Submitted:
23 May 2024
Posted:
24 May 2024
You are already at the latest version
Abstract
Keywords:
1. Introduction
2. Materials and Methods
3. Results
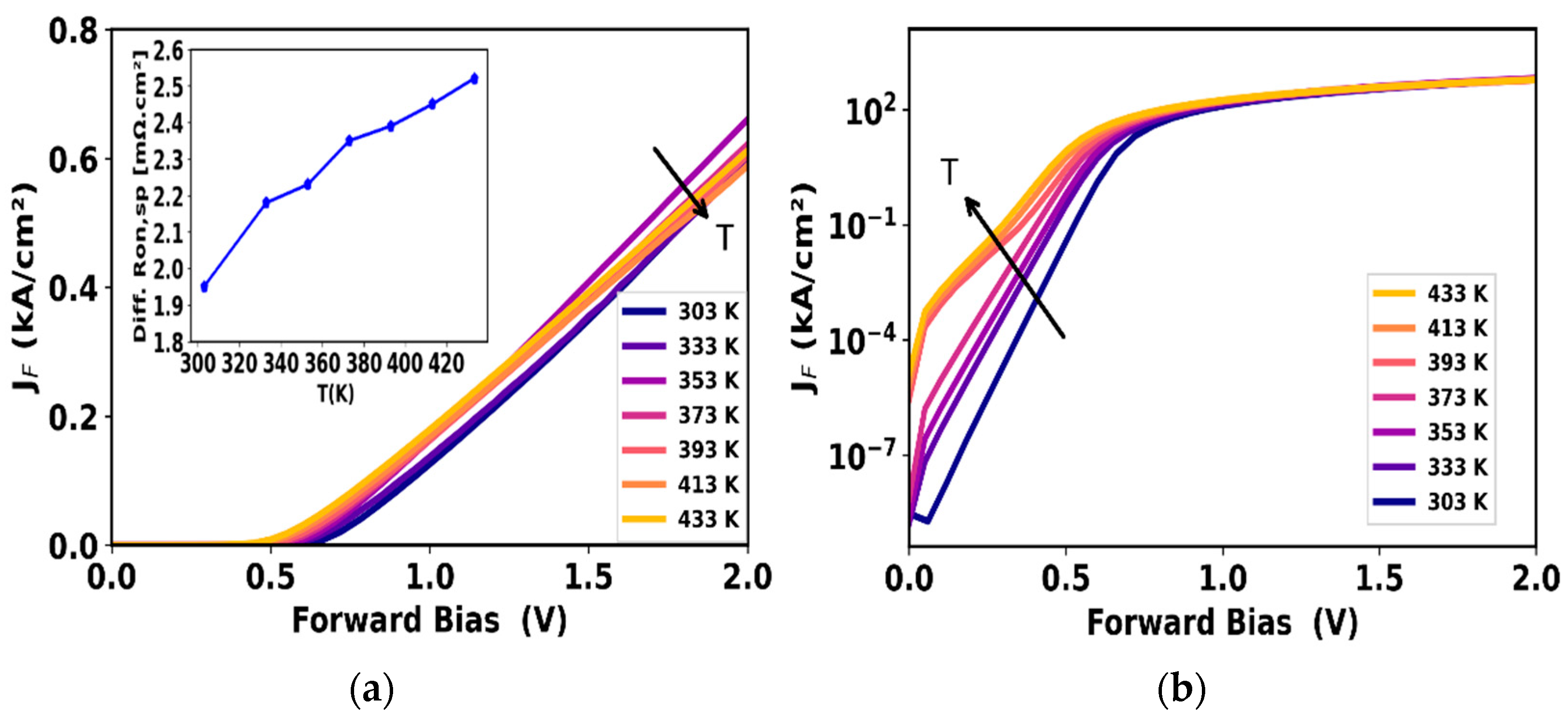
3.1. Forward Bias
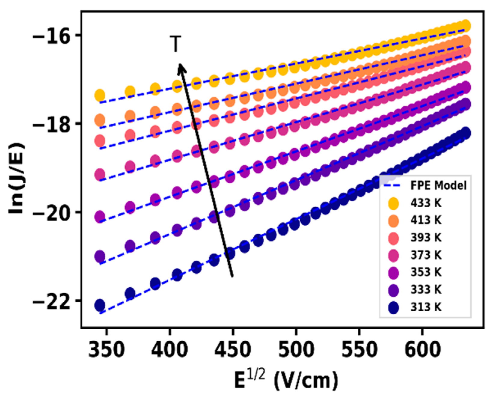
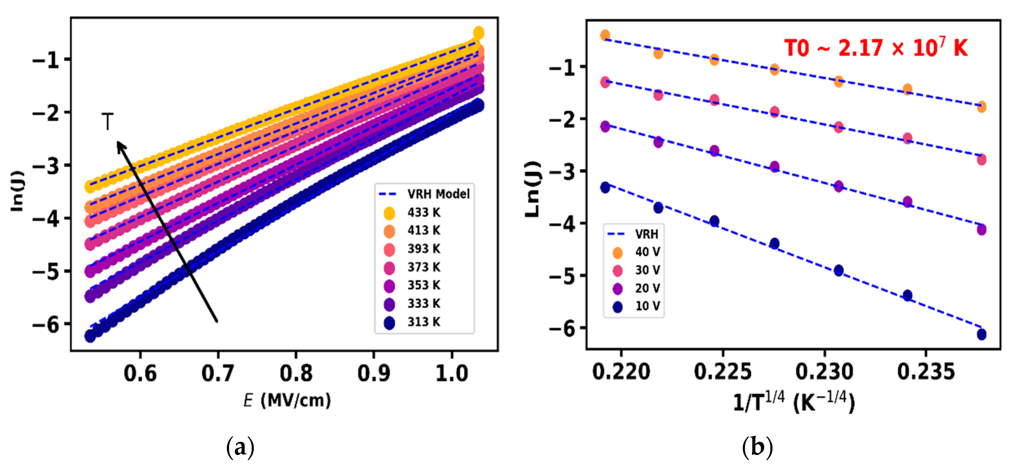
3.2. Reverse Bias
5. Conclusions
Author Contributions
Funding
Data Availability Statement
Acknowledgments
Conflicts of Interest
References
- K. Dang et al., « A 5.8-GHz High-Power and High-Efficiency Rectifier Circuit With Lateral GaN Schottky Diode for Wireless Power Transfer », IEEE Trans. Power Electron., vol. 35, no 3, p. 2247-2252, mars 2020. [CrossRef]
- S. Chowdhury, Z. Stum, Z. D. Li, K. Ueno, et T. P. Chow, « Comparison of 600V Si, SiC and GaN Power Devices », Mater. Sci. Forum, vol. 778-780, p. 971-974, 2014. [CrossRef]
- C. Langpoklakpam, A.-C. Liu, Y.-K. Hsiao, C.-H. Lin, et H.-C. Kuo, « Vertical GaN MOSFET Power Devices », Micromachines, vol. 14, no 10, Art. no 10, oct. 2023. [CrossRef]
- Y. Zhang et T. Palacios, « (Ultra)Wide-Bandgap Vertical Power FinFETs », IEEE Trans. Electron Devices, vol. 67, no 10, p. 3960-3971, oct. 2020. [CrossRef]
- B. J. Baliga, « Trends in power semiconductor devices », IEEE Trans. Electron Devices, vol. 43, no 10, p. 1717-1731, oct. 1996. [CrossRef]
- T. Kachi, « State-of-the-art GaN vertical power devices », in 2015 IEEE International Electron Devices Meeting (IEDM), déc. 2015, p. 16.1.1-16.1.4. [CrossRef]
