Submitted:
14 May 2024
Posted:
15 May 2024
You are already at the latest version
Abstract

Keywords:
1. Introduction
2. Research Process
2.1. Research Framework
2.2. Construction of Evaluation Models
2.2.1. Construction of an Evaluation Index System and Weight Calculation
2.2.2. Criteria for Classifying Indicators and Low Carbon Intensity of Energy Consumption Determination
2.3. Application of Evaluation Model
3. Results and Discussion
3.1. Evaluation Results and Discussion of Energy Cleanliness (C)
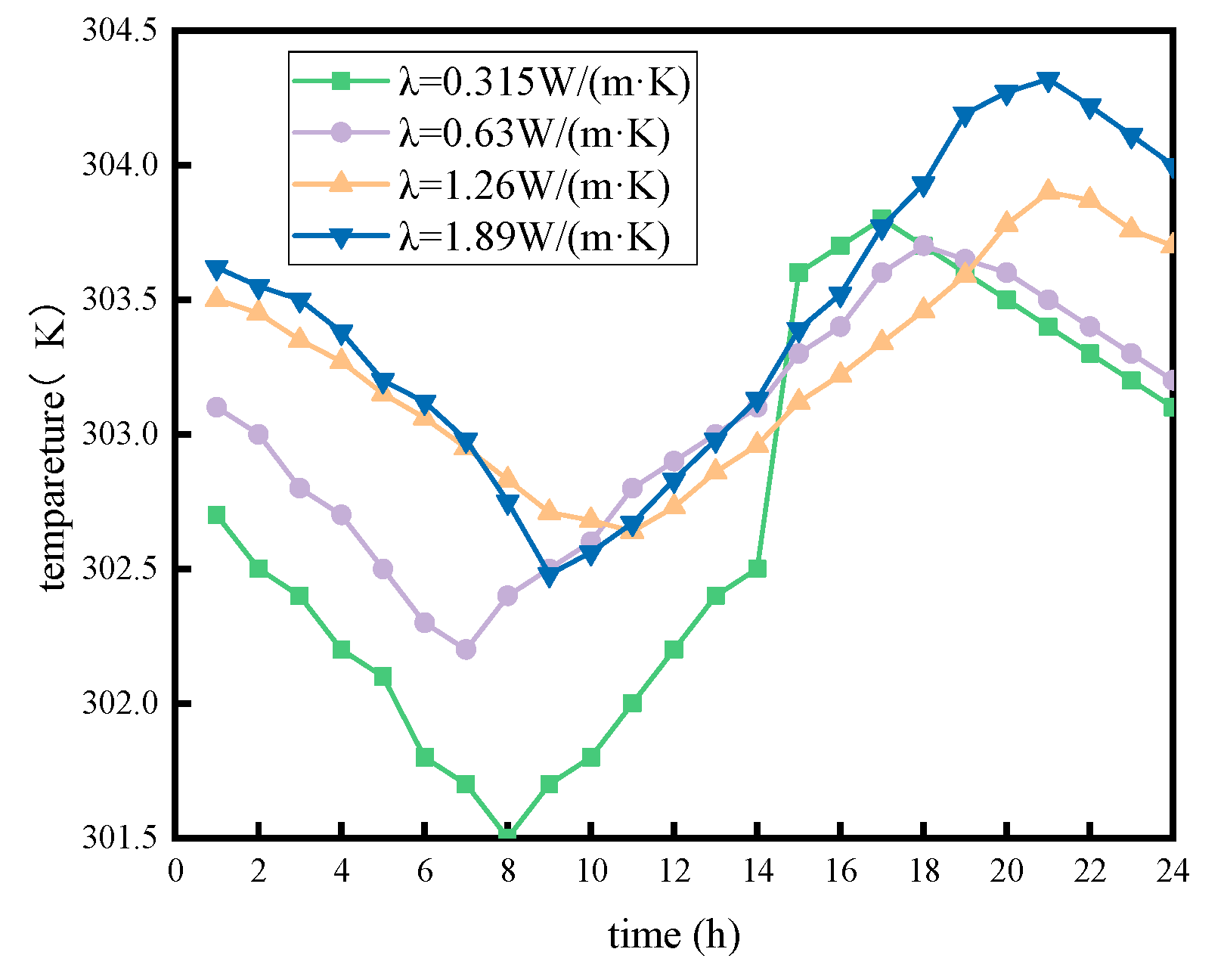
3.2. Results and Discussion of Building Energy Efficiency (E) Evaluation
3.3. Results and Discussion of Self-discipline Evaluation for Residents (S)
3.4. Low Carbon Degree of Energy Consumption (LCD) for Rural Buildings Synthesis Results and Discussion
4. Recommendations
4.1. Energy Efficiency Transformation
4.2. Transformation of Energy Carriers
4.3. Implement Behavioral Guidance
5. Conclusions
Acknowledgments
References
- Jiashi Han, Lei Zhang,Yang Li. Hotspots. flaws and deficiencies of research on rural energy upgrading:A review. Energy Strategy Reviews 38 (2021) 100766. [CrossRef]
- Donglin Zhang, Yong Ding, Lingxiao Fan, Xiangting Jiang. New indicator for a comprehensive evaluation of building energy performance through spatial and temporal dimensions.Energy & Buildings. [CrossRef]
- Zhengxuan Liu,Chenxi Yu, Queena K Qian, Ruopeng Huang, Kairui You,Henk Visscher, Guoqiang Zhang. Incentive initiatives on energy-efficient renovation of existing buildings towards carbon–neutral blueprints in China: Advancements, challenges and prospects. Energy & Buildings 296 (2023) 113343. [CrossRef]
- Geoffrey.K.F. Tso, JingJing Guan. A multilevel regression approach to understand effects of environment indicators and household features on residential energy consumption, Energy 66 (2014) 722–731. [CrossRef]
- 5. Keith J. Baker, R.Mark Rylatt. Improving the prediction of UK domestic energy-demand using annual consumption-data, Appl. Energy 85 (6) (2008) 475–482. [CrossRef]
- Shva.Saadatian, Nuno.Simoes, Fausto Freire. Integrated environmental, energy and cost lifecycle analysis of windows: optimal selection of components, Build. Environ. 188 (2021) 107516. [CrossRef]
- Chanita. Mano, Atthakorn Thongtha. Enhanced thermal performance of roofing materials by integrating phase change materials to reduce energy consumption in buildings, J. Renew. Mater. 9 (3) (2021). [CrossRef]
- Yanling Wang, Fang Wanga, Haiyan Wanga. Influencing factors regression analysis of heating energy consumption of rural buildings in China. Procedia Engineering 205 (2017) 3585–3592. [CrossRef]
- Cristina Marincu, Daniel Dan, Ligia Moga. Investigating the influence of building shape and insulation thickness on energy efficiency of buildings. Energy for Sustainable Development 79 (2024) 101384. [CrossRef]
- Xiaoliang Wang, Yi Wu, Xinyi Dong, Manshu Liu, Bo Lei, Xianmin Mai. Optimization of global energy consumption of buildings based on photothermal coupling effect of exterior windows in Qinghai-Tibet plateau. Journal of Building Engineering 85 (2024) 108710. [CrossRef]
