Submitted:
11 May 2024
Posted:
22 May 2024
You are already at the latest version
Abstract
Keywords:
1. Introduction
2. Materials and Methods
2.1. Core Plugs and Solutions
2.2. Core Plug Saturation
2.3. Modified Amott-Cell Experiment
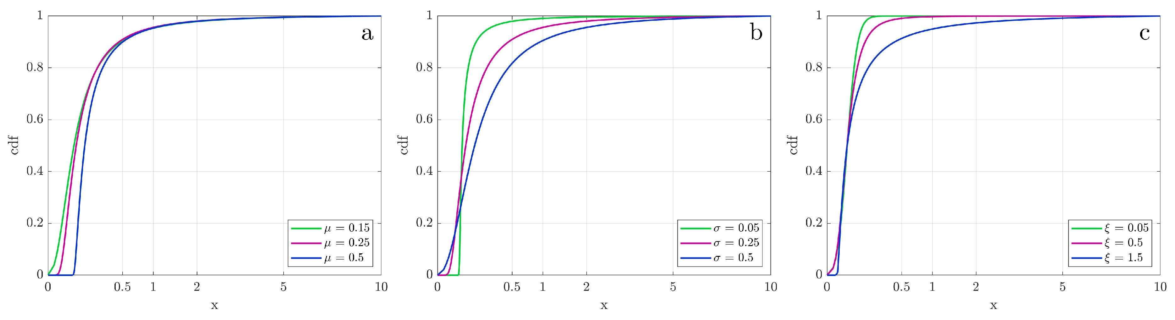
2.4. GEV Scaling of Cumulative Oil Recovery
2.4.1. GEV Distribution
2.4.2. Finding from a Nonlinear Constrained Nelder-Mead Optimization
2.4.3. Analysis of Oil Production Dynamics

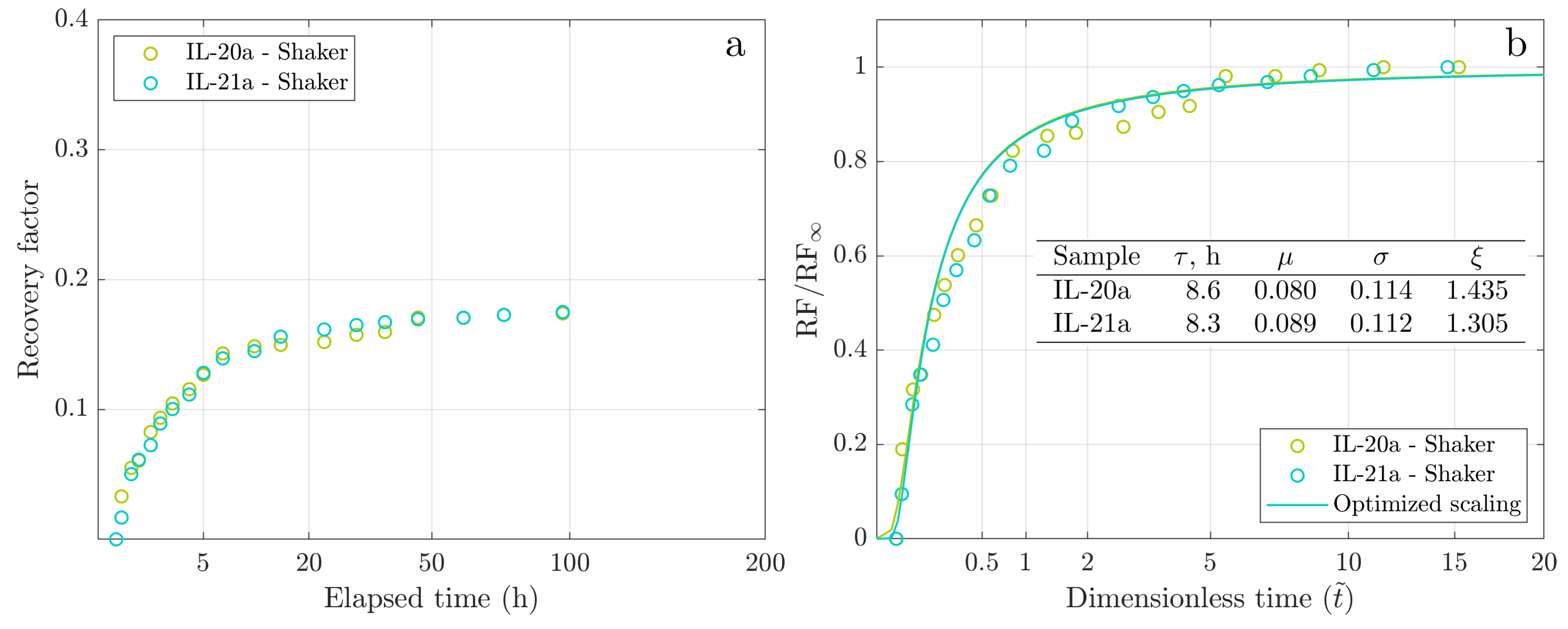
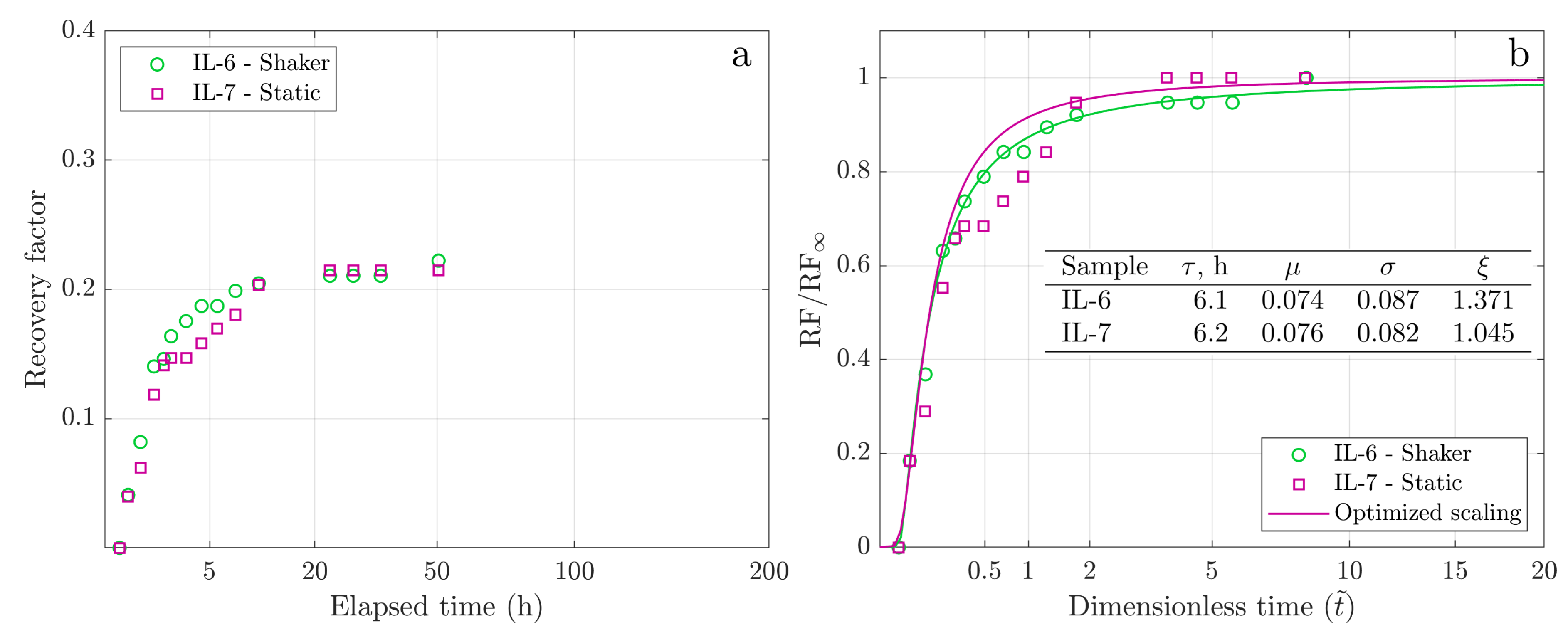
3. Results and Discussion
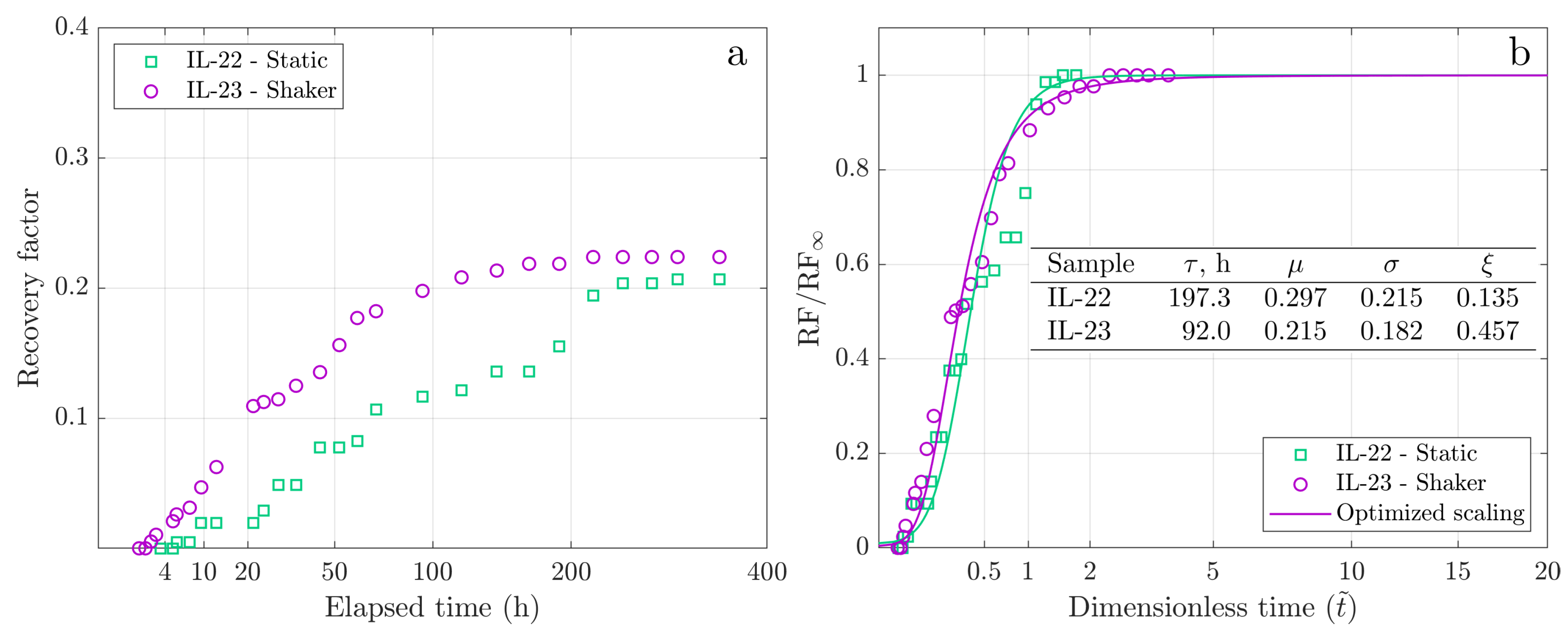
3.1. Oil Holdup in Amott Experiments

3.2. Results of Imbibition Experiments and GEV Modeling
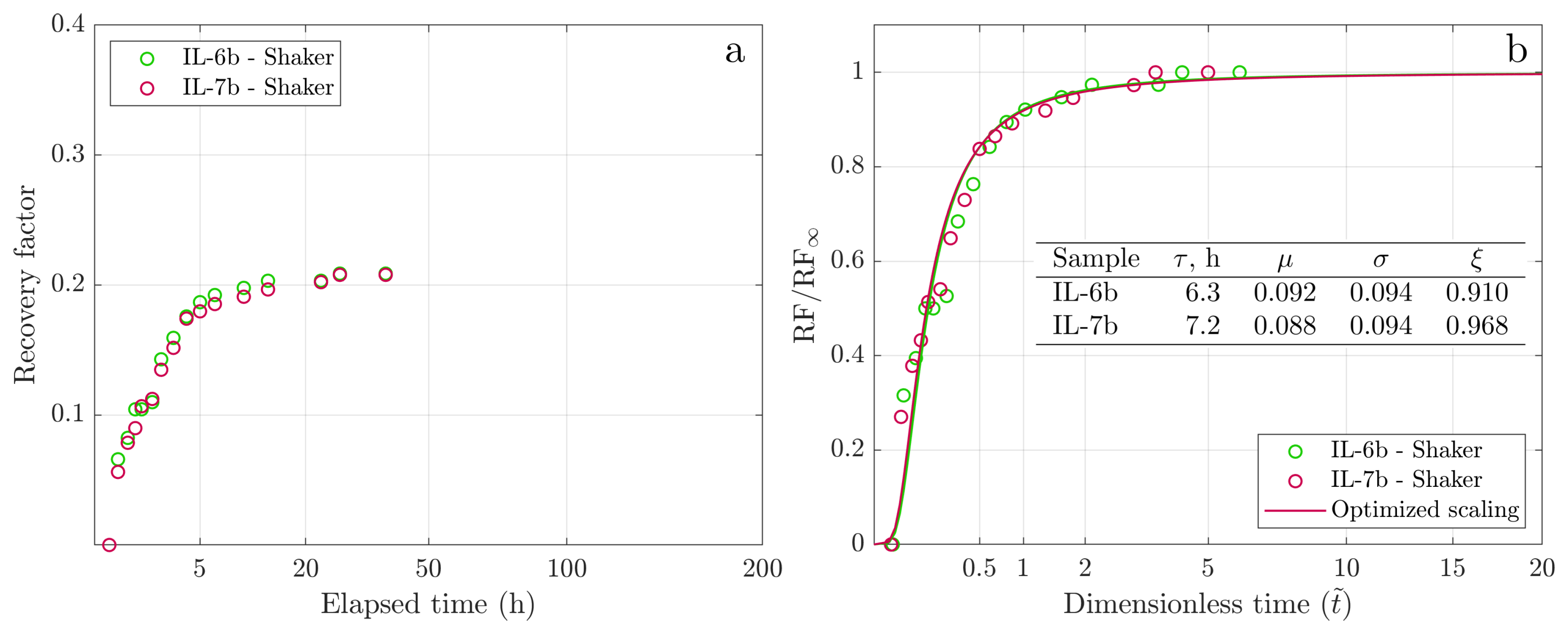
3.2.1. High–Viscosity Oil
3.2.2. Low-Viscosity Oil
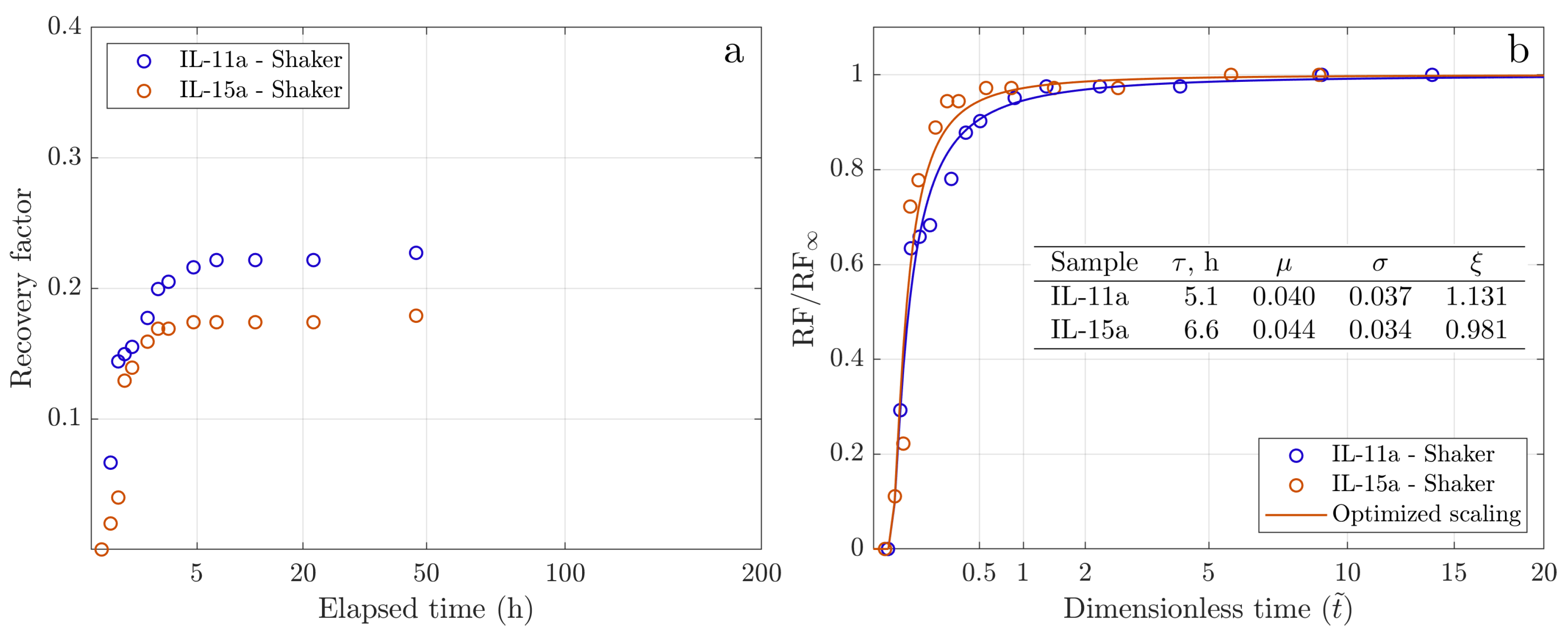
3.2.3. High-Permeability Core
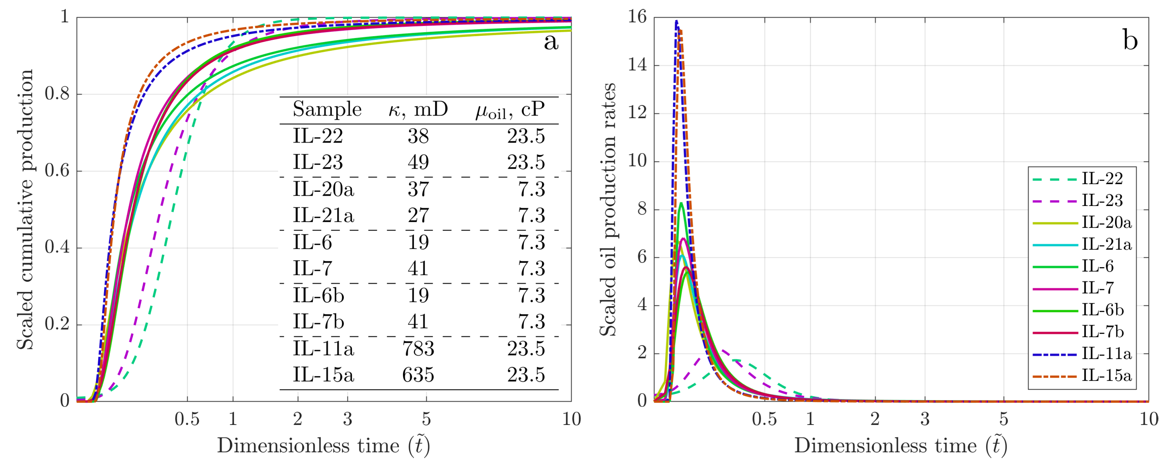
3.2.4. Summary
4. Conclusions
Author Contributions
Funding
Institutional Review Board Statement
Informed Consent Statement
Data Availability Statement
Acknowledgments
Conflicts of Interest
Appendix A
Appendix B

References
- Patzek, T.W.; Saad, A.M.; Hassan, A. Multimodal Carbonates: Distribution of Oil Saturation in the Microporous Regions of Arab Formations. Energies 2022, 15, 1243. [Google Scholar] [CrossRef]
- Lenormand, R.; Zarcone, C.; Sarr, A. Mechanisms of the Displacement of One Fluid by Another in a Network of Capillary Ducts. Journal of Fluid Mechanics 1983, 135, 337–353. [Google Scholar] [CrossRef]
- Zhao, B.; MacMinn, C.W.; Juanes, R. Wettability Control on Multiphase Flow in Patterned Microfluidics. Proceedings of the National Academy of Sciences 2016, 113, 10251–10256. [Google Scholar] [CrossRef] [PubMed]
