Submitted:
21 May 2024
Posted:
23 May 2024
You are already at the latest version
Abstract

Keywords:
1. Introduction
2. Materials and Methods
Peptide Synthesis
MALDI-TOF Mass Spectrometry
Cell Culture
Citotoxicity MTT Assay
Phosphorylation in Human Phospho-Kinase Array
In Vitro Wound Healing Assay
BRET Assays
Molecular Dynamics Simulations
3. Results
3.1. Design and MALDI-TOF Mass Spectrometry of KP10 Analogs
3.2. Effects of KP10 and Ala-Substituted Analogs on Cytotoxicity in Cancer Cells
3.3. Impact of Ala3-KP10 and Ala4-KP10 on Kinase Activation and Cell Migration Dynamics
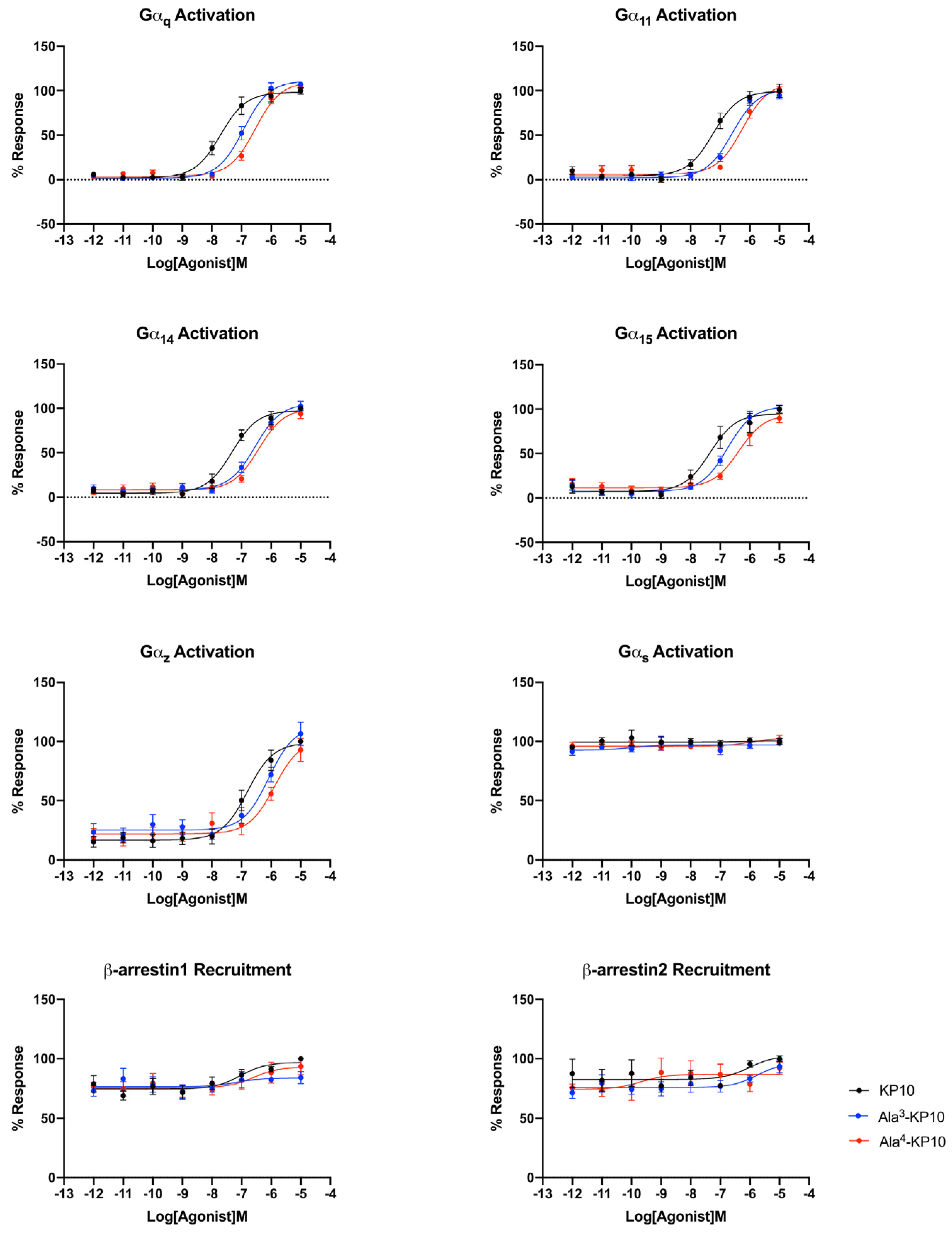
3.4. Analysis of KP10 and Relevant Analogs in Kisspeptin Receptor Signaling Transduction Pathways
4. Discussion

5. Conclusion
Supplementary Materials
Author Contributions
Funding
Institutional Review Board Statement
Data Availability Statement
Conflicts of Interest
References
- Wootten, D.; Christopoulos, A.; Marti-Solano, M.; Babu, M.M.; Sexton, P.M. Mechanisms of signalling and biased agonism in G protein-coupled receptors. Nat. Rev. Mol. Cell Biol. 2018, 19, 638–653. [CrossRef]
- Sriram, K. and P.A. Insel, G Protein-Coupled Receptors as Targets for Approved Drugs: How Many Targets and How Many Drugs? Mol Pharmacol, 2018. 93(4): p. 251-258.
- Kobilka, B.K. G protein coupled receptor structure and activation. Biochim. et Biophys. Acta (BBA) - Biomembr. 2007, 1768, 794–807. [CrossRef]
- Yang, D.; Zhou, Q.; Labroska, V.; Qin, S.; Darbalaei, S.; Wu, Y.; Yuliantie, E.; Xie, L.; Tao, H.; Cheng, J.; et al. G protein-coupled receptors: structure- and function-based drug discovery. Signal Transduct. Target. Ther. 2021, 6, 1–27. [CrossRef]
- Zhu, N., et al., The KiSS-1/GPR54 system: Essential roles in physiological homeostasis and cancer biology. Genes Dis, 2022. 9(1): p. 28-40.
- Dhillo, W., Timeline: kisspeptins. Lancet Diabetes Endocrinol, 2013. 1(1): p. 12-3.