- Z. Hu et al., « Near unity ideality factor and Shockley-Read-Hall lifetime in GaN-on-GaN p-n diodes with avalanche breakdown », Appl. Phys. Lett., vol. 107, p. 243501, déc. 2015. [CrossRef]
- N. Tanaka, K. Hasegawa, K. Yasunishi, N. Murakami, et T. Oka, « 50 A vertical GaN Schottky barrier diode on a free-standing GaN substrate with blocking voltage of 790 V », Appl. Phys. Express, vol. 8, no 7, p. 071001, juin 2015. [CrossRef]
- X. Guo et al., « 1200-V GaN-on-Si Quasi-Vertical p-n Diodes », IEEE Electron Device Lett., vol. 43, no 12, p. 2057-2060, déc. 2022. [CrossRef]
- Q. Wei et al., « Demonstration of Vertical GaN Schottky Barrier Diode With Robust Electrothermal Ruggedness and Fast Switching Capability by Eutectic Bonding and Laser Lift-Off Techniques », IEEE J. Electron Devices Soc., vol. 10, p. 1003-1008, 2022. [CrossRef]
- X. Zou, X. Zhang, X. Lu, C. W. Tang, et K. M. Lau, « Breakdown Ruggedness of Quasi-Vertical GaN-Based p-i-n Diodes on Si Substrates », IEEE Electron Device Lett., vol. 37, no 9, p. 1158-1161, sept. 2016. [CrossRef]
- Y. Zhang, M. Yuan, N. Chowdhury, K. Cheng, et T. Palacios, « 720-V/0.35-m $\Omega \cdot$ cm 2 Fully Vertical GaN-on-Si Power Diodes by Selective Removal of Si Substrates and Buffer Layers », IEEE Electron Device Lett., vol. 39, no 5, p. 715-718, mai 2018. [CrossRef]
- A. Tanaka, W. Choi, R. Chen, et S. A. Dayeh, « Si Complies with GaN to Overcome Thermal Mismatches for the Heteroepitaxy of Thick GaN on Si », Adv. Mater., vol. 29, no 38, p. 1702557, 2017. [CrossRef]
