Preprint
Article

This version is not peer-reviewed.

Fabrication Tolerances Impact on an ODAC Based PAM-4 Transmitter

A peer-reviewed article of this preprint also exists.

Submitted:

10 May 2024

Posted:

13 May 2024

You are already at the latest version

Abstract
Photonic integrated circuits (PIC) devices are impacted by fabrication tolerances and therefore, prior knowledge of such variation could improve the PIC fabrication process and overall yield. This paper presents a method for predicting the fabrication impacts on a telecommunication optical digital to analog converter (oDAC) based pulse amplitude modulator level four (PAM-4) transmitter. Our findings allow us to estimate the production yield in fabrication scenario using symbol error rate (SER) benchmark.
Keywords: 
;  ;  ;  ;  ;  

1. Introduction

As PIC maturity continues to increase leading to wide acceptability in industries and commercial, the complexity of PIC has also increased due to large number of components on a single chip [1,2]. Demonstrations with more than 1500 components on a single chip have been achieved and more is expected [1]. The success of PIC can be attributed to the possibility of large scale production in Silicon photonics at reduced footprint, low component-to-component losses, low power consumption and low overall packaging cost [3]. This has allowed PIC to be used in application specific photonic integrated circuits (ASPIC), which plays a role in data/tele communications, medical applications and bio sensing and even more recently in transportation such as LIDAR [4,5]. Such application specific designs require painstaking efforts, long time and high cost to achieve result and the design cannot be transformed or used for other applications except the specific purposes they are designed for [6]. In some cases, the design may fail to meet the initial objective, which implies that the process has to be repeated and the cost of production will be increased [6].
The advent of programmable photonics introduces a generic template that can be exploited to implement a variety of functionality through software [7]. Just like we have field programmable gateway arrays (FPGA) in electronics which can be reconfigured to meet specific use case of customers, programmable photonics introduce such generic functionality known as field programmable photonic gateway arrays (FPPGA) for widespread PIC design in optical communications [8]. These FPPGAs are electronically reconfigurable basic elements that allow flexible configuration of a set of passive devices in order to mime several circuits without undergoing the long-time conventional fabrication circle [6,9,10]. Most of the FPPGA architectures are based on cascaded Mach Zehnder modulator (MZM) structures in various shapes and dimensions [11,12].
In this paper, a pulse amplitude modulation four level (PAM-4) transmitter based on oDAC will be analyzed using the hexagonal FPPGA mesh developed by iPronics [9,12]. This type of transmitter is an alternative approach to replace a power hungry electrical digital to analog converter (eDAC) that is required in the conventional PAM-4 signal generation [13,14]. The oDAC devices are based on digital modulators and passive devices such as couplers and splitters [13]. Therefore, as a result of light-interfering nature of such devices, precision is not guaranteed due to slight deviation during fabrication which may result in performance degradation and low-yield [15,16]. The programmability and reconfigurability of the iPronics FPPGA as reported in [9,10] are applied to oDAC PAM-4 transmitter in order to investigate its potential fabrication tolerances and predict production yield, as a continuation of our work in [17].
Monte-Carlo emulation of 1000 chips to mime oDAC PAM-4 transmitter was carried out experimentally in iPronics programmable grid considering different splitter values due to fabrication errors. We then offline statistically estimated the SER performance of the devices, which we used to predict the failed and passed chips. Our aim is to demonstrate the potential of the methodology to evaluate the viability of a certain fabrication technique to meet the required yield.

