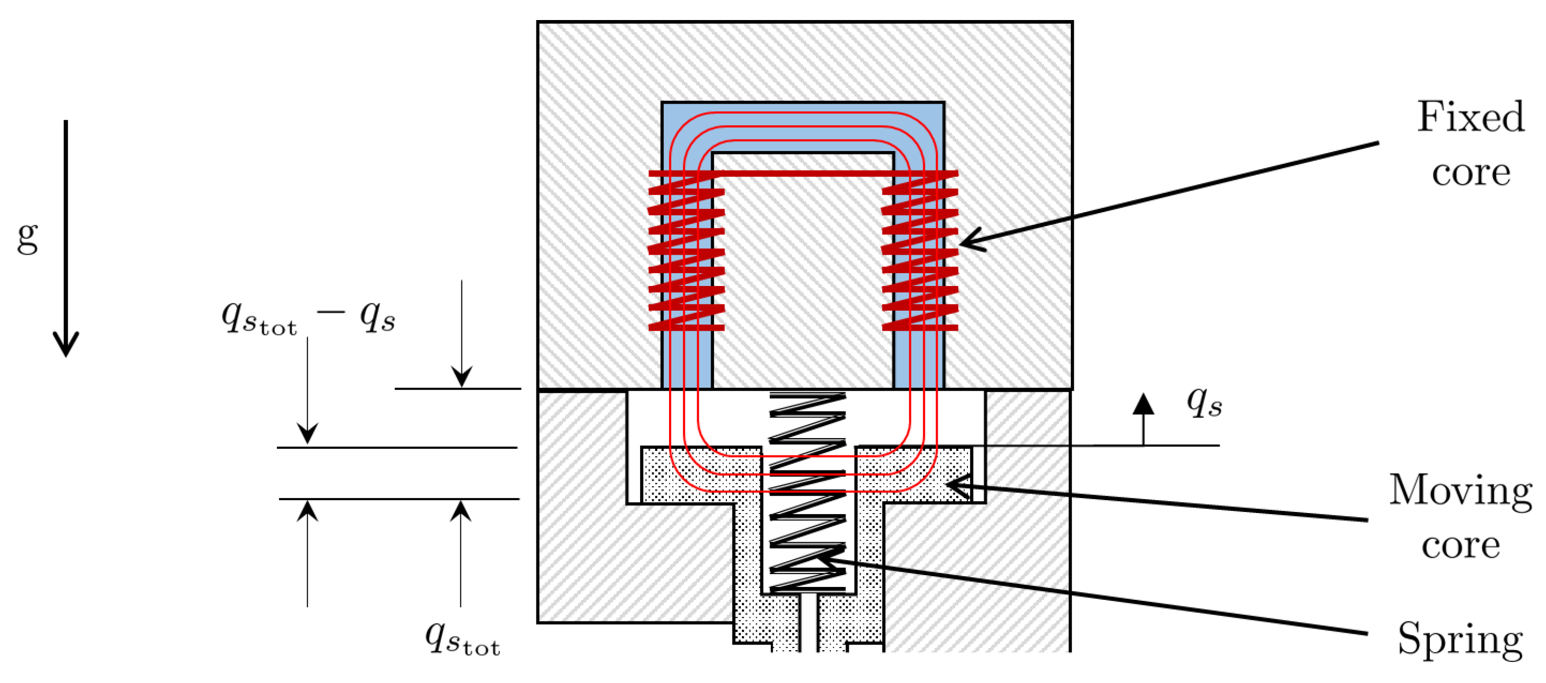
5. Solenoid Valve Subsystem


5.1. Pipe Model
- The pipe is taken as rigid (it does not expand in cross-section as a result of fluid flow).
- Frictional and gravitational effects are neglected (this will be relaxed in future works in this research area),
- The model parameters of the gas remain constant along the pipe cross-section but vary in time along the pipe length. Thus they can be averaged about the cross-section and thus the gas flow is one-dimensional.
- The temperatures of the pipe walls are assumed to be constant and equal to the ambient room temperature. Hence temperature effects are ignored.
5.1.1. Port-Hamiltonian Formulation of Pipe-Flow Model
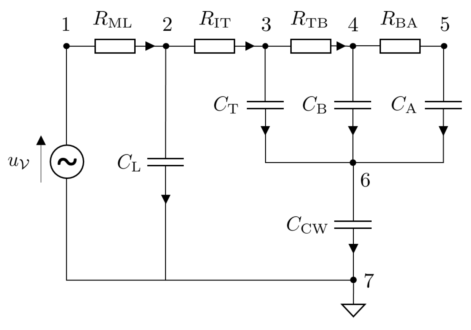
5.2. Electric Circuit Model of the Lung