- Amott, E. Observations Relating to the Wettability of Porous Rock. Petroleum Transactions, AIME 1959, 216, 156–162. [Google Scholar] [CrossRef]
- Alaamri, J.; Chandra, V.; Addassi, M.; Hoteit, H. Experimental and Numerical Investigation of Spontaneous Imbibition in Multilayered Porous Systems. Energy & Fuels 2023, 37, 11694–11706. [Google Scholar] [CrossRef]
- Fernø, M.; Haugen, Å.; Wickramathilaka, S.; Howard, J.; Graue, A.; Mason, G.; Morrow, N. Magnetic Resonance Imaging of the Development of Fronts During Spontaneous Imbibition. Journal of Petroleum Science and Engineering 2013, 101, 1–11. [Google Scholar] [CrossRef]
- Fernø, M.; Haugen, A.; Brattekas, B.; Morrow, N.; Mason, G. Spontaneous Imbibition Revisited - A New Method to Determine Kr and Pc by Inclusion of the Capillary Backpressure. In Proceedings of the Proceedings. EAGE Publications BV; 2015. [Google Scholar] [CrossRef]
- Graue, A.; Viksund, B.G.; Eilertsen, T.; Moe, R. Systematic Wettability Alteration by Aging Sandstone and Carbonate Rock in Crude Oil. Journal of Petroleum Science and Engineering 1999, 24, 85–97. [Google Scholar] [CrossRef]
- Cobos, J.E.; Sandnes, M.; Steinsbo, M.; Brattekas, B.; Sogaard, E.G.; Graue, A. Evaluation of Wettability Alteration in Heterogeneous Limestone at Microscopic and Macroscopic Levels. Journal of Petroleum Science and Engineering 2021, 202, 108534. [Google Scholar] [CrossRef]
- Morrow, N.; Ma, S.; Zhou, X.; Zhang, X. Characterization of Wettability from Spontaneous Imbibition Measurements. Journal of Canadian Petroleum Technology 1999, 38. [Google Scholar] [CrossRef]
- Zhou, X.; Morrow, N.; Ma, S. Interrelationship of Wettability, Initial Water Saturation, Aging Time, and Oil Recovery by Spontaneous Imbibition and Waterflooding. SPE Journal 2000, 5, 199–207. [Google Scholar] [CrossRef]