- Issa Bosu, Hatem Mahmoud, Shinichi Ookawara, Hamdy Hassan. Applied single and hybrid solar energy techniques for building energy consumption and thermal comfort: A comprehensive review. Solar Energy 259 (2023) 188–228. [CrossRef]
- Lingyan Li, Wangming Sun, Wei Hu, Yongkai. Sun. Impact of natural and social environmental factors on building energy consumption: based on bibliometrics, J. Build. Eng. 37 (2021) 102136. [CrossRef]
- Abdeen Mustafa Omer. Energy, environment and sustainable development, Renew. Sustain. Energy Rev. 12 (9) (2008) 2265–2300. [CrossRef]
- Jihui Yuan, Zhichao Jiao, Xiong Xiao, Kazuo Emura, Craig Farnham. Impact of future climate change on energy consumption in residential buildings: A case study for representative cities in Japan. Energy Reports 11 (2024) 1675–1692. [CrossRef]
- Ivan Julio Apolonion Callegas, Raquel Moussalem Apolonio, Emeli Lalesca Aparecida da Guarda, Luciane Cleonice Durante, Karyna de Andrade Carvalho Rosseti, Filipa Roseta and Leticia Mendes do Amarante. Bermed earth-sheltered wall for low-income house: thermal and energy measure to face climate change in tropical region, Appl. Sci. 11 (1) (2021). [CrossRef]
- Mohammadjavad Mahdavinejad, Hassan Bazazzadeh, Fatemeh Mehrvarz,Umberto Berardi, Tahereh Nasr, Somayeh Pourbagher, Siamak Hoseinzadeh. The impact of facade geometry on visual comfort and energy consumption in an office building in different climates. Energy Reports 11 (2024) 1–17. [CrossRef]
- Qiaoni Wei, Qifen Li, Yongwen Yang, Liting Zhang, Wanying Xie. A summary of the research on building load forecasting model of colleges and universities in North China based on energy consumption behavior: A case in North China. Energy Reports 8 (2022) 1446–1462. [CrossRef]
- Jiaojiao Duan, Nianping Li, Jinqing Peng, Qingqing Liu, Ting Peng,Sheng Wang. Clustering and prediction of space cooling and heating energy consumption in high-rise residential buildings with the influence of occupant behavior: Evidence from a survey in Changsha, China. Journal of Building Engineering 76 (2023) 107418. [CrossRef]
- Douglas Roschildt Hax, Rodrigo Karini Leitzke, Antonio César Silveira Baptista da Silva,Eduardo Grala da Cunha. Influence of user behavior on energy consumption in a university building versus automation costs. Energy & Buildings 256 (2022) 111730. [CrossRef]
- Xiaoxiao Xu, Hao Yu, Qiuwen Sun, Vivian W.Y. Tam. A critical review of occupant energy consumption behavior in buildings:How we got here, where we are, and where we are headed. Renewable and Sustainable Energy Reviews 182 (2023) 113396. [CrossRef]
- Dasheng Lee, Chin-Chi Cheng. Energy savings by energy management systems: a review, Renew. Sustain. Energy Rev. 56 (2016) 760–777. [CrossRef]
- Jing Lan, SufyanUllah Khan, Muhammad Sadiq, Fengsheng Chien, Zulfiqar Ali Baloch. Evaluating energy poverty and its effects using multi-dimensional based DEA-like mathematical composite indicator approach: findings from Asia. Energy Policy 2022:165. [CrossRef]