2. Proposed Model

An oDAC PAM-4 transmitter is presented in Figure 1 where signal from a continuous wave (CW) laser is split into the two arms of the device through an input coupler with K i n and then recombined through an output coupler with K o u t . The non-return-to-zero (NRZ) electrical signals ( N R Z 1 and N R Z 2 ) which act as most significant bit (MSB) and least significant bit (LSB) are applied to drive the modulators as shown on Figure 1.
Due to the sensitive nature of interferometers, imprecision in the implementation of this type of device can reduce performance during signal detection. For instance, eye diagrams at different values of K i n are presented in Figure 2 (a), (b) and (c). This is a challenge that requires further investigation.
To model this effect, one FPPGA device developed by iPronics which comprises a set of MZMs or programmable unit core (PUC)s which are hexagonally connected via replicated geometric is used. Each PUC from the arrays is itself a MZM as shown in Figure 3 which can be configured as bar state with κ = 0, cross state with κ = 1, and as tunable with κ = any value between 0 and 1.
The mathematical expression of the output signal of a typical PUC/MZM as shown in Figure 3 (a) can be expressed as
( E O 1 ) n ( E O 2 ) n = 1 κ 2 j κ 2 j κ 2 1 κ 2 × e j ϕ 1 0 0 e j ϕ 2 × 1 κ 1 j κ 1 j κ 1 1 κ 1 × ( E I 1 ) n ( E I 2 ) n
where V 1 and V 2 are the applied voltages to tune the phase shifter (PS) in order to create ϕ 1 and ϕ 2 phase changes, κ 1 and κ 2 , PUC input and output coupling coefficients, V π , the half-wave voltage and ϕ 1 | 2 = π ( V 1 | 2 ) n V π .
Hexagonal arrays of the PUCs is shown in Figure 4 (a) and it can be electrically tuned to provide functionalities such as filtering, optical interconnects and several other optical functionalities.
Furthermore, our proposed model Figure 4 (b) and (c), developed from the PUC arrays in Figure 4 (a), comprises two MZM acting as amplitude modulator (AM) ( M Z M M S B and M Z M L S B ) which are arranged in parallel to form the two arms just as another major MZM circuit. Light from a CW laser can then be split into the two arms of the outer MZMs via an input optical splitter (which itself is a MZM) by setting its K i n to 0.36 as recommended in [14].
In addition, phase modulator (PM)s mimed as P M 1 and P M 2 are placed immediately after each AM before the two signals are combined through an optical combiner with K o u t = 0.5. By coarse adjustment of the phase of either P M 1 or P M 2 , resulting in 120 phase adjustment, we can improve the PAM-4 to be equidistant.