- Ghedan, S.G.; Canbaz, C.H.; Mtawaa, B. Effect of Shape Factor, IFT and Amott Method Derived Wettability on the Imbibition Process. In Proceedings of the International Petroleum Technology Conference held in Doha, Qatar, 7–9 December 2009; 2009. [Google Scholar] [CrossRef]
- Clerke, E.; Funk, J.; Shtepani, E. Spontaneous Imbibition of Water into Oil Saturated M_1 Bimodal Limestone. In Proceedings of the International Petroleum Technology Conference, Beijing, China, March 2013; 2013. [Google Scholar] [CrossRef]
- Tang, G.Q.; Firoozabadi, A. Effect of Pressure Gradient and Initial Water Saturation on Water Injection in Water-Wet and Mixed-Wet Fractured Porous Media. SPE Reservoir Evaluation & Engineering 2001, 4, 516–524. [Google Scholar] [CrossRef]
- Fernø, M.A.; Torsvik, M.; Haugland, S.; Graue, A. Dynamic Laboratory Wettability Alteration. Energy & Fuels 2010, 24, 3950–3958. [Google Scholar] [CrossRef]
- Akin, S.; Schembre, J.M.; Bhat, S.K.; Kovscek, A.R. Spontaneous Imbibition Characteristics of Diatomite. J. Petroleum Sci. and Eng. 2000, 25, 149–165. [Google Scholar] [CrossRef]
- Salathiel, R. Oil Recovery by Surface Film Drainage In Mixed-Wettability Rocks. Journal of Petroleum Technology 1973, 25, 1216–1224. [Google Scholar] [CrossRef]
- Patzek, T.W. Verification of a Complete Pore Network Model of Drainage and Imbibition. SPEJ 2001, 6, 144–156. [Google Scholar] [CrossRef]
- Kovscek, A.R.; Wong, H.; Radke, C.J. A Pore-Level Scenario for the Development of Mixed Wettability in Oil Reservoirs. AIChE Journal 1993, 39, 1072–1085. [Google Scholar] [CrossRef]
- Schmatz, J.; Klaver, J.; Jiang, M.; Urai, J.L. Nanoscale Morphology of Brine-Oil-Mineral Contacts in Connected Pores of Carbonate Reservoirs: Insights on Wettability from Cryo-BIB-SEM. In Proceedings of the Day 1 Wed, April 20, 2016; SPE, 2016; p. 16BERG. [Google Scholar] [CrossRef]