- Altintas Koray, Vayvay Ozalp, Apak Sinan, Cobanoglu Emine. An extended GRA method integrated with fuzzy AHP to construct a multidimensional index for ranking overall energy sustainability performances. Sustain Switz 2020:12. [CrossRef]
- Ponomarenko Tatiana, Reshneva Ekaterina, Mosquera Urbano Alexander Patricio. Assessment of energy sustainability issues in the Andean community: additional indicators and their interpretation. Energies 2022:15. [CrossRef]
- XingtaoTian, Xiaojie Lin, Wei Zhong, Yi Zhou. Security assessment of electricity-gas-heat integrated energy systems based on the vulnerability index. Energy 2022:249. [CrossRef]
- Guevara-Luna Marco, Ramos Luis, Casallas Alejandro, Guevara Fredy. Design of an energy vulnerability index — spatial and temporal analysis: case of study Colombia.Environ Sci Pollut Res 2022. [CrossRef]
- Ghadim Mahta Ghafarian, Faridzad Ali. Composite energy intensity index estimation in Iran: an exploration of index decomposition analysis. Polityka Energ 2021;24:5–28. [CrossRef]
- Sandu Suwin, Yang Muyi, Phoumin Han, Aghdam Reza Fathollahzadeh, Xunpeng Shi. Assessment of accessible, clean and efficient energy systems: a statistical analysis of composite energy performance indices. Appl Energy 2021:304. [CrossRef]
- Wanjing Cheng, Dongxu Mo, Yajun Tian, Wenqiang Xu, Kechang Xie. Research on the composite index of the modern Chinese energy system. Sustain Switz 2019:11. [CrossRef]



















| Criterion layer | weight | Sub-canonical layer | weight | Factor layer | weight | Normalized values | ||||
| q∈[80,100] | q∈[60,80) | q∈[40,60) | q∈[20,40) | q<20 | ||||||
| Energy Cleanliness C | 0.559 | Energy Supply and Demand C1 | 0.071 | Clean energy demand satisfaction C11(subjective) | 0.041 | Satisfaction with clean energy demand is high | Satisfaction with clean energy demand is relatively high | Satisfaction with clean energy demand is average | Satisfaction with clean energy demand is relatively low | Satisfaction with clean energy demand is low |
| Energy price stability C12(subjective) | 0.016 | Energy prices are stable | Energy prices are relatively stable | Energy prices vary in general | Energy prices are relatively highly volatile | Energy prices are highly volatile | ||||
| Energy Subsidies and Satisfaction C13(subjective) | 0.013 | Residents are highly satisfied with energy subsidies | Residents are more satisfied with energy subsidies | Residents’ satisfaction with energy subsidies is average | Residents’ satisfaction with energy subsidies is relatively low | Residents’ satisfaction with energy subsidies is low | ||||
| Energy Use C2 | 0.285 | Electricity consumption per capita C21 | 0.064 | Electricity consumption Q∈ [646,727] | Electricity consumption Q∈(727,808] | Electricity consumption Q∈(808,889] | Electricity consumption Q∈(889,970] | Electricity consumption Q∈(970,1051] | ||
| Gas consumption per capita C22 | 0.041 | Gas consumption G∈[72,81] |
Gas consumption G∈(81,90] | Gas consumption G∈(90,99] | Gas consumption G∈(99,108] | Gas consumption G∈(108,117] | ||||
