Submitted:
22 May 2024
Posted:
23 May 2024
Read the latest preprint version here
Abstract
Keywords:
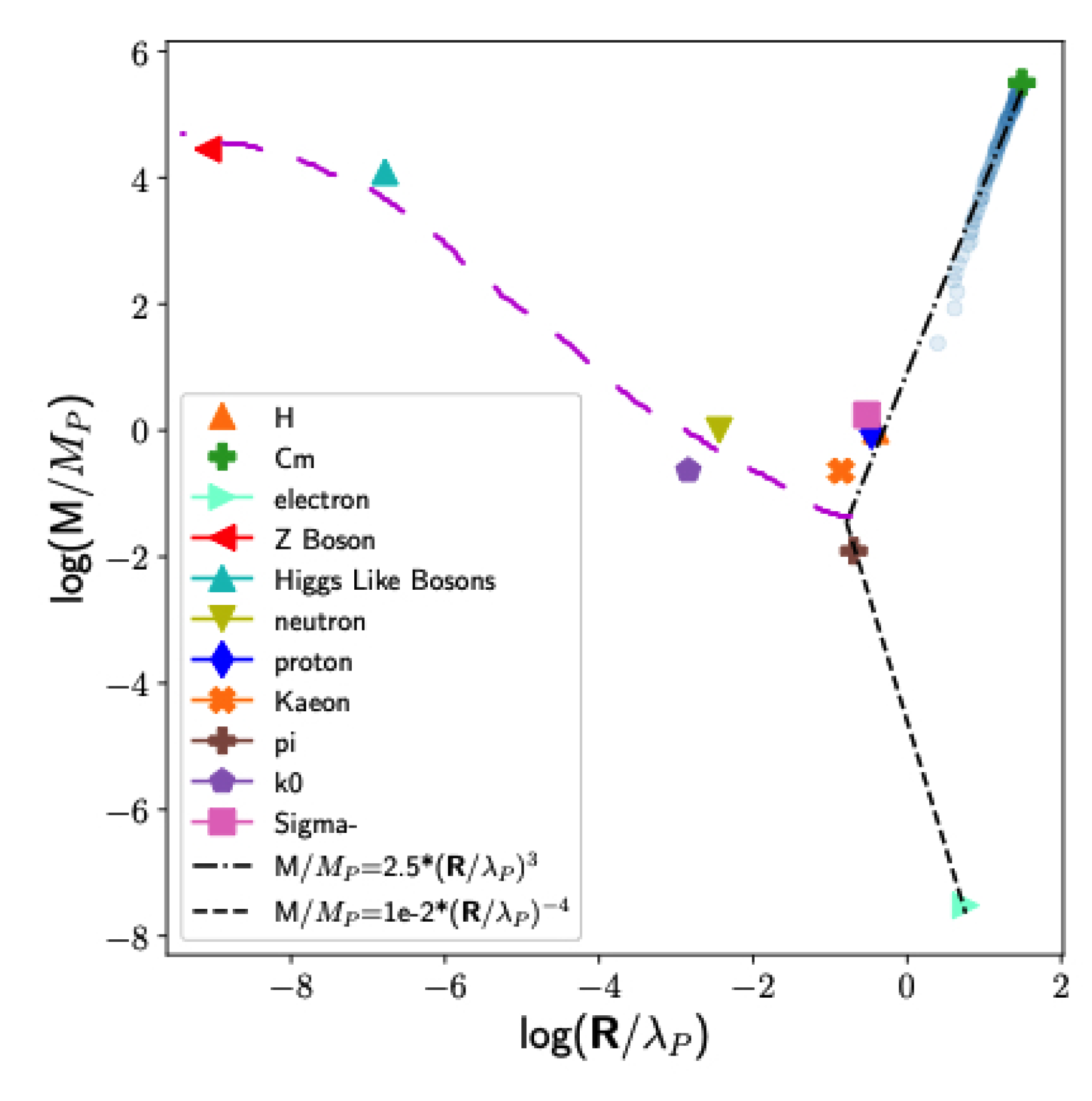
1. The remnant SU(3)
2. Vacuum Atoms and Third Law of Thermodynamics
3. Solution of Cosmological Constant Problem
4. Quantum Spacetime: A Necessity
5. Conclusions
Acknowledgments
References
- Weinberg, S. The Cosmological Constant Problem. Rev. Mod. Phys. 1989, 61, 1–23. [Google Scholar] [CrossRef]
- Glashow, S.L. Partial Symmetries of Weak Interactions. Nucl. Phys. 1961, 22, 579–588. [Google Scholar] [CrossRef]
- Weinberg, S. A Model of Leptons. Phys. Rev. Lett. 1967, 19, 1264–1266. [Google Scholar] [CrossRef]
- Salam, A. Weak and Electromagnetic Interactions. Conf. Proc. C 1968, 680519, 367–377. [Google Scholar] [CrossRef]
- Higgs, P.W. Broken Symmetries and the Masses of Gauge Bosons. Phys. Rev. Lett. 1964, 13, 508–509. [Google Scholar] [CrossRef]
- Chatrchyan, S.; others. Observation of a New Boson at a Mass of 125 GeV with the CMS Experiment at the LHC. Phys. Lett. B 2012, arXiv:hep-ex/1207.7235]716, 30–61. [Google Scholar] [CrossRef]
- Wolfenstein, L. Neutrino Oscillations in Matter. Phys. Rev. D 1978, 17, 2369–2374. [Google Scholar] [CrossRef]
- Mikheyev, S.P.; Smirnov, A.Y. Resonance Amplification of Oscillations in Matter and Spectroscopy of Solar Neutrinos. Sov. J. Nucl. Phys. 1985, 42, 913–917. [Google Scholar]
- Mohapatra, R.N.; Senjanovic, G. Neutrino Mass and Spontaneous Parity Nonconservation. Phys. Rev. Lett. 1980, 44, 912. [Google Scholar] [CrossRef]
- Altarelli, G.; Feruglio, F. Discrete Flavor Symmetries and Models of Neutrino Mixing. Rev. Mod. Phys. 2010, arXiv:hep-ph/1002.0211]82, 2701–2729. [Google Scholar] [CrossRef]