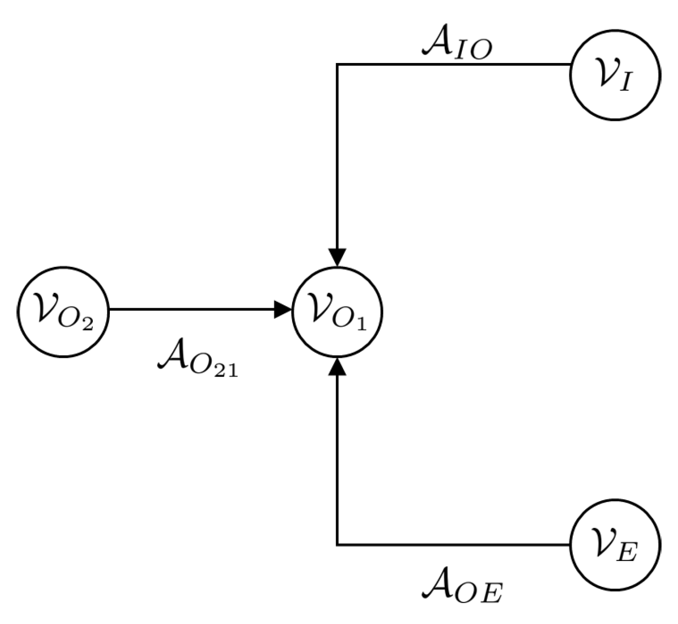
6. Model Network Topology


7. Model Interconnection/Coupling Conditions
- Pump-to-pipe interconnection The pressure and flow rate of the fluid exiting the pump, and respectively, are equal to the pressure and flow rate at the inlet of the pipe given by and , respectively. Thus
- Pipe to valve interconnection The pressure and flow rate of the fluid entering/exiting a valve, and respectively, are equal to the pressure and flow rate at the inlet/outlet of the pipe given by and for the inlet and and . Thus
-
Pipe to circuit interconnection The pressure and fluid flow-rate at the outlet of a pipe can act as inputs to a circuit model, thusOn the other hand, the output voltage and current of a circuit can be interconnected to a fluid pipe at the inlet of the pipe. In this case, the output voltage and or current of the circuit should be equal to the inlet pressure and inlet flow rate respectively. This relation can expressed mathematically as:The Hamiltonian of the complete system is given by the sum of the Hamiltonian’s of the individual systemsThe rate of change of energy of the complete system isThe terms and are the external pressure and flow rates acting on the system. They should be equal to zero to complete the interconnection.
8. Structure Preserving Discretization

