Submitted:
07 May 2024
Posted:
08 May 2024
You are already at the latest version
Abstract
Keywords:
1. Introduction
2. Theory
2.1. The CTMC Models
2.2. The QCTMC Model
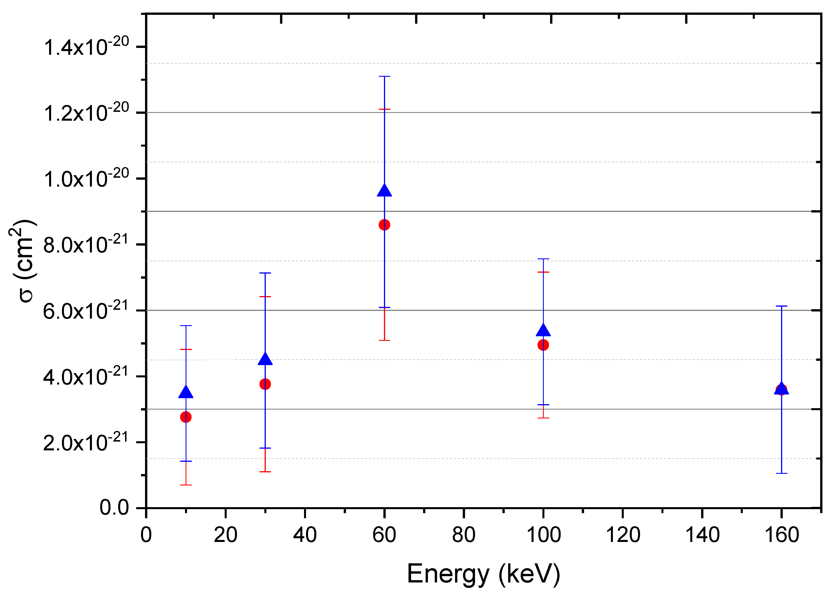
3. Result and Discussion
2.1. Carbon (C5+) - Hydrogen (H) Collision Cross Sections
2.2. Lithium (Li2+) - Hydrogen (H) Collision Cross Sections
4. Conclusions
Acknowledgement
References
- Sang C, Rui Ding, Xavier Bonnin, Liang Wang, Dezhen Wang and EAST Team 2018 Physics of Plasmas. 7 25.
- Federici G, Skinner C H, Brooks J N, Coad J P, Grisolia C, Haasz A A, Hassanein A, Philipps V, Pitcher C S, Roth J, Wampler W R, and Whyte D G 1967 Nucl. Fusion 41 1967.
- Pitts R A, Carpentier S, Escourbiac F, Hirai T, Komarov V, Kukushkin A S, Lisgo S, Loarte A, Merola M, Mitteau R, Raffray A R, Shimada M and Stangeby P C 2011 J. Nucl. Mater. 415 S957.
- Iztok Čadež, Sabina Markelj, Zdravko Rupnik and Primož Pelicon 2008 J. Phys: Conf. Series 133 012029.
- Atawneh S J A and Tokesi K 2021 Nucl. Fusion. 62 026009>Nucl.
- Guszejnov D, Pokol GI, Pusztai I, Refy D, Zoletnik S, Lampert M and Nam Y U 2012 Review of Scientific Instruments. 83 113501.
- Atawneh S J A, Asztalos Ö, Szondy B, Pokol G I and Tőkési K 2020 Atoms. 8 31.
- Atawneh S J A and Tőkési K 2021 J. Phys. B: At. Mol. Opt. Phys. 54 065202.
- Atawneh S J A and Tőkési K 2022 Atomic Data and Nuclear Data Tables. 146 101513.
- Bunker D L, Nature (London) 194, 1277 (1962); Blais N C and Bunker D L, J. Chem. Phys. 3'7, 2713 (1962); Karplus M and Raff L M, ibid 41, 1267. (1964); Herschbach D R, Adv. Chem. Phys. 10, 319 (1966); for a detailed review, see Porter R N and Raff L M, in Dynamics of Molecular Collisions, edited by Miller W H (Plenum, New York, 1976), pt. B, pp. 1–52.
- Olson R E, Reinhold C O and Schultz D R, in High-energy ion-atom collisions, Proceedings of the 4th Workshop on High-Energy Ion-Atom Collision Processes, Debrecen, Hungary, 17-19 September 1990, edited by Berenyi D, Hock G, Lecture Notes in Physics (1991), Vol. 376, p. 69.
- brines R and Percival I C 1966 Proc. Phys. Soc. 88 861-872.
- Janev R K and McDowell M R C 1984 Phys. Lett. A. 102 405-408.
- Atawneh S J A. Modelling of atomic processes in fusion plasma.2022. Debrecen U, PhD dissertation. ProQuest, http://hdl.handle.net/2437/329082.
- Atawneh S J A and Tőkési K 2022 Phys. Chem. Chem. Phys. 24 15280-15291.
- Wilets L and Cohen L S 1998 Cont. Phys. 39 163-175.
- Kirschbaum C L and Wilets L 1980 Phys. Rev. A. 21 834-841.
- Suno H and Kato T 2006 Atomic Data and Nuclear Data Tables. 92(4): p. 407-455.
- Velayati A and Ghanbari-Adivi E 2018 Eur. Phys. J. D.
- Ghavaminia H and Ghanbari-Adivi E 2015 Chinese Phys. B. 24 073401.
- Federici G, Andrew P, Barabaschi P, Brooks J, Doerner R, Geier A, Herrmann A, Janeschitz G, Krieger K, Kukushkin A, Loarte A, Neu R, Saibene G, Shimada M, Strohmayer G, Sugihara M, and. Co-center I J W S G 2003 J. Nucl. Mater. 11 313–316.
- de Castro A, Moynihan C, Stemmley S, Szott M and Ruzic D N 2021 Physics of Plasmas. 5 28.
- Strachan J D 1994 Nucl. Fusion. 34 1017.
- Majeski R 2010 AIP Conf. Proc. 122 1237.
- Ono M, Lithium As Plasma Facing Component for Magnetic Fusion Research. 2012, Nova Scientific Publications (August 2012); Princeton Plasma Physics Lab. (PPPL), Princeton, NJ (United States). p. Medium: ED.
- Skokov V G, Sergeev V Y, Anufriev E A and Kuteev B V 2021 Tech. Phys. 66 664–674.
- Goldston R J, Myers R and Schwartz 2016 J. Phys. Scr. T167 014017.
- Kaita R 2019 Plasma Phys. Control. Fusion. 61 113001.
- Rognlien T D and Rensink M E 2002 Phys. Plasmas. 9 2120-2126.
- Mirnov S V, Azizov E A, Evtikhin V A, Lazarev V B, Lyublinski I E, Vertkov A V and Yu Prokhorov D 2006 Plasma Phys. Control. Fusion. 48 821-837.







Disclaimer/Publisher’s Note: The statements, opinions and data contained in all publications are solely those of the individual author(s) and contributor(s) and not of MDPI and/or the editor(s). MDPI and/or the editor(s) disclaim responsibility for any injury to people or property resulting from any ideas, methods, instructions or products referred to in the content. |
© 2024 by the authors. Licensee MDPI, Basel, Switzerland. This article is an open access article distributed under the terms and conditions of the Creative Commons Attribution (CC BY) license (http://creativecommons.org/licenses/by/4.0/).