- Kirby, H.R.; Maguire, J.J.; Colledge, W.H.; Davenport, A.P. International Union of Basic and Clinical Pharmacology. LXXVII. Kisspeptin Receptor Nomenclature, Distribution, and Function. Pharmacol. Rev. 2010, 62, 565–578. [CrossRef]
- Navarro, V.M.; Castellano, J.M.; McConkey, S.M.; Pineda, R.; Ruiz-Pino, F.; Pinilla, L.; Clifton, D.K.; Tena-Sempere, M.; Steiner, R.A. Interactions between kisspeptin and neurokinin B in the control of GnRH secretion in the female rat. Am. J. Physiol. Metab. 2011, 300, E202–E210. [CrossRef]
- Sarmiento, D.Y.R. Beyond reproduction: Exploring the Non-Canonical roles of the Kisspeptin System in Diverse Biological Systems. Bionatura 2023, 8, 1–6. [CrossRef]
- Stathaki, M.; Stamatiou, M.E.; Magioris, G.; Simantiris, S.; Syrigos, N.; Dourakis, S.; Koutsilieris, M.; Armakolas, A. The role of kisspeptin system in cancer biology. Crit. Rev. Oncol. 2019, 142, 130–140. [CrossRef]
- Wang, H.; Jones, J.; Turner, T.; He, Q.P.; Hardy, S.; Grizzle, W.E.; Welch, D.R.; Yates, C. Clinical and Biological Significance of KISS1 Expression in Prostate Cancer. Am. J. Pathol. 2012, 180, 1170–1178. [CrossRef]
- Dhar, D.K.; Naora, H.; Kubota, H.; Maruyama, R.; Yoshimura, H.; Tonomoto, Y.; Tachibana, M.; Ono, T.; Otani, H.; Nagasue, N. Downregulation of KiSS-1 expression is responsible for tumor invasion and worse prognosis in gastric carcinoma. Int. J. Cancer 2004, 111, 868–872. [CrossRef]
- Martin, T.A.; Watkins, G.; Jiang, W.G. KiSS-1 Expression in Human Breast Cancer. Clin. Exp. Metastasis 2005, 22, 503–511. [CrossRef]
- Sarmiento, D.Y.R.; Sandoval, D.J.T.; Rondón-Villarreal, P. Structural analysis and cytotoxic evaluation of kisspeptin10 and analogs in types of cancer. Bionatura 2023, 8, 1–10. [CrossRef]
- World Health Organization. Cancer. Available online: https://www.who.int/news-room/fact-sheets/detail/cancer. (accessed on 19 January 2023).