| Proportion of energy use from commodities C23 | 0.074 | commodity energy use/total energy ×100% | ||||||||
| Proportion of renewable energy usage C24 | 0.105 | Total clean energy usage/total energy usage×100% | ||||||||
| Energy Sustainable C3 | 0.204 | Biomass energy utilisation C31 | 0.102 | It meets the requirements of biogas digester on-site use and has a high frequency of use | It meets the requirements of biogas digester on-site use and the frequency of use is average | It meets the requirements of biogas digester on-site use and is used less frequently | Does not meet the requirements for use or does not use modern biomass energy | Conventional biomass energy is used | ||
| Solar energy systems C32 | 0.102 | 30 points for solar thermal equipment, 30 points for solar photovoltaic equipment, and 20 points for setting up a sunshine room, and the cumulative score is calculated | ||||||||
| Building Energy Efficiency E | 0.297 | Architectural Design E1 | 0.098 | Building Site Selection E11 | 0.043 | According to the definition of the rationality of building site selection in relevant specifications, five main conditions are established to determine the evaluation criteria for building site selection based on the number of buildings | ||||
| 5 conditions are met | 4 conditions are met | 3 conditions are met | 2 conditions are met | 0-1 conditions are met | ||||||
| Building orientation E12 | 0.016 | The growth rate of energy consumption is 0%-3%, corresponding to the direction | The growth rate of energy consumption is 3%-6%, corresponding to the direction | The growth rate of energy consumption is 6%-9%, corresponding to the direction | The energy consumption growth rate of 9%-12% corresponds to the direction | The energy consumption growth rate is greater than 12%, corresponding to the direction | ||||
| Architectural space layout E13 | 0.025 | Floor height 2.7≤h≤3.0 | Floor height 3.0<h≤3.3 | loor height 3.0<h≤3.3 | Floor height 3.6<h≤3.9 | Floor height 3.9<h≤4.2 | ||||
| Building Form Factor E14 | 0.013 | 0.35≤Tx≤0.45 | 0.45<Tx≤0.55 | 0.55<Tx≤0.75 | 0.75<Tx≤0.95 | 0.95<Tx≤1.2 | ||||
| Envelope Structure E2 | 0.131 | Thermal Performance of Exterior Walls E21 | 0.041 | 0.6≤Km≤1.0 | 1.0<Km≤1.4 | 1.4<Km≤1.8 | 1.8<Km≤2.2 | 2.2<Km≤2.6 | ||
| Thermal Performance of Exterior Windows E22 | 0.041 | 1.4≤Kw≤2.4 | 2.4<Kw≤3.4 | 3.4<Kw≤4.4 | 4.4<Kw≤5.4 | 5.4<Kw≤6.4 | ||||
| Thermal Performance of Roofing E23 | 0.022 | 0.8≤Kr≤1.4 | 1.4<Kr≤2.0 | 2.0<Kr≤2.6 | 2.6<Kr≤3.2 | 3.2<Kr≤4.0 | ||||
| External shading measures E24 | 0.027 | 2.0≤L≤2.7 | 1.5<L≤2.0 | 1.0<L≤1.5 | 0.5<L≤1.0 | 0<L≤0.5 | ||||
| Building Material E3 | 0.068 | Building materials localization ratio E31 | 0.026 | City-wide use of building materials/total use of building materials×100% | ||||||
| Utilization rate of environmentally friendly construction materials E32 | 0.042 | Green building materials used/total building materials used×100% | ||||||||