- Gell-Mann, M. A Schematic Model of Baryons and Mesons. Phys. Lett. 1964, 8, 214–215. [Google Scholar] [CrossRef]
- Feynman, R.P. Mathematical formulation of the quantum theory of electromagnetic interaction. Phys. Rev. 1950, 80, 440–457. [Google Scholar] [CrossRef]
- Meissner, W.; Ochsenfeld, R. Ein neuer Effekt bei Eintritt der Supraleitfähigkeit. Naturwissenschaften 1933, 21, 787–788. [Google Scholar] [CrossRef]
- Liang, S.D.; Harko, T. Superconducting dark energy. Phys. Rev. D 2015, arXiv:gr-qc/1504.02645]91, 085042. [Google Scholar] [CrossRef]
- Inan, N.; Ali, A.F.; Jusufi, K.; Yasser, A. Graviton mass due to dark energy as a superconducting medium: theoretical and phenomenological aspects 2024. arXiv:gr-qc/2404.03872].
- Zyla, P.A.; others. Review of Particle Physics. PTEP 2020, 2020, 083C01. [Google Scholar] [CrossRef]
- Jaffe, A.; Witten, E. Quantum yang-mills theory. The millennium prize problems 2006, 1, 129. [Google Scholar]
- Ostriker, J.; Peebles, P.; Yahil, A. The size and mass of galaxies and the mass of the universe, 1974.
- Einstein, A. The foundation of the general theory of relativity. Annalen Phys. 1916, 49, 769–822. [Google Scholar] [CrossRef]
- Adame, A.G. ; others. DESI 2024 VI: Cosmological Constraints from the Measurements of Baryon Acoustic Oscillations 2024. arXiv:astro-ph.CO/2404.03002].
- Adame, A.G. ; others. DESI 2024 III: Baryon Acoustic Oscillations from Galaxies and Quasars 2024. arXiv:astro-ph.CO/2404.03000].
- Adame, A.G. ; others. DESI 2024 IV: Baryon Acoustic Oscillations from the Lyman Alpha Forest 2024. arXiv:astro-ph.CO/2404.03001].