9. Results and Discussion
9.1. Model Validation
9.2. Simulation Environment


10. Conclusions and Recommendations
Author Contributions
Funding
Institutional Review Board Statement
Data Availability Statement
Acknowledgments
Conflicts of Interest
Abbreviations
| MDPI | Multidisciplinary Digital Publishing Institute |
| DOAJ | Directory of open access journals |
| TLA | Three letter acronym |
| LD | Linear dichroism |
References
- Rubio, J.; Rojas, C.; Sanchez, M.; Gómez-Alzate, D.; Córdova, M.; Montoya, V.; Castaneda, B.; Chang, J.; Pérez-Buitrago, S. COVOX: Providing oxygen during the COVID-19 health emergency. HardwareX 2023, 13, e00383. [Google Scholar] [CrossRef] [PubMed]
- Tran, A.; Ngo, H.Q.T.; Dong, K.; Huy, V. Design, Control, Modeling, and Simulation of Mechanical Ventilator for Respiratory Support. Mathematical Problems in Engineering 2021, 2021, 1–15. [Google Scholar] [CrossRef]
- El-Hadj, A.; Kezrane, M.; Ahmad, H.; Ameur, H.; Bin Abd Rahim, S.Z.; Younsi, A.; Abu-Zinadah, H. Design and simulation of mechanical ventilators. Chaos, Solitons & Fractals 2021, 150, 111169. [Google Scholar] [CrossRef] [PubMed]
- Tharion, J.; Kapil, S.; Muthu, N.; Tharion, J.; Subramani, K. Rapid Manufacturable Ventilator for Respiratory Emergencies of COVID-19 Disease. Transactions of the Indian National Academy of Engineering 2020, 5. [Google Scholar] [CrossRef] [PubMed]
- Pivik, W.J.; Clayton, G.M.; Jones, G.F.; Nataraj, C. Dynamic Modeling of a Low-cost Mechanical Ventilator. IFAC-PapersOnLine 2022, 55, 81–85. [Google Scholar] [CrossRef]
- Al Naggar, N. Modelling and Simulation of Pressure Controlled Mechanical Ventilation System. Journal of Biomedical Science and Engineering 2015, 8, 707–716. [Google Scholar] [CrossRef]
- Shi, Y.; Ren, S.; Cai, M.; Xu, W. Modelling and Simulation of Volume Controlled Mechanical Ventilation System. Mathematical Problems in Engineering 2014, 2014. [Google Scholar] [CrossRef]
- Al Naggar, N.; Al-Hetari, H.; Alakwaa, F. Simulation of Mathematical Model for Lung and Mechanical Ventilation. Journal of Science and Technology 2016, 21, 1–11. [Google Scholar] [CrossRef]
- Giri, J.; Kshirsagar, N.; Wanjari, A. Design and simulation of AI-based low-cost mechanical ventilator: An approach. Materials Today: Proceedings 2021, 47, 5886–5891, SI: TIME-2021. [Google Scholar] [CrossRef] [PubMed]
- Hannon, D.; Mistry, S.; Das, A.; Saffaran, S.; Laffey, J.; Brook, B.; Hardman, J.; Bates, D. Modeling Mechanical Ventilation In Silico—Potential and Pitfalls. Seminars in Respiratory and Critical Care Medicine 2022, 43. [Google Scholar] [CrossRef] [PubMed]
- Villegas, J.A. A Port-Hamiltonian Approach to Distributed Parameter Systems. PhD thesis, Department of Applied Mathematics, Faculty EWI, Universiteit Twente, Enschede, Twente, Enschede, Netherlands, 2007.
- Le Gorrec, Y.; Zwart, H.; Maschke, B. Dirac structures and Boundary Control Systems associated with Skew-Symmetric Differential Operators. SIAM Journal on Control and Optimization 2005, 44, 1864–1892. [Google Scholar] [CrossRef]
- van der Schaft, A.J.; Maschke, B.M. Hamiltonian formulation of distributed-parameter systems with boundary energy flow. Journal of Geometry and Physics 2002, 42, 166–194. [Google Scholar] [CrossRef]
- Anderson, J. Computational Fluid Dynamics: The Basics with Applications; McGraw-Hill International Editions: Mechanical Engineering, McGraw-Hill, 1995. [Google Scholar]
- Kamiński, Z. A simplified lumped parameter model for pneumatic tubes. Mathematical and Computer Modelling of Dynamical Systems 2017, 23, 523–535. [Google Scholar] [CrossRef]
- Albanese, A.; Cheng, L.; Ursino, M.; Chbat, N.W. An integrated mathematical model of the human cardiopulmonary system: model development. American journal of physiology. Heart and circulatory physiology 2016, 310 7, H899–921. [Google Scholar] [CrossRef]
- Bondy, J.A.; Murty, U.S.R. Graph Theory with Applications; MacMillan, 1976.
- Taghizadeh, M.; Ghaffari, A.; Najafi, F. Modeling and identification of a solenoid valve for PWM control applications. Comptes Rendus Mécanique 2009, 337, 131–140. [Google Scholar] [CrossRef]





| Parameter | Description | Value | Units |
|---|---|---|---|
| Pipe cross-sectional area | |||
| Pipe diameter | m | ||
| ℓ | Pipe length | m |
| Parameter | Description | Value | Units |
|---|---|---|---|
| Effective cross-sectional area | |||
| Spool land area | |||
| Spool land area | |||
| Spool land area | |||
| Spool land area | |||
| Viscous damping factor | |||
| g | Acceleration due to gravity | ||
| Spring stiffness | |||
| Length of the part of the magnetic circuit inside the core | m | ||
| Mass of the spool | |||
| N | Number of turns in the coil | 1250 | turns |
| Total air-gap | m | ||
| Pre-tension in the spring | m | ||
| Resistance of the coil | 13 | ||
| Permeability of air | |||
| Permeability of the magnetic core |
| Parameter | Description | Value | Units |
|---|---|---|---|
| Resistance of the Mouth to Larynx | cmHO l | ||
| Resistance of the Larynx to Trachea | cmHO l | ||
| Resistance of the Trachea to Bronchi | cmHO l | ||
| Resistance of the Bronchi to Alveoli | cmHO l | ||
| Compliance of the Larynx | l/cmHO | ||
| Compliance of the Trachea | l/cmHO | ||
| Compliance of the Bronchi | l/cmHO | ||
| Compliance of the Alveoli | l/cmHO | ||
| Compliance of the Chest wall | l/cmHO |
Disclaimer/Publisher’s Note: The statements, opinions and data contained in all publications are solely those of the individual author(s) and contributor(s) and not of MDPI and/or the editor(s). MDPI and/or the editor(s) disclaim responsibility for any injury to people or property resulting from any ideas, methods, instructions or products referred to in the content. |
© 2022 by the authors. Licensee MDPI, Basel, Switzerland. This article is an open access article distributed under the terms and conditions of the Creative Commons Attribution (CC BY) license (https://creativecommons.org/licenses/by/4.0/).