Submitted:
05 May 2024
Posted:
07 May 2024
You are already at the latest version
Abstract
Keywords:
1. Introduction
2. Materials and Methods
2.1. Physical Model of System
2.2. Mathematical Reformulation
2.3. Description of the Coefficient of the First Order Decay Coefficient
2.4. Description of the Model of the Delay Factor Generated by the Sorption of the Pollutant (Rd)
2.5. Initial and Boundary Conditions
2.6. Numerical Solution of the Mathematical Model
2.7. Spatial Fractional-Order Derivative
2.8. Temporal Fractional-Order Derivative
2.9. Stability Condition for the Spatial Fractional Order Derivative
2.10. Stability Condition for the Temporal Fractional Order Derivative

3. Results:
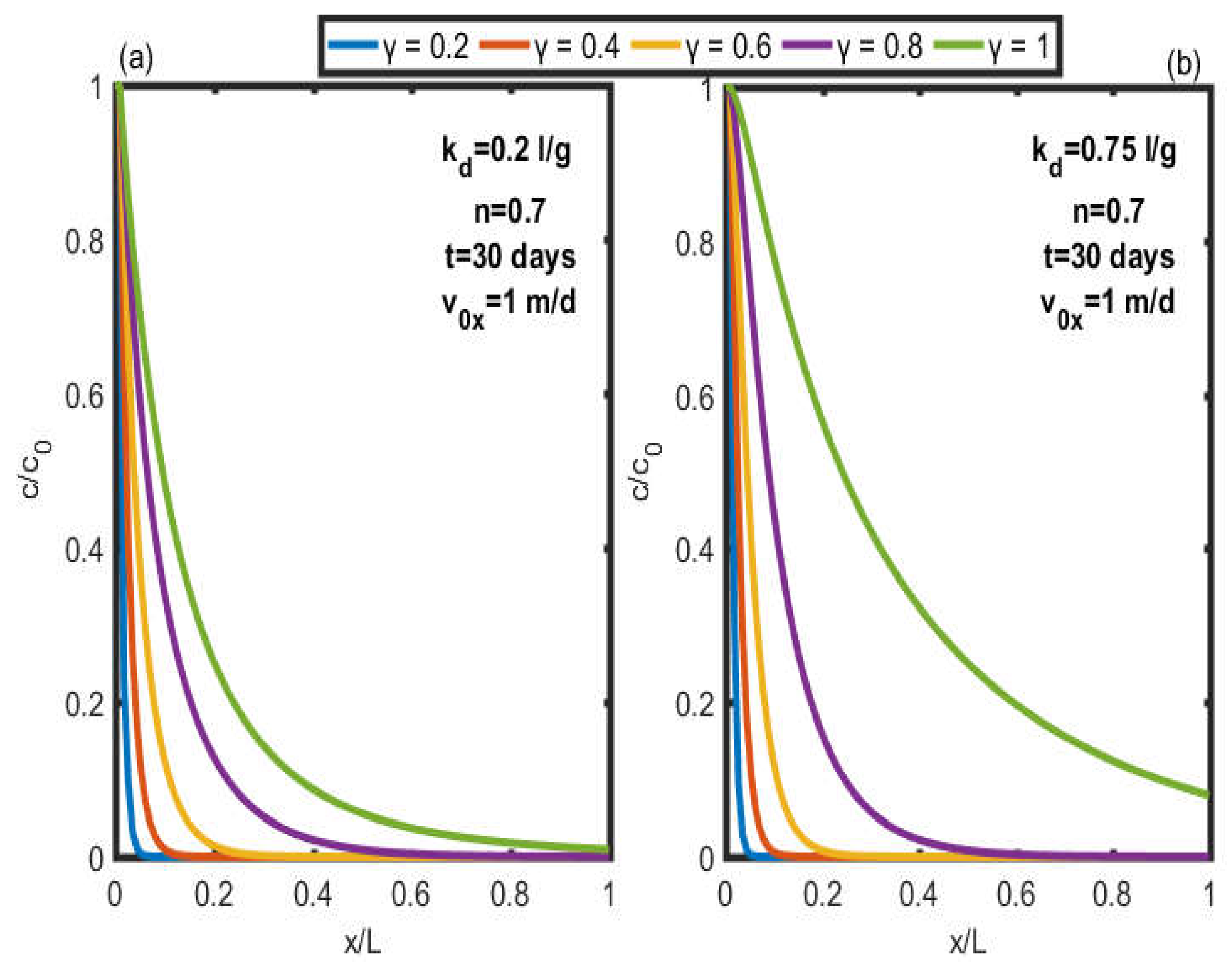
3.1. Effect of Spatial Fractional Order on the Concentration of Pollutants in a Porous Medium

3.2. Effect of Temporal Fractional Order on the Concentration of Pollutants in a Porous Medium
3.3. Validation Model
4. Conclusion
- The amplitude of the initial concentration of pollutants is influenced by the different points taken in the aquifer for two dispersion models ADE and FADE used in the aquifer, and thus, the present models project that the resulting mobility of the contaminant from the groundwater is very sensitive to the boundary of the aquifer with which it is associated.
- A better solute mass retention is observed when the model is FADE due to the different degrees of heterogeneity generated by this model to explain the process of solute transport in natural porous media
- The sorption partition coefficient (Kd) plays a very significant role in the dispersion of contaminants in underground environments, regardless of the model used.
- The behavior of the concentration profiles remains the same for the different magnitudes of the absorption intensity (n) in the whole aquifer for the two dispersion models.
Acknowledgments
References