- Bamba, K.; Capozziello, S.; Nojiri, S.; Odintsov, S.D. Dark energy cosmology: the equivalent description via different theoretical models and cosmography tests. Astrophys. Space Sci. 2012, arXiv:gr-qc/1205.3421]342, 155–228. [Google Scholar] [CrossRef]
- Cloet, I.C.; Roberts, C.D. Explanation and Prediction of Observables using Continuum Strong QCD. Prog. Part. Nucl. Phys. 2014, arXiv:nucl-th/1310.2651]77, 1–69. [Google Scholar] [CrossRef]
- Snyder, H.S. Quantized space-time. Phys. Rev. 1947, 71, 38–41. [Google Scholar] [CrossRef]
- Connes, A.; Douglas, M.R.; Schwarz, A.S. Noncommutative geometry and matrix theory: Compactification on tori. JHEP 1998, 02, 003. [Google Scholar] [CrossRef]
- Seiberg, N.; Witten, E. String theory and noncommutative geometry. JHEP 1999, 09, 032. [Google Scholar] [CrossRef]
- Douglas, M.R.; Nekrasov, N.A. Noncommutative field theory. Rev. Mod. Phys. 2001, 73, 977–1029. [Google Scholar] [CrossRef]
- Amati, D.; Ciafaloni, M.; Veneziano, G. Can Space-Time Be Probed Below the String Size? Phys. Lett. B 1989, 216, 41–47. [Google Scholar] [CrossRef]
- Garay, L.J. Quantum gravity and minimum length. Int. J. Mod. Phys. A 1995, 10, 145–166. [Google Scholar] [CrossRef]
- Scardigli, F. Generalized uncertainty principle in quantum gravity from micro - black hole Gedanken experiment. Phys. Lett. B 1999, 452, 39–44. [Google Scholar] [CrossRef]
- Maggiore, M. A Generalized uncertainty principle in quantum gravity. Phys. Lett. B 1993, 304, 65–69. [Google Scholar] [CrossRef]
- Capozziello, S.; others. Generalized uncertainty principle from quantum geometry. Int. J. Theor. Phys. 2000, 39, 15–22. [Google Scholar] [CrossRef]
- Das, S.; Vagenas, E.C. Universality of Quantum Gravity Corrections. Phys. Rev. Lett. 2008, arXiv:hep-th/0810.5333]101, 221301. [Google Scholar] [CrossRef]
- Pikovski, I.; others. Probing Planck-scale physics with quantum optics. Nature Phys. 2012, arXiv:quant-ph/1111.1979]8, 393–397. [Google Scholar] [CrossRef]
- Marin, F.; others. Gravitational bar detectors set limits to Planck-scale physics on macroscopic variables. Nature Phys. 2013, 9, 71–73. [Google Scholar] [CrossRef]
- Petruzziello, L.; others. Quantum gravitational decoherence from fluctuating minimal length and deformation parameter at the Planck scale. Nature Commun. 2021, arXiv:gr-qc/2011.01255]12, 4449. [Google Scholar] [CrossRef]
- Kumar, S.P.; others. On Quantum Gravity Tests with Composite Particles. Nature Commun. 2020, arXiv:quant-ph/1908.11164]11, 3900. [Google Scholar] [CrossRef]
- Moradpour, H.; others. The generalized and extended uncertainty principles and their implications on the Jeans mass. Mon. Not. Roy. Astron. Soc. 2019, arXiv:gr-qc/1907.12940]488, L69–L74. [Google Scholar] [CrossRef]
- Gao, D.; Zhan, M. Constraining the generalized uncertainty principle with cold atoms. Phys. Rev. A 2016, arXiv:gr-qc/1607.04353]94, 013607. [Google Scholar] [CrossRef]
- Bawaj, M.; others. Probing deformed commutators with macroscopic harmonic oscillators. Nature Commun. 2015, arXiv:gr-qc/1411.6410]6, 7503. [Google Scholar] [CrossRef]
- Easther, R.; others. Imprints of short distance physics on inflationary cosmology. Phys. Rev. D 2003, 67, 063508. [Google Scholar] [CrossRef]
- Kober, M. Gauge Theories under Incorporation of a Generalized Uncertainty Principle. Phys. Rev. D 2010, arXiv:physics.gen-ph/1008.0154]82, 085017. [Google Scholar] [CrossRef]
- Hossenfelder, S. Minimal Length Scale Scenarios for Quantum Gravity. Living Rev. Rel. 2013, arXiv:gr-qc/1203.6191]16, 2. [Google Scholar] [CrossRef]
- Mignemi, S. Progress in Snyder model. PoS 2020, CORFU2019, 226. [Google Scholar] [CrossRef]
