Submitted:
05 May 2024
Posted:
06 May 2024
You are already at the latest version
Abstract
Keywords:
1. Introduction
2. Results and Discussion
2.1. Characterization of Prepared TiO2 Photocatalyst
3. Materials and Methods
3.1. Preparation of TiO2 Nanoparticles
3.2. Characterization of Prepared TiO2 Nanoparticles
4. Conclusions
- FTIR analysis confirmed the presence of TiO2 by detecting characteristic peaks in the FTIR spectrum typical for TiO2 according to literature data.
- XRD analysis revealed that in the TiO2 sample synthesized at 150 °C for 30 minutes, an amorphous phase was present, while in the other samples synthesized at 200 °C, a crystalline anatase phase was present.
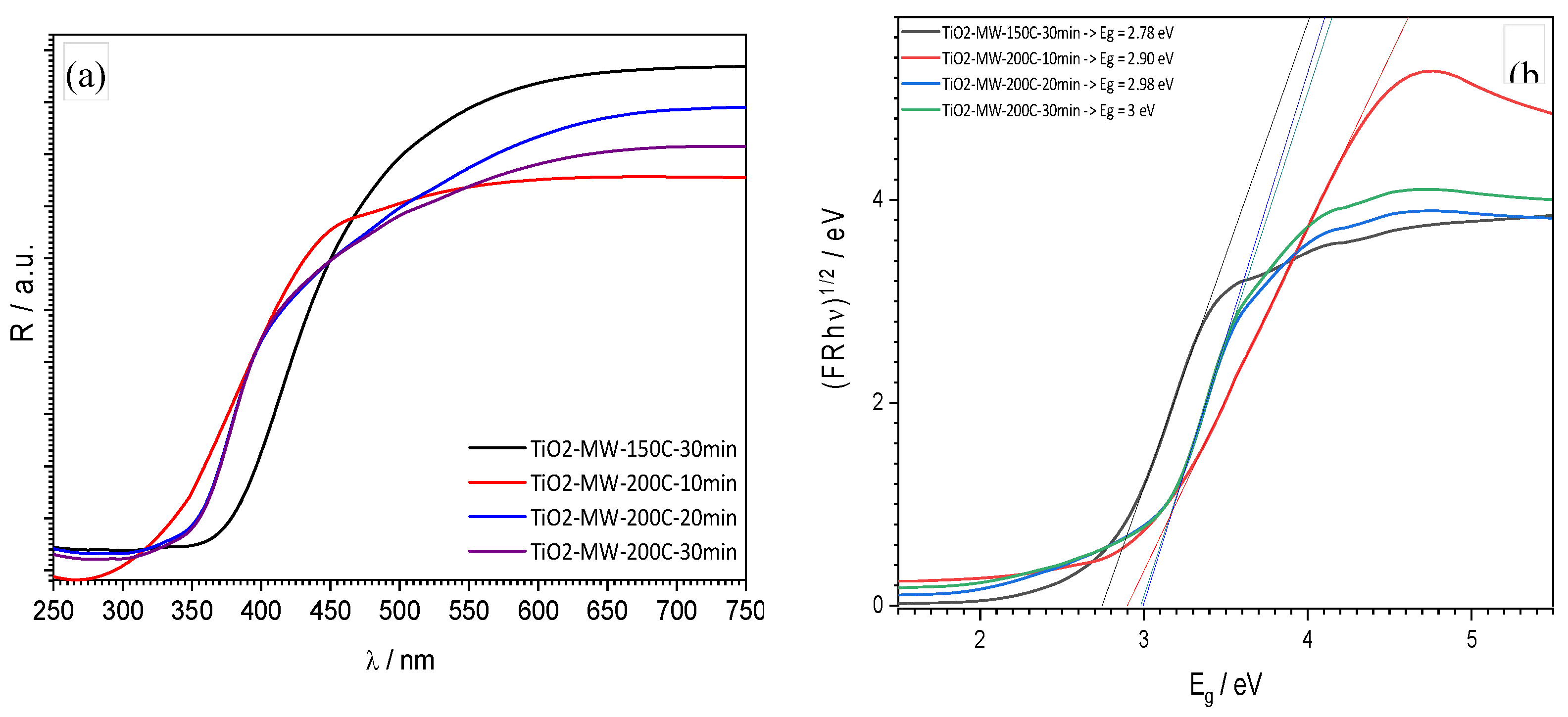
- DRS analysis determined the band gap energy, Eg. For samples with a crystalline phase, the band gap energy value was around 3.0 eV, consistent with literature data for TiO2 in the rutile phase. This band gap energy value suggests the presence of defects within the samples, causing a shift in the band gap energy (3.2 eV for anatase).