- [1] Natarajan N, Foresti O, Wendrich K, Stein A & Carvalho P. Quality control of protein complex assembly by a transmembrane recognition factor. Molecular cell 2020, 77(1), 108–119.
- Williams L E, Barnett M O, Kramer T A , Melville J G. Adsorption and Transport of Arsenic (V) in Experimental Subsurface Systems. Journal of Environment Quality 2003, 32, 841–850. [CrossRef] [PubMed]
- [3] Zhang Y, Meerschaert M M, Neupauer RM. Backward fractional advection dispersion model for contaminant source prediction. Water Resour Res 2016, 52, 2462–2473. [CrossRef]
- [4] Khafagy M M, Abd-Elmegeed MA, Hassan AE. Simulation of reactive transport in fractured geologic media using random-walk particle tracking method. Arab J Geosci 2020, 13.
- [5] Mouassom L F, Nkomom T N, Mvogo A and Mbane C B. Effects of viscosity and surface tension on soliton dynamics in the generalized KdV equation for shallow water waves. Communications in Nonlinear Science and Numerical Simulation 2021, 102, 105942. [CrossRef]
- [6] Pandey P, Kumar S & Gómez-Aguilar J F. Numerical solution of the time fractional reaction-advection-diffusion equation in porous media. Journal of Applied and Computational Mechanics 2022, 8(1), 84–96.
- [7] Maisuria, M. A., Tandel, P. V., & Patel, T. Solution of Two-Dimensional Solute Transport Model for Heterogeneous Porous Medium Using Fractional Reduced Differential Transform Method. Axioms 2023, 12(11), 1039.
- [8] Aghdam Y E, Mesgarani, H, Moremedi, G M and Khoshkhahtinat M. High- accuracy numerical scheme for solving the space-time fractional advection-diffusion equation with convergence analysis. Alexandria Engineering Journal 2021, 61(1), 217–225.
- 9. [9] Sekhar M, Suresh Kumar G, Mishra D 2006 Numerical modeling and analysis of solute velocity and macrodispersion for linearly and nonlinearly sorbing solutes in a single fracture with matrix difusion. J Hydrol Eng.