| Resident Self-discipline S | 0.144 | Awareness Management S1 | 0.042 | Widespread awareness of low carbon S11(subjective) | 0.016 | Residents have a high level of low-carbon knowledge | Residents have a relatively high level of low-carbon knowledge | Residents’ low-carbon knowledge is average | Residents’ understanding of low-carbon knowledge is relatively low | Residents’ low-carbon knowledge is low |
| Acceptance of Low-Carbon Living S12(subjective) | 0.011 | The main low-carbon lifestyles are green consumption, food conservation, residential energy-saving renovation, energy-saving household appliances, garbage classification, and clean travel | ||||||||
| Meet 5-6 items | Meet 4 items | Meet 3 items | Meet 2 items | Meet 0-1 items | ||||||
| Responsiveness to low-carbon construction S13(subjective) | 0.015 | The village residents are supportive of infrastructure construction | Residents are in favour of the development of rural infrastructure and hardware | Residents generally support the construction of rural infrastructure and hardware | The construction of rural infrastructure is less supported by residents | Residents do not support the construction of rural infrastructure |
||||
| Behavior Management S2 | 0.101 | Proportion of equipment designed to save energy S21 | 0.036 | Number of energy-saving devices in the dwelling/Total number of devices in the dwelling×100% | ||||||
| Implementation rate of energy-saving measures S22 | 0.037 | The number of energy-saving behaviors achieved by residents/10×100% | ||||||||
| Waste recycling S23(subjective) | 0.015 | Utilise household waste to its full potential | A significant proportion of household waste is utilised. | Household waste is partly utilised | A small quantity of domestic waste is utilised | Household waste is not utilised | ||||
| Indoor air quality regulation S24 | 0.013 | The cumulative score is calculated by assigning 30 points for indoor planting of green plants, 30 points for indoor air purifiers, and 20 points for window ventilation. | ||||||||
| Low carbon level | The name of the village | |
| Low-carbon | [80,100] | Baosheng Village, Huaguo Village, Qinjiamiao Village, Gaoshan Village, Liyuan New Village |
| Medium- low carbon | [70,80) | Satellite Village, Gonghe Village, Shuangyi Village, Helin Village, Mitsui Village, Sanxin Village |
| Medium carbon | [60,70) | Tiangong Village, Yongning Village, Renyi Village, Jingshan Village |
| Medium- high carbon | [50,60) | Lianhe Village, Wuyi Village, Jinbai Village, Liyi Village, Huoshiyan Village |
| High-carbon | [0,50) | without |
Disclaimer/Publisher’s Note: The statements, opinions and data contained in all publications are solely those of the individual author(s) and contributor(s) and not of MDPI and/or the editor(s). MDPI and/or the editor(s) disclaim responsibility for any injury to people or property resulting from any ideas, methods, instructions or products referred to in the content. |
© 2024 by the authors. Licensee MDPI, Basel, Switzerland. This article is an open access article distributed under the terms and conditions of the Creative Commons Attribution (CC BY) license (http://creativecommons.org/licenses/by/4.0/).