- Fares, J.; Fares, M.Y.; Khachfe, H.H.; Salhab, H.A.; Fares, Y. Molecular principles of metastasis: a hallmark of cancer revisited. Signal Transduct. Target. Ther. 2020, 5, 28. [CrossRef]
- Merrifield, R.B., Solid Phase Peptide Synthesis .1. Synthesis of a Tetrapeptide. Journal of the American Chemical Society, 1963. 85(14): p. 2149-&.
- Santos, G.A., et al., Comparative analyses of downstream signal transduction targets modulated after activation of the AT1 receptor by two beta-arrestin-biased agonists. Front Pharmacol, 2015. 6: p. 131.
- Hainaut, P. and A. Plymoth, Targeting the hallmarks of cancer: towards a rational approach to next-generation cancer therapy. Curr Opin Oncol, 2013. 25(1): p. 50-1.
- Hanahan, D.; Weinberg, R.A. Hallmarks of cancer: The next generation. Cell 2011, 144, 646–674. [CrossRef]
- Schneider, C.A.; Rasband, W.S.; Eliceiri, K.W. NIH Image to ImageJ: 25 Years of image analysis. Nat. Methods 2012, 9, 671–675. [CrossRef]
- Gaitonde, S.A. and M. Bouvier, Enhanced Bystander BRET (ebBRET) Biosensors as Biophysical Tools to Map the Signaling Profile of Neuropsychiatric Drugs Targeting GPCRs. Methods Mol Biol, 2023. 2687: p. 15-30.
- Avet, C., et al., Effector membrane translocation biosensors reveal G protein and betaarrestin coupling profiles of 100 therapeutically relevant GPCRs. Elife, 2022. 11.
- Lamiable, A., et al., PEP-FOLD3: faster de novo structure prediction for linear peptides in solution and in complex. Nucleic Acids Res, 2016. 44(W1): p. W449-54.
- Mirdita, M., et al., ColabFold: making protein folding accessible to all. Nat Methods, 2022. 19(6): p. 679-682.
- Wiederstein, M. and M.J. Sippl, ProSA-web: interactive web service for the recognition of errors in three-dimensional structures of proteins. Nucleic Acids Res, 2007. 35(Web Server issue): p. W407-10.
- Jo, S., et al., CHARMM-GUI: a web-based graphical user interface for CHARMM. J Comput Chem, 2008. 29(11): p. 1859-65.