- Freer, E.; Svitova, T.; Radke, C. The role of interfacial rheology in reservoir mixed wettability. Journal of Petroleum Science and Engineering 2003, 39, 137–158. [Google Scholar] [CrossRef]
- Hu, X.; Yutkin, M.P.; Hassan, S.; Wu, J.; Prausnitz, J.M.; Radke, C.J. Asphaltene Adsorption from Toluene onto Silica through Thin Water Layers. Langmuir 2018, 35, 428–434. [Google Scholar] [CrossRef] [PubMed]
- Schechter, D.; Zhou, D.; Orr, F. Low IFT Drainage and Imbibition. Journal of Petroleum Science and Engineering 1994, 11, 283–300. [Google Scholar] [CrossRef]
- Kashchiev, D.; Firoozabadi, A. Analytical Solutions for 1-D Countercurrent Imbibition in Water-Wet Media. In Proceedings of the SPE/DOE Improved Oil Recovery Symposium, Tulsa, Oklahoma, April 2002. [Google Scholar] [CrossRef]
- Babadagli, T. Dynamics of Capillary Imbibition When Surfactant, Polymer, and Hot Water Are Used as Aqueous Phase for Oil Recovery. Journal of Colloid and Interface Science 2002, 246, 203–213. [Google Scholar] [CrossRef]
- Xie, X.; Morrow, N.R. Oil Recovery by Spontaneous Imbibition from Weakly Water-Wet Rocks. Petrophysics 2001, 42, 313–322. [Google Scholar]
- Sukee, A.; Nunta, T.; Haruna, M.A.; Kalantariasl, A.; Tangparitkul, S. Influence of Sequential Changes in the Crude Oil-Water Interfacial Tension on Spontaneous Imbibition in Oil-Wet Sandstone. Journal of Petroleum Science and Engineering 2022, 210, 110032. [Google Scholar] [CrossRef]
- Standnes, D.C. Experimental Study of the Impact of Boundary Conditions on Oil Recovery by Co-Current and Counter-Current Spontaneous Imbibition. Energy & Fuels 2003, 18, 271–282. [Google Scholar] [CrossRef]
- Standnes, D.C. Spontaneous imbibition of water into cylindrical cores with high aspect ratio: Numerical and experimental results. Journal of Petroleum Science and Engineering 2006, 50, 151–160. [Google Scholar] [CrossRef]