- D. Alquier, F. Cayrel, O. Menard, A.-E. Bazin, A. Yvon, et E. Collard, « Recent Progresses in GaN Power Rectifier », Jpn. J. Appl. Phys., vol. 51, no 1S, p. 01AG08, janv. 2012. [CrossRef]
- T. Kaltsounis et al., « Characterization of unintentional doping in localized epitaxial GaN layers on Si wafers by scanning spreading resistance microscopy », Microelectron. Eng., vol. 273, p. 111964, mars 2023. [CrossRef]
- Y. Zhang et al., « Design space and origin of off-state leakage in GaN vertical power diodes », in 2015 IEEE International Electron Devices Meeting (IEDM), Washington, DC, USA: IEEE, déc. 2015, p. 35.1.1-35.1.4. [CrossRef]
- X. Guo et al., « Reverse leakage and breakdown mechanisms of vertical GaN-on-Si Schottky barrier diodes with and without implanted termination », Applied Physics Letters, vol. 118, no 24, p. 243501, juin 2021. [CrossRef]
- V. Maurya et al., « Electrical Transport Characteristics of Vertical GaN Schottky-Barrier Diode in Reverse Bias and Its Numerical Simulation », Energies, vol. 16, no 14, Art. no 14, janv. 2023. [CrossRef]
- Y. Sun et al., « Review of the Recent Progress on GaN-Based Vertical Power Schottky Barrier Diodes (SBDs) », Electronics, vol. 8, no 5, Art. no 5, mai 2019. [CrossRef]
- Rhoderick, P.E.H.; Sc, M.; Ph, C.; Eng, P.F. Metal-Semiconductor Contacts; Clarendon Press: Oxford, UK, 1988; pp. 1–14.