- 10. [10] Das P, Begam S, Singh M K. Mathematical modeling of groundwater contamination with varying velocity field. Journal of Hydrology and Hydromechanics 2017, 65(2), 192–204. [CrossRef]
- [11] Meerschaert M M and Tadjeran C. Finite difference approximations for fractional advection–dispersion flow equations. Journal of computational and applied mathematics 2004, 172(1), 65–77. [CrossRef]
- [12] Deng, Z Q, Singh, V P, and Bengtsson L. “Numerical solution of fractional advection-dispersion equation.”. 2004, 130(5), 422–431.
- [13] Benson D A, Schumer R, Meerschaert MM. Fractional dispersion, Lévy motion, and the tracer tests. Transp Porous Med 2001, 42, 211–240. [CrossRef]
- [14] Sharma, P K, P Agarwal and B Mehdinejadiani. Study on non-Fickian behavior for solute transport through porous media. ISH Journal of Hydraulic Engineering 2020, 28 (sup1), 171–179.
- 15. [15] Benson D A, Wheatcraft S W, Meerschaert M M. The fractionalorder governing equation of Lévy motion. Water Resour Res 2000, 36(6), 1413–1423.
- [16] Ndolane Sene (2021), Fractional advection-dispersion equation described by the Caputo left generalized fractional derivative. Palestine Journal of Mathematics. Vol. 10(2), 562 579.
- [17] Amy A and Abdon A 2021 Fractional and fractal advection-dispersion model. Discrete & Continuous Dynamical Systems-Series S, 14(7).
- [18] Bahareh M and Behrouz M 2021 Numerical simulation of solute transport in saturated porous media with bounded domains. Groundwater, 59(6), 892-904.
- [19] Ghazal M & Behrouz M (2020) An experimental study on scale dependency of fractional dispersion coefficient. Arabian Journal of Geosciences ,13: 409.
- [20] Madie Y C, Togue K F, and Woafo P 2022a Analysis of the importance of the dispersion coefficient depending on the distance for the transport of solute in porous media . Sådhanå, 47(2),1-9.
- [21] Madie Y C, Togue K F, and Woafo P 2022b " Numerical solution of the Burgers equation associated with the phenomena of longitudinal dispersion depending on time ". Heliyon, e09776.
- [22] Madie Y C, Togue K F, and Woafo P 2022c Dispersion of pollutants in a porous medium with finite thickness and variable dispersion coefficients. Heliyon, e10083.
- [23] Radha R & Singh M K. Axial groundwater contaminant dispersion modeling for a finite heterogeneous porous medium. Water 2023, 15(14), 2676.
- [24] Gillham R W, and Stephanie F O 1994 Enhanced degradation of halogenated aliphatics by zero-valent iron. groundwater ,32(6),958-967.
- [25] Abulaban A, Nieber J L and Misra, D 1998 “Modeling plume behavior for nonlinearly sorbing solutes in saturated homogeneous porous media.” Adv. Water Resour., 21, 487–498.
- [26] F Liu, P Zhuang, K Burrage 2012 Numerical methods and analysis for a class of fractional advection–dispersion models. Computers and Mathematics with Applications 64 2990-3007.
- [27] Carrer J A M, Seaid M, Trevelyan J and Dos S S B 2019 The boundary element method applied to the solution of the anomalous diffusion problem. Engineering Analysis with Boundary Elements, 109, pp.129-142.









Disclaimer/Publisher’s Note: The statements, opinions and data contained in all publications are solely those of the individual author(s) and contributor(s) and not of MDPI and/or the editor(s). MDPI and/or the editor(s) disclaim responsibility for any injury to people or property resulting from any ideas, methods, instructions or products referred to in the content. |
© 2024 by the authors. Licensee MDPI, Basel, Switzerland. This article is an open access article distributed under the terms and conditions of the Creative Commons Attribution (CC BY) license (http://creativecommons.org/licenses/by/4.0/).