To generate a PAM-4 signal using the proposed device, two NRZ digital signals are applied to drive the two AM where each driving implies a 1-bit modulation gate as shown on Figure 4 (b) and (c). The constellation levels of the PAM-4 signal are set to 0 , 0.33 , 0.66 , 1 following the oDAC design specification in [14].
Moreover, by making the input PUC ( M Z M 1 in Figure 4 (b)) that mimes K i n a random variable with Gaussian distribution, which implies that K i n = K i n + σ n , where σ n is the fabrication variance, we can mime the fabrication tolerance of the device. So, a Monte-Carlo emulation of the device is then carried out. For the sake of time, only 1000 devices iterations are considered. At first, the simulation is conducted for a perfect passive coupling condition with the σ n set to 0%. Then, σ n is further varied from 2% to 12%. As it is expected, the coupling ratio of a passive device cannot surpass 1, we opted to mime the effect of coupling resulting from the sinusoidal behaviour of MZM leading to folded "1’s" and "0’s".
Histogram of the Gaussian profile of the 1000 chips for a perfect passive coupler is presented in Figure 5(a) while histograms of increased σ n from 2-12% are presented in Figure 5(b), Figure 5(c) and Figure 5(d) respectively. No sign of imbalance is observed on Figure 5 as expected since no error is added in this case. From the results in Figure 5(b), Figure 5(c) and Figure 5(d), L 00 remains unchanged despite increased σ n since this level implies an absence of light. However, increased σ n significantly impaired L 01 and L 10 due to overlapping which may result in decision error. L 11 maintains improvement when compared with L 01 and L 10 . This is because, L 11 has the highest signal-to-noise ratio since the highest signal power occurred at this level. Nevertheless, impact of increased σ n can be seen to cause L 11 to fold back towards L 10 .
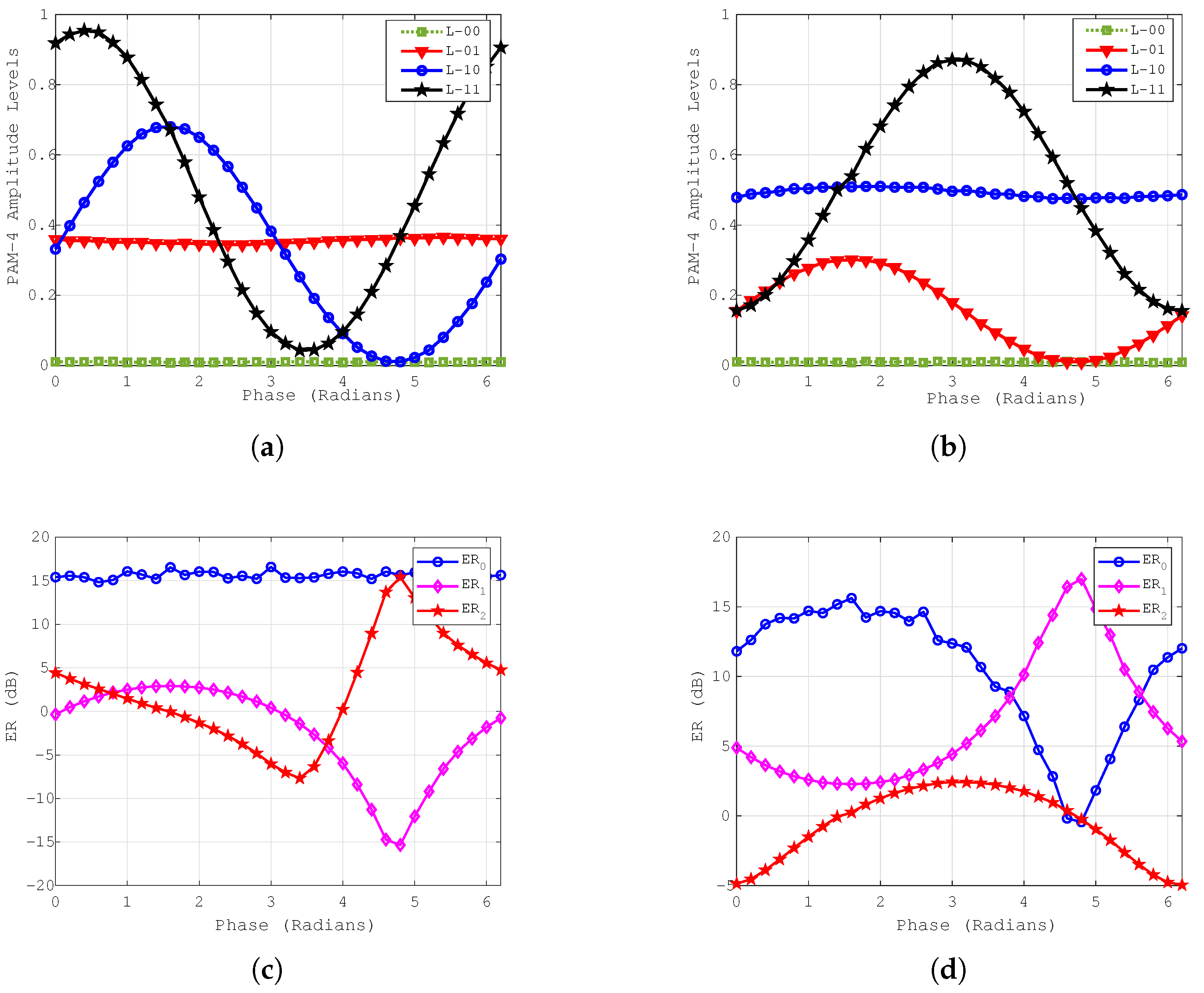
Next, we have optimized to ensure equidistant of amplitude levels of our PAM-4 signal. As the maximum phase shift cannot exceed 2 π , the phases of both PMs ( P M 1 and P M 2 ) are swept from 0 to 2 π radians. Variation of the amplitude levels of the oDAC-PAM-4 transmitter’s against phase are obtained and presented in Figure 6(b) and Figure 6(a) for P M 1 and P M 2 as in Figure 4 (c), showing the distribution of signal amplitude against phase. ER of the PAM-4 eyes against varying phase of P M 1 and P M 2 are also presented in Figure 6(c) and Figure 6(d) showing how phase variation impact the signal’s extinction ratio (ER). We have set the phase of P M 2 to 2.4 radians for further analysis conducted on the oDAC-PAM-4 transmitter in this study.