- J. Chen et al., « Effects of thermal annealing on the electrical and structural properties of Mo/Au schottky contacts on n-GaN », J. Alloys Compd., vol. 853, p. 156978, févr. 2021. [CrossRef]
- Z. Hu et al., « Near unity ideality factor and Shockley-Read-Hall lifetime in GaN-on-GaN p-n diodes with avalanche breakdown », Appl. Phys. Lett., vol. 107, no 24, p. 243501, déc. 2015. [CrossRef]
- S.-H. Phark, H. Kim, K. M. Song, P. G. Kang, H. S. Shin, et D.-W. Kim, « Current transport in Pt Schottky contacts to a-plane n-type GaN », J. Phys. Appl. Phys., vol. 43, no 16, p. 165102, avr. 2010. [CrossRef]
- L. Sang et al., « Initial leakage current paths in the vertical-type GaN-on-GaN Schottky barrier diodes », Appl. Phys. Lett., vol. 111, no 12, p. 122102, sept. 2017. [CrossRef]
- R. Zhang et Y. Zhang, « Power device breakdown mechanism and characterization: review and perspective », Jpn. J. Appl. Phys., vol. 62, no SC, p. SC0806, févr. 2023. [CrossRef]
- J. G. Simmons, « Conduction in thin dielectric films », J. Phys. Appl. Phys., vol. 4, no 5, p. 613, mai 1971. [CrossRef]
- Dong-Pyo Han, Chan-Hyoung Oh, Hyunsung Kim, Jong-In Shim, Kyu-Sang Kim, et Dong-Soo Shin, « Conduction Mechanisms of Leakage Currents in InGaN/GaN-Based Light-Emitting Diodes », IEEE Trans. Electron Devices, vol. 62, no 2, p. 587-592, févr. 2015. [CrossRef]
- K. R. Peta et al., « Analysis of electrical properties and deep level defects in undoped GaN Schottky barrier diode », Thin Solid Films, vol. 534, p. 603-608, mai 2013. [CrossRef]
- H. Zhang, E. J. Miller, et E. T. Yu, « Analysis of leakage current mechanisms in Schottky contacts to GaN and Al0.25Ga0.75N∕GaN grown by molecular-beam epitaxy », J. Appl. Phys., vol. 99, no 2, p. 023703, janv. 2006. [CrossRef]
- D. V. Kuksenkov, H. Temkin, A. Osinsky, R. Gaska, et M. A. Khan, « Origin of conductivity and low-frequency noise in reverse-biased GaN p-n junction », Appl. Phys. Lett., vol. 72, no 11, p. 1365-1367, mars 1998. [CrossRef]
- J. Chen et al., « Determination of the leakage current transport mechanisms in quasi-vertical GaN–on–Si Schottky barrier diodes (SBDs) at low and high reverse biases and varied temperatures », Appl. Phys. Express, vol. 14, no 10, p. 104002, oct. 2021. [CrossRef]
- D. C. Look et al., « Deep-center hopping conduction in GaN », J. Appl. Phys., vol. 80, no 5, p. 2960-2963, sept. 1996. [CrossRef]
- K. R. Peta and M. D. Kim, Superlattices Microstruct. 113, 678 (2017).
- « Reverse Leakage Analysis for As-Grown and Regrown Vertical GaN-on-GaN Schottky Barrier Diodes | IEEE Journals & Magazine | IEEE Xplore ». Consulté le: 16 février 2024. [En ligne]. Disponible sur: https://ieeexplore.ieee.org/abstract/document/8949530.
- W. Kwon et al., « Reverse Leakage Mechanism of Dislocation-Free GaN Vertical p-n Diodes », IEEE Electron Device Lett., vol. 44, no 7, p. 1172-1175, juill. 2023. [CrossRef]
- B. Rackauskas, S. Dalcanale, M. J. Uren, T. Kachi, et M. Kuball, « Leakage mechanisms in GaN-on-GaN vertical pn diodes », Appl. Phys. Lett., vol. 112, no 23, p. 233501, juin 2018. [CrossRef]














| Mechanism | Expression | E-field dependence | Temperature dependence |
|---|---|---|---|
| Thermionic emission [20] | Yes | ||
| Frenkel–Poole [26] | |||
| Variable-range-hopping [27] | |||
| Phonon-assisted tunneling [28] | Insensitive |
Disclaimer/Publisher’s Note: The statements, opinions and data contained in all publications are solely those of the individual author(s) and contributor(s) and not of MDPI and/or the editor(s). MDPI and/or the editor(s) disclaim responsibility for any injury to people or property resulting from any ideas, methods, instructions or products referred to in the content. |
© 2024 by the authors. Licensee MDPI, Basel, Switzerland. This article is an open access article distributed under the terms and conditions of the Creative Commons Attribution (CC BY) license (http://creativecommons.org/licenses/by/4.0/).