- Richards, L.A. The Usefulness of Capillary Potential to Soil Moisture and Plant Investigations. J. Agricultural Research 1928, 37, 719–742. [Google Scholar]
- Richards, L.A. Capillary Conduction of Liquids Through Porous Medium. Physics 1931, 1, 318–333. [Google Scholar] [CrossRef]
- Muskat, M. The Flow of Homogeneous Fluids Through Porous Media; McGraw-Hill Book Company, Inc.: New York, 1937. [Google Scholar]
- Rapoport, L.A.; Leas, W.J. Properties of Linear Waterfloods. AIME 1953, 216, 139–148. [Google Scholar] [CrossRef]
- Kashchiev, D.; Firoozabadi, A. Analytical Solutions for 1D Countercurrent Imbibition in Water-Wet Media. SPE Journal 2003, 8, 401–408. [Google Scholar] [CrossRef]
- Schmid, K.S.; Geiger, S. Universal scaling of spontaneous imbibition for water-wet systems. Water Resources Research 2012, 48. [Google Scholar] [CrossRef]
- Schmid, K.; Geiger, S. Universal scaling of spontaneous imbibition for arbitrary petrophysical properties: Water-wet and mixed-wet states and Handy’s conjecture. Journal of Petroleum Science and Engineering 2013, 101, 44–61. [Google Scholar] [CrossRef]
- Schmid, K.S.; Alyafei, N.; Geiger, S.; Blunt, M.J. Analytical Solutions for Spontaneous Imbibition: Fractional-Flow Theory and Experimental Analysis. SPE Journal 2016, 21, 2308–2316. [Google Scholar] [CrossRef]
- Barenblatt, G.I.; Patzek, T.W.; Silin, D.B. The Mathematical Model of Non-Equilibrium Effects in Water-Oil Displacement. SPEJ 2003, 8, 409–416. [Google Scholar] [CrossRef]
- Mason, G.; Fischer, H.; Morrow, N.; Ruth, D. Correlation for the effect of fluid viscosities on counter-current spontaneous imbibition. Journal of Petroleum Science and Engineering 2010, 72, 195–205. [Google Scholar] [CrossRef]