2.1. Data Extraction and Analysis

The procedure for data extraction and analysis is presented in Figure 7. Since the machine can be controlled using software, the process in Figure 7 follows repeated iterations to mime 1000 oDAC PAM-4 transmitters. Specifically, while varying the value of σ n in the devices, the signal levels of each of the transmitters are extracted for offline processing.
A sketch of the decision circuit showing waveform of bits fluctuation across the four levels of the PAM-4 signal is presented in Figure A1 in Appendix A where P ( x y | a b ) is the probability of deciding signal x y when signal a b is received and μ i , the Gaussian pulse of the PAM-4 signal levels.
The generalized analytical expression for estimating SER of a PAM-4 signal based on the schematic in Figure A1 is giving by Equation (A2) in Appendix B.
Therefore, solving for all the P ( I j | I i ) in Figure A1 as presented in Equation (A2) using Equation (A4), we obtained Eq A5 in Appendix C.
The σ i in Appendix B and Appendix C is the receiver’s electrical noise which is estimated as the sum of thermal and short noise for a typical 10 GHz PIN receiver following the expression in [18] and it is assumed constant across the four PAM-4 levels. We have further assumed a typical detection of a 10 Gb/s signal at 1550 nm with a receiver’s sensitivity of 28 dBm at SER = 10 3 to adjust the receiver’s noise. In addition to this, the P2P power level of the signal from the machine is normalized to increase the impact of signal noise before detection. The SER bench-mark of 10 3 is used to determine the failed or passed chips as clearly illustrated in Figure 7.

3. Results and Discussion

The graphs of SER versus chip iteration when σ n = 0 and when σ n = 2 % are presented in Figure 8(a) and Figure 8(b). With light control as expected, the total 1000 iterated PIC passed the SER threshold as shown in Figure 8(a). When σ n is increased to 2 %, only 3 chips out of 1000 mimed was seen to have failed while the rest passed the SER threshold we have set which implies high tolerance due to less deviation from coupling condition.
For further analysis of the results when σ n = 2 % , PAM-4 amplitudes levels of one PIC from the failed and passed categories are extracted and simulated to obtain the PAM-4 eye diagrams of the failed and passed PIC as shown in Figure 8(c) and Figure 8(d). From the eye diagram of the failed PIC in Figure 8(c), it can be observed that the amplitude levels of the signal are not equidistant which resulted in error detection. Unlike the passed PIC with the eye diagram in Figure 8(d), an improved signal equidistant level is observed and as such, the detection is accomplished with less error at the receiver.
Moreover, by increasing the impact of σ n from 6 % to 12 %, it is observed that the levels 10 and 01 overlapping increases. As a result of this, the numbers of failed PICs increase, which implies low yield. Looking at the result of σ n = 12 % in Figure 9(b) for instance, close to 50 % of the PIC failed due to high spread of levels 01 and 10 as clearly shown on the histogram in Figure 5(d), which translates to high loss in production scenario.
In addition, the graph in Figure 10 summarizes the percentage of failed and passed chips against all instances of σ n we have tested, which simplified our
findings. The linear behaviour of the number of both passed and failed chips in the figure can explain what would be expected in fabrication scenario and this serve as a predictive template to analysis any passive device. Furthermore, the graph also reveals that such oDAC based PAM-4 transmitter is sensitive to component deviations resulting from variations in the passives.