- Klähn, M.; Zacharias, M. Transformations in plasma membranes of cancerous cells and resulting consequences for cation insertion studied with molecular dynamics. Phys. Chem. Chem. Phys. 2013, 15, 14427–14441. [CrossRef]
- Abraham, M.J.; Murtola, T.; Schulz, R.; Páll, S.; Smith, J.C.; Hess, B.; Lindahl, E. GROMACS: High performance molecular simulations through multi-level parallelism from laptops to supercomputers. SoftwareX 2015, 1, 19–25. [CrossRef]
- Ohtaki, T.; Shintani, Y.; Honda, S.; Matsumoto, H.; Hori, A.; Kanehashi, K.; Terao, Y.; Kumano, S.; Takatsu, Y.; Masuda, Y.; et al. Metastasis suppressor gene KiSS-1 encodes peptide ligand of a G-protein-coupled receptor. Nature 2001, 411, 613–617. [CrossRef]
- Steinhauser, D.; Usadel, B.; Luedemann, A.; Thimm, O.; Kopka, J. CSB.DB: a comprehensive systems-biology database. Bioinformatics 2004, 20, 3647–3651. [CrossRef]
- Kotani, M.; Detheux, M.; Vandenbogaerde, A.; Communi, D.; Vanderwinden, J.-M.; Le Poul, E.; Brézillon, S.; Tyldesley, R.; Suarez-Huerta, N.; Vandeput, F.; et al. The Metastasis Suppressor Gene KiSS-1 Encodes Kisspeptins, the Natural Ligands of the Orphan G Protein-coupled Receptor GPR54. J. Biol. Chem. 2001, 276, 34631–34636. [CrossRef]
- Zhu, C.; Takasu, C.; Morine, Y.; Bando, Y.; Ikemoto, T.; Saito, Y.; Yamada, S.; Imura, S.; Arakawa, Y.; Shimada, M. KISS1 Associates with Better Outcome via Inhibiting Matrix Metalloproteinase-9 in Colorectal Liver Metastasis. Ann. Surg. Oncol. 2015, 22, 1516–1523. [CrossRef]
- Yoo, B.H.; Berezkin, A.; Wang, Y.; Zagryazhskaya, A.; Rosen, K.V. Tumor suppressor protein kinase Chk2 is a mediator of anoikis of intestinal epithelial cells. Int. J. Cancer 2011, 131, 357–366. [CrossRef]
- Kullmann, M.K.; Pegka, F.; Ploner, C.; Hengst, L. Stimulation of c-Jun/AP-1-Activity by the Cell Cycle Inhibitor p57Kip2. Front. Cell Dev. Biol. 2021, 9. [CrossRef]
- Chong, Z.Z.; Shang, Y.C.; Wang, S.; Maiese, K. PRAS40 Is an Integral Regulatory Component of Erythropoietin mTOR Signaling and Cytoprotection. PLOS ONE 2012, 7, e45456. [CrossRef]
- Houles, T.; Roux, P.P. Defining the role of the RSK isoforms in cancer. Semin. Cancer Biol. 2018, 48, 53–61. [CrossRef]
- Erdogan, F.; Radu, T.B.; Orlova, A.; Qadree, A.K.; de Araujo, E.D.; Israelian, J.; Valent, P.; Mustjoki, S.M.; Herling, M.; Moriggl, R.; et al. JAK-STAT core cancer pathway: An integrative cancer interactome analysis. J. Cell. Mol. Med. 2022, 26, 2049–2062. [CrossRef]
- Dimberg, A., et al., Ser727/Tyr701-phosphorylated Stat1 is required for the regulation of c-Myc, cyclins, and p27Kip1 associated with ATRA-induced G0/G1 arrest of U-937 cells. Blood, 2003. 102(1): p. 254-61.
- Smith, H.L.; Southgate, H.; Tweddle, D.A.; Curtin, N.J. DNA damage checkpoint kinases in cancer. Expert Rev. Mol. Med. 2020, 22, e2. [CrossRef]
- Nateri, A.S.; Spencer-Dene, B.; Behrens, A. Interaction of phosphorylated c-Jun with TCF4 regulates intestinal cancer development. Nature 2005, 437, 281–285. [CrossRef]
- Ji, K., et al., The Kiss-1/Kiss-1R complex as a negative regulator of cell motility and cancer metastasis (Review). Int J Mol Med, 2013. 32(4): p. 747-54.