- Mirzaei-Paiaman, A.; Masihi, M. Scaling Equations for Oil/Gas Recovery from Fractured Porous Media by Counter-Current Spontaneous Imbibition: From Development to Application. Energy & Fuels 2013, 27, 4662–4676. [Google Scholar] [CrossRef]
- Bassir, S.M.; Shokrollahzadeh Behbahani, H.; Shahbazi, K.; Kord, S.; Mirzaei-Paiaman, A. Towards prediction of oil recovery by spontaneous imbibition of modified salinity brine into limestone rocks: A scaling study. Journal of Petroleum Exploration and Production Technology 2022, 13, 79–99. [Google Scholar] [CrossRef]
- Silin, D.B.; Patzek, T.W. On the Barenblatt Model of Non-Equilibrium Imbibition. TiPM 2004, 54, 297–322. [Google Scholar]
- Gumbel, E.J. Statistics of Extremes; Columbia University Press: New York, 1958. [Google Scholar]
- Patzek, T.W.; Saputra, W.; Kirati, W.; Marder, M. Generalized Extreme Value Statistics, Physical Scaling, and Forecasts of Gas Production in the Barnett Shale. Energy & Fuels 2019, 33, 12154–12169. [Google Scholar] [CrossRef]
- Saputra, W.; Kirati, W.; Patzek, T. Physical Scaling of Oil Production Rates and Ultimate Recovery from All Horizontal Wells in the Bakken Shale. Energies 2020, 13, 2052. [Google Scholar] [CrossRef]
- Saputra, W.; Kirati, W.; Patzek, T.W. Generalized extreme value statistics, physical scaling and forecasts of gas production in the Haynesville shale. Journal of Natural Gas Science and Engineering 2021, 94, 104041. [Google Scholar] [CrossRef]
- Saputra, W.; Kirati, W.; Patzek, T. Generalized Extreme Value Statistics, Physical Scaling and Forecasts of Oil Production from All Vertical Wells in the Permian Basin. Energies 2022, 15, 904. [Google Scholar] [CrossRef]