4. Conclusions

In this paper, we have presented a hybrid model to study the effects of fabrication tolerance resulting from passive variation in PIC based devices. Using the flexibility of FPPGA, an oDAC-based PAM-4 telecommunication transmitter was mimed and with passive variances ranging from 0...12 % while mimicking the production of 1000 components. Monte-Carlo emulation of the device is carried out to predict the production yield at given instances of passive variation. While bench-marking the SER to 10 3 , the number of failed and passed PIC have been determined at every instance of passive variances we have tested. These findings enable robust designs which consider critically the sensitive effect of passive variability on designed components and can be formulated into new design rules .

Author Contributions

A. E A: Writing-original draft, Visualization, Conceptualization, Methodology, Investigation, A. T: Visualization, Conceptualization, Supervision, Funding Acquisition, M. L: Supervision, Review, J. S: Investigation, Software, Methodology, T.C: Review, Visualization, Methodology, Investigation F.R: Software, Review, Visualization. All authors have read and agreed to the published version of the manuscript.

Funding

This work is supported by the European Regional Development Fund (FEDER), through the Competitiveness and Internationalization Operational Program (COMPETE 2020) of the Portugal 2020 framework [Project POWER with Nr. 070365 (POCI-01-0247-FEDER- 070365)]. The work is also supported by the European Commission through the HORIZON-JU-SNS-2022 FLEX-SCALE project with Grant Agreement number 101096909.

Institutional Review Board Statement

Not applicable.

Informed Consent Statement

Not applicable.

Data Availability Statement

Not applicable.

Conflicts of Interest

The authors declare no conflict of interest.

Abbreviations

AM amplitude modulator
ASPIC application specific photonic integrated circuits
CW continuous wave
eDAC electrical digital to analog converter
ER extinction ratio
FPGA field programmable gateway arrays
FPPGA field programmable photonic gateway arrays
K i n input coupling factor
K o u t output coupling factor
LSB least significant bit
NRZ non-return-to-zero
MSB most significant bit
MZM Mach Zehnder modulator
oDAC optical digital to analog converter
PAM-4 pulse amplitude modulator level four
PAM-8 pulse amplitude modulator level eight
PAM-16 pulse amplitude modulator level sixteen
PIC Photonic integrated circuits
PUC programmable unit cell
PM phase modulator
PS phase shifter
PUC programmable unit core
QAM quadrature amplitude modulation
SER symbol error rate

Appendix A

Probability density of the four PAM levels are the combination of four Gaussian functions and can be written from generalized Gaussian probability density function as [19,20],
f ( x ) = i = 0 3 1 σ i 2 π e x μ i σ i 2 2
Figure A1. PAM-4 signal waveform showing the signal levels and equivalent Gaussian probability densities of the four levels. Inset is an eye diagram of a simulated 10 Gbps hybrid PAM-4 signal.
Figure A1. PAM-4 signal waveform showing the signal levels and equivalent Gaussian probability densities of the four levels. Inset is an eye diagram of a simulated 10 Gbps hybrid PAM-4 signal.
Preprints 106136 g0a1

Appendix B

S E R P A M 4 = p ( 00 ) P ( 01 | 00 ) + P ( 10 | 00 ) + P ( 11 | 00 ) + p ( 01 ) P ( 00 | 01 ) + P ( 10 | 01 ) + P ( 11 | 01 ) + p ( 10 ) P ( 00 | 10 ) + P ( 01 | 10 ) + P ( 11 | 10 ) + p ( 11 ) P ( 00 | 11 ) + P ( 01 | 11 ) + P ( 10 | 11 )
This equation can be summarized as
S E R P A M 4 = i = 0 3 p ( I i ) × j = 0 j i 3 P ( I j | I i )
where P ( I j | I i ) can be expressed as
P ( I j | I i ) = ± 1 2 e r f c I D j i | i j μ i σ i 2
where μ i and σ i are the mean and standard deviation of i t h Gaussian level of the PAM-4 signal. p ( I i ) = p ( 00 ) = p ( 01 ) = p ( 10 ) = p ( 11 ) = 1 4 is the probability of receiving signal level I i which is equally possible. In addition, depending on the noise contribution due to signal impairment, there is probability that signal x y will constitute an error to symbol a b across the four Gaussian pulses in Figure A1. e r f c ( · ) is the complimentary error function and I D j i | i j is the threshold values of the signal level I i and I j . Whenever signal detection is done above the threshold, higher logical state is considered and vice versa.