- Kenakin, T.; Watson, C.; Muniz-Medina, V.; Christopoulos, A.; Novick, S. A Simple Method for Quantifying Functional Selectivity and Agonist Bias. ACS Chem. Neurosci. 2012, 3, 193–203. [CrossRef]




| Peptide | Sequence | Mass Spectrometry (Da) | |||||||||||
|---|---|---|---|---|---|---|---|---|---|---|---|---|---|
| Calculated | Observed | ||||||||||||
| KP-10 | Tyr | Asn | Trp | Asn | Ser | Phe | Gly | Leu | Arg | Phe | 1304 | 1303,537 | |
| Ala1-KP10 | Ala | Asn | Trp | Asn | Ser | Phe | Gly | Leu | Arg | Phe | 1211 | 1211,234 | |
| Ala2-KP10 | Tyr | Ala | Trp | Asn | Ser | Phe | Gly | Leu | Arg | Phe | 1261 | 1261,461 | |
| Ala3-KP10 | Tyr | Asn | Ala | Asn | Ser | Phe | Gly | Leu | Arg | Phe | 1188 | 1188,489 | |
| Ala4-KP10 | Tyr | Asn | Trp | Ala | Ser | Phe | Gly | Leu | Arg | Phe | 1260 | 1260,589 | |
| Ala5-KP10 | Tyr | Asn | Trp | Asn | Ala | Phe | Gly | Leu | Arg | Phe | 1288 | 1288,241 | |
| Ala6-KP10 | Tyr | Asn | Trp | Asn | Ser | Ala | Gly | Leu | Arg | Phe | 1228 | 1228,284 | |
| Ala7-KP10 | Tyr | Asn | Trp | Asn | Ser | Phe | Ala | Leu | Arg | Phe | 1318 | 1318,354 | |
| Ala8-KP10 | Tyr | Asn | Trp | Asn | Ser | Phe | Gly | Ala | Arg | Phe | 1262 | 1262,203 | |
| Ala9-KP10 | Tyr | Asn | Trp | Asn | Ser | Phe | Gly | Leu | Ala | Phe | 1218 | 1218,613 | |
| Ala10-KP10 | Tyr | Asn | Trp | Asn | Ser | Phe | Gly | Leu | Arg | Ala | 1227 | 1226,697 | |
| Peptide | pIC50 | ||||
|---|---|---|---|---|---|
| HEK293T | HeLa | MCF7 | PC3 | AGS | |
| KP-10 | 2,489 | 3,209 | 3,106 | 2,678 | 43,88 |
| Ala1-KP10 | 2,311 | 2,483 | 2,947 | 2,475 | 50,33 |
| Ala2-KP10 | 2,918 | 0,5728 | 2,756 | 2,67 | 38,71 |
| Ala3-KP10 | 2,959 | -0,6081 | 2,624 | 2,737 | 51,7 |
| Ala4-KP10 | 3,489 | -0,2705 | 3,132 | 2,541 | 43,25 |
| Ala5-KP10 | 3,335 | 2,61 | 3,327 | 2,203 | 43,42 |
| Ala6-KP10 | 3,518 | 2,523 | 3,168 | 2,461 | 38,05 |
| Ala7-KP10 | 3,027 | 2,554 | 3,009 | 2,42 | 49,16 |
| Ala8-KP10 | 4,017 | 2,564 | 3,15 | 2,151 | 34,5 |
| Ala9-KP10 | 4,197 | 2,429 | 3,183 | 2,295 | 36,86 |
| Ala10-KP10 | 3,292 | 2,493 | 2,826 | 1,739 | 34,56 |
| Inactive | KP10 | Ala3-KP10 | Ala4-KP10 |
|---|---|---|---|
| TM1 | 0,868 | 0,937 | 0,529 |
| TM2 | 1,254 | 0,510 | 0,803 |
| TM3 | 0,525 | 0,665 | 0,495 |
| TM4 | 0,711 | 0,568 | 1,880 |
| TM5 | 0,770 | 0,849 | 0,604 |
| TM6 | 1,046 | 1,096 | 1,118 |
| TM7 | 1,045 | 0,751 | 0,941 |
Disclaimer/Publisher’s Note: The statements, opinions and data contained in all publications are solely those of the individual author(s) and contributor(s) and not of MDPI and/or the editor(s). MDPI and/or the editor(s) disclaim responsibility for any injury to people or property resulting from any ideas, methods, instructions or products referred to in the content. |
© 2024 by the authors. Licensee MDPI, Basel, Switzerland. This article is an open access article distributed under the terms and conditions of the Creative Commons Attribution (CC BY) license (http://creativecommons.org/licenses/by/4.0/).