- Kaprielova, K.; Yutkin, M.; Gmira, A.; Ayirala, S.; Radke, C.; Patzek, T. Improved Amott Cell Procedure for Predictive Modeling of Oil Recovery Dynamics from Mixed-Wet Carbonates. In Proceedings of the SPE Improved Oil Recovery Conference, Virtual, April 2022. apr 2022. [Google Scholar] [CrossRef]
- Kaprielova, K.; Yutkin, M.; Gmira, A.; Ayirala, S.; Yousef, A.; Radke, C.; Patzek, T. Improved Amott Tests Help Quantify Primary Driving Forces in Spontaneous Imbibition in Water-Wet and Oil-Wet Limestone Rock. In Proceedings of the Middle East Oil, Gas and Geosciences Show, Bahrain, February 2023. mar 2023. [Google Scholar] [CrossRef]
- Patzek, T.W.; Male, F.; Marder, M. Gas Production in the Barnett Shale Obeys a Simple Scaling Theory. Proceedings of the National Academy of Sciences 2013, 110, 19731–19736. [Google Scholar] [CrossRef] [PubMed]
- Saputra, W.; Kirati, W.; Patzek, T. Generalized Extreme Value Statistics, Physical Scaling and Forecasts of Oil Production in the Bakken Shale. Energies 2019, 12, 3641. [Google Scholar] [CrossRef]
- Saputra, W.; Kirati, W.; Patzek, T. Forecast of Economic Tight Oil and Gas Production in Permian Basin. Energies 2022, 15, 43. [Google Scholar] [CrossRef]
- Haider, S.; W., S.; W., P.T. The key physical factors that yield a good horizontal hydrofractured gas well in mudrock. Energies 2020, 13, 2348. [Google Scholar] [CrossRef]
- Saputra, W.; Patzek, T.; Torres-Verdín, C. URTEC-3858983-MS: Physics-Based and Data-Driven Production Forecasting in the Eagle Ford Shale. Society of Petroleum Engineers, SPE/AAPG/SEG Unconventional Resources Technology Conference, Jun 2023. [CrossRef]
- Nelder, J.A.; Mead, R. A Simplex Method for Function Minimization. Computer Journal 1965, 7, 308–313. [Google Scholar] [CrossRef]
- Akin, S.; Schembre, J.M.; Bhat, S.K.; Kovscek, A.R. Spontaneous Imbibition Characteristics of Diatomite. J. Petroleum Sci. and Eng. 2000, 25, 149–165. [Google Scholar] [CrossRef]