Appendix C

P ( 01 | 00 ) = 1 2 erfc I D 10 | 01 μ 0 σ 0 2 1 2 erfc I D 21 | 12 μ 0 σ 0 2 P ( 10 | 00 ) = 1 2 erfc I D 21 | 12 μ 0 σ 0 2 1 2 erfc I D 32 | 23 μ 0 σ 0 2 P ( 11 | 00 ) = 1 2 erfc I D 32 | 23 μ 0 σ 0 2 P ( 00 | 01 ) = 1 2 erfc μ 1 I D 10 | 01 σ 1 2 P ( 10 | 01 ) = 1 2 erfc I D 21 | 12 μ 1 σ 1 2 1 2 erfcc I D 32 | 23 μ 1 σ 1 2 P ( 11 | 01 ) = 1 2 erfc I D 32 | 23 μ 1 σ 1 2 P ( 00 | 10 ) = 1 2 erfc μ 2 I D 10 | 01 σ 2 2 P ( 01 | 10 ) = 1 2 erfc μ 2 I D 21 | 12 σ 2 2 1 2 erfc μ 2 I D 10 | 01 σ 2 2 P ( 11 | 10 ) = 1 2 erfc I D 32 | 23 μ 2 σ 2 2 P ( 00 | 11 ) = 1 2 erfc μ 3 I D 10 | 01 σ 3 2 P ( 01 | 11 ) = 1 2 erfc μ 3 I D 21 | 12 σ 3 2 1 2 erfc μ 3 I D 10 | 01 σ 3 2 P ( 10 | 11 ) = 1 2 erfc μ 3 I D 32 | 23 σ 3 2 1 2 erfc μ 3 I D 21 | 12 σ 3 2
Some of the P ( I j | I i ) cancelled out in Equation (A5) and the final expression to estimate the SER of the oDAC PAM-4 is giving by
SER P A M 4 = 1 8 [ erfc I D 10 | 01 μ 0 σ 0 2 + erfc μ 1 I D 10 | 01 σ 1 2 + erfc I D 21 | 12 μ 1 σ 1 2 + erfc μ 2 I D 21 | 12 σ 2 2 + erfc I D 32 | 23 μ 0 σ 2 2 + erfc μ 3 I D 32 | 23 σ 3 2 ]