- Battisti, M.V.; Meljanac, S. Modification of Heisenberg uncertainty relations in noncommutative Snyder space-time geometry. Phys. Rev. D 2009, arXiv:hep-th/0812.3755]79, 067505. [Google Scholar] [CrossRef]
- Battisti, M.V.; Meljanac, S. Scalar Field Theory on Non-commutative Snyder Space-Time. Phys. Rev. D 2010, arXiv:hep-th/1003.2108]82, 024028. [Google Scholar] [CrossRef]
- Maggiore, M. Quantum groups, gravity and the generalized uncertainty principle. Phys. Rev. D 1994, 49, 5182–5187. [Google Scholar] [CrossRef] [PubMed]
- Ali, A.F.; Das, S.; Vagenas, E.C. Discreteness of Space from the Generalized Uncertainty Principle. Phys. Lett. B 2009, arXiv:hep-th/0906.5396]678, 497–499. [Google Scholar] [CrossRef]
- Ali, A.F.; Das, S.; Vagenas, E.C. A proposal for testing Quantum Gravity in the lab. Phys. Rev. D 2011, arXiv:hep-th/1107.3164]84, 044013. [Google Scholar] [CrossRef]
- Liu, T.P.; Pu, J.; Han, Y.; Jiang, Q.Q. A possible thermodynamic origin of the spacetime minimum length. Int. J. Mod. Phys. D 2020, 29, 2043022. [Google Scholar] [CrossRef]
- Ali, A.F.; Elmashad, I.; Mureika, J. Universality of minimal length. Phys. Lett. B 2022, arXiv:physics.gen-ph/2205.14009]831, 137182. [Google Scholar] [CrossRef]
- Ali, A.F.; Elmashad, I.; Mureika, J.; Vagenas, E.C. Theoretical and Observational Implications of Planck’s Constant as a Running Fine Structure Constant. submitted for publication.
- Bhalerao, R.S. Relativistic heavy-ion collisions. 1st Asia-Europe-Pacific School of High-Energy Physics, 2014, pp. arXiv:nucl-th/1404.3294]. [CrossRef]
- Ianni, A.; Mannarelli, M.; Rossi, N. A new approach to dark matter from the mass–radius diagram of the Universe. Results in Physics 2022, 38, 105544. [Google Scholar] [CrossRef]
- Fritzsch, H. The size of the weak bosons. Physics Letters B 2012, 712, 231–232. [Google Scholar] [CrossRef]
- Lehnert, B. Mass-Radius Relations of Z and Higgs-Like Bosons. PROGRESS IN PHYSICS 2014, 10, 5–7. [Google Scholar] [CrossRef]
- Angeli, I.; Marinova, K.P. Table of experimental nuclear ground state charge radii: An update. Atomic Data and Nuclear Data Tables 2013, 99, 69–95. [Google Scholar] [CrossRef]
- Maldacena, J.M. The Large N limit of superconformal field theories and supergravity. Adv. Theor. Math. Phys. 1998, 2, 231–252. [Google Scholar] [CrossRef]
- Strominger, A. The dS / CFT correspondence. JHEP 2001, 10, 034. [Google Scholar] [CrossRef]
- Witten, E. Anti-de Sitter space and holography. Adv. Theor. Math. Phys. 1998, 2, 253–291. [Google Scholar] [CrossRef]
- Gubser, S.S.; Klebanov, I.R.; Polyakov, A.M. Gauge theory correlators from noncritical string theory. Phys. Lett. B 1998, 428, 105–114. [Google Scholar] [CrossRef]
- Hartnoll, S.A.; Herzog, C.P.; Horowitz, G.T. Holographic Superconductors. JHEP 2008, arXiv:hep-th/0810.1563]12, 015. [Google Scholar] [CrossRef]
- Ali, A.F. The Mass Gap of the Spacetime and Its Shape. Fortsch. Phys. 2024, arXiv:hep-th/2403.02655]2024, 2200210. [Google Scholar] [CrossRef]

Disclaimer/Publisher’s Note: The statements, opinions and data contained in all publications are solely those of the individual author(s) and contributor(s) and not of MDPI and/or the editor(s). MDPI and/or the editor(s) disclaim responsibility for any injury to people or property resulting from any ideas, methods, instructions or products referred to in the content. |
© 2024 by the authors. Licensee MDPI, Basel, Switzerland. This article is an open access article distributed under the terms and conditions of the Creative Commons Attribution (CC BY) license (http://creativecommons.org/licenses/by/4.0/).