| Sample | , | , | Oil | , cP | , | RF, | Imbibition | GEV | GEV | GEV | GEV |
|---|---|---|---|---|---|---|---|---|---|---|---|
| code | % | mD | code | at 60 °C | fraction | fraction | regime | , h | |||
| IL-22 | 15.5 | 38 | Oil-2 * | 23.5 | 0.81 | 0.207 | static | 197.3 | 0.297 | 0.215 | 0.135 |
| IL-23 | 16.0 | 49 | Oil-2 | 23.5 | 0.72 | 0.224 | shaking | 92.0 | 0.215 | 0.182 | 0.457 |
| IL-20a | 16.0 | 37 | Oil-1 | 7.3 | 0.73 | 0.174 | shaking | 8.6 | 0.080 | 0.114 | 1.435 |
| IL-21a | 15.1 | 27 | Oil-1 | 7.3 | 0.75 | 0.176 | shaking | 8.3 | 0.089 | 0.112 | 1.305 |
| IL-6 | 14.8 | 19 | Oil-1 | 7.3 | 0.69 | 0.222 | shaking | 6.1 | 0.074 | 0.087 | 1.371 |
| IL-7 | 15.1 | 41 | Oil-1 | 7.3 | 0.70 | 0.215 | static | 6.2 | 0.076 | 0.082 | 1.045 |
| IL-6b | 14.8 | 19 | Oil-1 | 7.3 | 0.73 | 0.209 | shaking | 6.3 | 0.092 | 0.094 | 0.910 |
| IL-7b | 15.1 | 41 | Oil-1 | 7.3 | 0.70 | 0.208 | shaking | 7.2 | 0.088 | 0.094 | 0.968 |
| IL-11a | 15.9 | 783 | Oil-2 | 23.5 | 0.65 | 0.227 | shaking | 5.1 | 0.040 | 0.037 | 1.131 |
| IL-15a | 16.5 | 635 | Oil-2 | 23.5 | 0.70 | 0.179 | shaking | 6.6 | 0.044 | 0.034 | 0.981 |
Disclaimer/Publisher’s Note: The statements, opinions and data contained in all publications are solely those of the individual author(s) and contributor(s) and not of MDPI and/or the editor(s). MDPI and/or the editor(s) disclaim responsibility for any injury to people or property resulting from any ideas, methods, instructions or products referred to in the content. |
© 2024 by the authors. Licensee MDPI, Basel, Switzerland. This article is an open access article distributed under the terms and conditions of the Creative Commons Attribution (CC BY) license (http://creativecommons.org/licenses/by/4.0/).