References

  1. Smit, M.; Williams, K.; Tol, J.v.d. 1.3 Integration of Photonics and Electronics. 2019 IEEE International Solid- State Circuits Conference - (ISSCC), 2019, pp. 29–34. [CrossRef]
  2. Bogaerts, W.; Rahim, A. Programmable photonics: An opportunity for an accessible large-volume PIC ecosystem. IEEE Journal of Selected Topics in Quantum Electronics 2020, 26, 1–17. [Google Scholar] [CrossRef]
  3. Dai, D.; Bauters, J.; Bowers, J.E. Passive technologies for future large-scale photonic integrated circuits on silicon: polarization handling, light non-reciprocity and loss reduction. Light: Science & Applications 2012, 1, e1–e1. [Google Scholar]
  4. Billah, M.R.; Blaicher, M.; Hoose, T.; Dietrich, P.I.; Marin-Palomo, P.; Lindenmann, N.; Nesic, A.; Hofmann, A.; Troppenz, U.; Moehrle, M.; others. Hybrid integration of silicon photonics circuits and InP lasers by photonic wire bonding. Optica 2018, 5, 876–883. [Google Scholar] [CrossRef]
  5. Falconi, F.; Melo, S.; Scotti, F.; Malik, M.N.; Scaffardi, M.; Porzi, C.; Ansalone, L.; Ghelfi, P.; Bogoni, A. A Combined Radar amp; Lidar System Based on Integrated Photonics in Silicon-on-Insulator. Journal of Lightwave Technology 2021, 39, 17–23. [Google Scholar] [CrossRef]
  6. Bogaerts, W. Tutorial Programmable Photonics. Optical Fiber Communication Conference (OFC) 2021. Optica Publishing Group, 2021, p. Tu1K.1. [CrossRef]
  7. Fang, Z. Non-volatile programmable photonics based on phase-change materials. PhD thesis, University of Washington, 2023.
  8. Zhuang, L.; Roeloffzen, C.G.; Hoekman, M.; Boller, K.J.; Lowery, A.J. Programmable photonic signal processor chip for radiofrequency applications. Optica 2015, 2, 854–859. [Google Scholar] [CrossRef]
  9. Pérez-López, D.; López, A.; DasMahapatra, P.; Capmany, J. Multipurpose self-configuration of programmable photonic circuits. Nature communications 2020, 11, 6359. [Google Scholar] [CrossRef] [PubMed]
  10. Pérez, D.; Gasulla, I.; Crudgington, L.; Thomson, D.J.; Khokhar, A.Z.; Li, K.; Cao, W.; Mashanovich, G.Z.; Capmany, J. Multipurpose silicon photonics signal processor core. Nature communications 2017, 8, 636. [Google Scholar] [CrossRef] [PubMed]
  11. Steinbrecher, G.R. Programmable photonics for quantum and classical information processing. PhD thesis, Massachusetts Institute of Technology, 2019.
  12. Pérez, D.; Gasulla, I.; Capmany, J.; Soref, R.A. Reconfigurable lattice mesh designs for programmable photonic processors. Optics Express 2016, 24, 12093–12106. [Google Scholar] [CrossRef] [PubMed]
  13. Nazarathy, M.; Tomkos, I. Accurate power-efficient format-scalable multi-parallel optical digital-to-analogue conversion. Photonics. MDPI, 2021, Vol. 8, p. 38.
  14. Nazarathy, M.; Tomkos, I. Energy-efficient reconfigurable 4| 16| 64| 256-QAM transmitter based on PAM2| 4-driven optical DACs. IEEE Photonics Technology Letters 2022, 34, 1159–1162. [Google Scholar] [CrossRef]
  15. Zand, I.; Bogaerts, W. Effects of coupling and phase imperfections in programmable photonic hexagonal waveguide meshes. Photonics Research 2020, 8, 211–218. [Google Scholar] [CrossRef]
  16. Xing, Y.; Dong, J.; Khan, U.; Bogaerts, W. Capturing the effects of spatial process variations in silicon photonic circuits. ACS Photonics 2022, 10, 928–944. [Google Scholar] [CrossRef]
  17. Lopes, G.; Abejide, A.E.; Santos, J.; Rodrigues, F.; Teixeira, A. Impact of Fabrication Tolerances on the Performance of Integrated Optics. 2023 IEEE Research and Applications of Photonics in Defense Conference (RAPID), 2023, pp. 1–2. [CrossRef]
  18. Agrawal, G.P. Fiber-optic communication systems; John Wiley & Sons, 2012.
  19. Jeruchim, C, M. Techniques for Estimating the Bit Error Rate in the Simulation of Digital Communication Systems. IEEE journal of selected areas in communications, 1984; SAC-22, 153–170.
  20. Raza, A.; Zhong, K.; Ghafoor, S.; Iqbal, S.; Adeel, M.; Habib, S.; Butt, Fasih, U. M.; Lu, C. SER estimation method for 56 GBaud PAM-4 transmission system. Chinease optics Letter 2018, 16, 040604–1–5. [Google Scholar] [CrossRef]
Figure 1. Structure of an oDAC PAM-4 transmitter.
Figure 1. Structure of an oDAC PAM-4 transmitter.
Preprints 106136 g001
Figure 2. Eye diagrams of an oDAC-PAM-4 signal (a) K i n = 0.2 (b) K i n = 0.36 (c) K i n = 0.4.
Figure 2. Eye diagrams of an oDAC-PAM-4 signal (a) K i n = 0.2 (b) K i n = 0.36 (c) K i n = 0.4.
Preprints 106136 g002
Figure 3. PUC loaded with phase shifter and heater on its both arms and its mode of implementation as Bar state, Cross state and Tunable coupler.
Figure 3. PUC loaded with phase shifter and heater on its both arms and its mode of implementation as Bar state, Cross state and Tunable coupler.
Preprints 106136 g003
Figure 4. Building blocks of programmable photonics (a) mesh lattice with hexagonal cells, (b) and (c) oDAC-PAM-4 transmitter structure designed from the with the hexagonal cells. VS: variable splitter, PM: phase modulator, VC: variable combiner.
Figure 4. Building blocks of programmable photonics (a) mesh lattice with hexagonal cells, (b) and (c) oDAC-PAM-4 transmitter structure designed from the with the hexagonal cells. VS: variable splitter, PM: phase modulator, VC: variable combiner.
Preprints 106136 g004
Figure 5. Histograms of the Gaussian profile of 1000 oDAC device iteration for (a) 0%, (b) 2%, (c) 6%, (d) 12%.
Figure 5. Histograms of the Gaussian profile of 1000 oDAC device iteration for (a) 0%, (b) 2%, (c) 6%, (d) 12%.
Preprints 106136 g005
Figure 6. PAM-4 signal amplitude levels and ER against varying phase of the PMs in Figure 4 (b) when K = 0.36. (a) Amplitude levels against phase of the P M 1 . (b) Amplitude levels against phase of the P M 2 . (c) ER of the PAM-4 eyes against phase of P M 1 . (d) ER of the PAM-4 eyes against phase of P M 2
Figure 6. PAM-4 signal amplitude levels and ER against varying phase of the PMs in Figure 4 (b) when K = 0.36. (a) Amplitude levels against phase of the P M 1 . (b) Amplitude levels against phase of the P M 2 . (c) ER of the PAM-4 eyes against phase of P M 1 . (d) ER of the PAM-4 eyes against phase of P M 2
Preprints 106136 g006
Figure 7. Procedure for data extraction from the programmable device and offline processing for error analysis.
Figure 7. Procedure for data extraction from the programmable device and offline processing for error analysis.
Preprints 106136 g007
Figure 8. SER versus the number of PIC mimed at σ n = (a) 0% (b) 2%, and eye diagram of one selected PIC
Figure 8. SER versus the number of PIC mimed at σ n = (a) 0% (b) 2%, and eye diagram of one selected PIC
Preprints 106136 g008
Figure 9. SER versus the number of PIC mimed at σ n = (a) 6% (b) 12%,
Figure 9. SER versus the number of PIC mimed at σ n = (a) 6% (b) 12%,
Preprints 106136 g009
Figure 10. Percentage of failed and passed chips at different passive variances.
Figure 10. Percentage of failed and passed chips at different passive variances.
Preprints 106136 g010
Disclaimer/Publisher’s Note: The statements, opinions and data contained in all publications are solely those of the individual author(s) and contributor(s) and not of MDPI and/or the editor(s). MDPI and/or the editor(s) disclaim responsibility for any injury to people or property resulting from any ideas, methods, instructions or products referred to in the content.
Copyright: This open access article is published under a Creative Commons CC BY 4.0 license, which permit the free download, distribution, and reuse, provided that the author and preprint are cited in any reuse.
Prerpints.org logo

Preprints.org is a free preprint server supported by MDPI in Basel, Switzerland.

Subscribe

Disclaimer

Terms of Use

Privacy Policy

Privacy Settings

© 2026 MDPI (Basel, Switzerland) unless otherwise stated