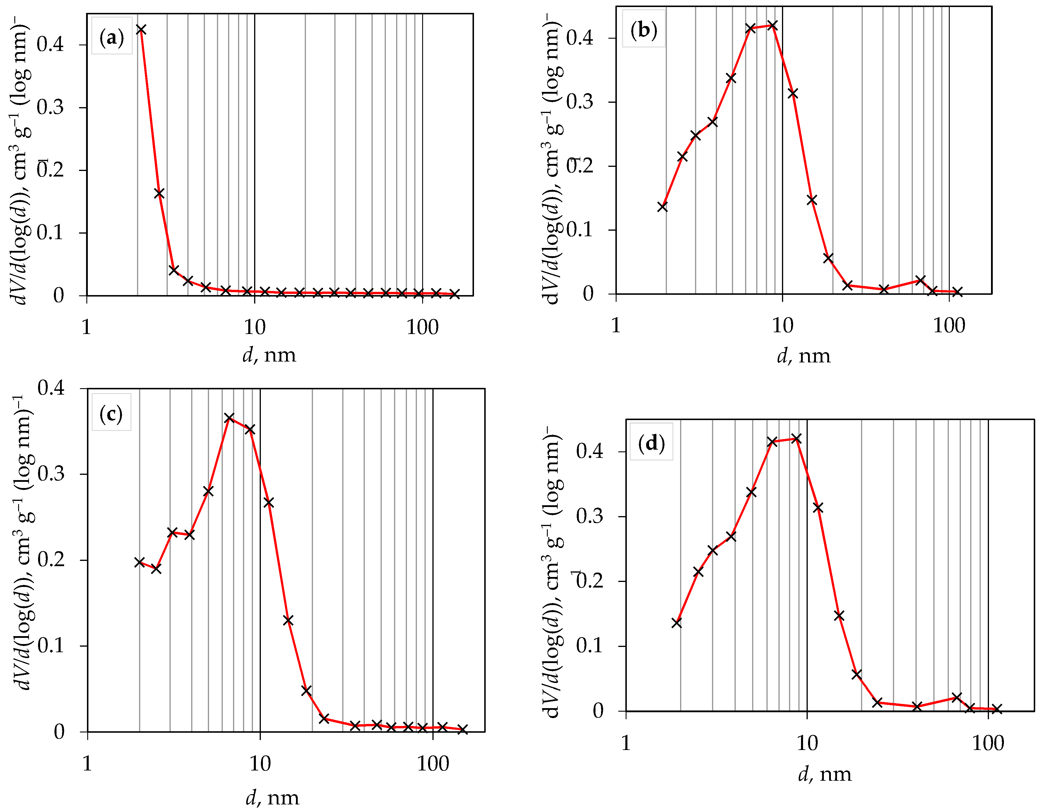
- BET analysis determined that for the TiO2 sample synthesized at 200 °C for 10 minutes, the specific surface area was the highest at 191.6 m2 g-1. The average pore diameter of this sample was 6.1 nm, corresponding to a mesoporous structure. According to the IUPAC classification, the nitrogen adsorption-desorption isotherm of this sample corresponds to the type IV isotherm.
- CrystallineTiO2 nanoparticles, without amorphous phase, with the highest specific surface area (191.6 m2 g-1) and the lowest energy band gap (2.90 eV) were obtained for the sample synthesized at 200 °C for 10 minutes.
Author Contributions
Funding
Data Availability Statement
Conflicts of Interest
References
- Parrino, F.; Pomilla, F.R.; Camera-Roda, G.; Loddo, V.; Palmisano, L. Properties of titanium dioxide. In Titanium Dioxide (TiO₂) and Its Applications, 1st ed.; Parrino, F., Palmisano, L., Eds.; Elsevier: Amsterdam, Netherlands, 2021; pp. 13–66. [Google Scholar]
- Chen, X.; Mao, S.S. Titanium Dioxide Nanomaterials: Synthesis, Properties, Modifications, and Applications. Chem. Rev. 2007, 107, 2891–2959. [Google Scholar] [CrossRef]
- Haider, A.J.; Jameel, Z.N.; Al-Hussaini, I.H.M. Review on: Titanium Dioxide Applications. Enrgy Proced. 2019, 157, 17–29. [Google Scholar] [CrossRef]
- Gabelica, I.; Ćurković, L.; Mandić, V.; Panžić, I.; Ljubas, D.; Zadro, K. Rapid Microwave-Assisted Synthesis of Fe3O4/SiO2/TiO2 Core-2-Layer-Shell Nanocomposite for Photocatalytic Degradation of Ciprofloxacin. Catalysts 2021, 11, 1136. [Google Scholar] [CrossRef]
- Čizmić, M.; Ljubas, D.; Rožman, M.; Ašperger, D.; Ćurković, L.; Babić, S. Photocatalytic Degradation of Azithromycin by Nanostructured TiO2 Film: Kinetics, Degradation Products, and Toxicity. Materials 2019, 12, 873. [Google Scholar] [CrossRef]
- Ćurković, L.; Ljubas, D.; Šegota, S.; Bačić, I. Photocatalytic degradation of Lissamine Green B dye by using nanostructured sol–gel TiO2 films. J. Alloy Compd. 2014, 604, 309–316. [Google Scholar] [CrossRef]
- Gülşen, G.; Naci Inci, M. Thermal optical properties of TiO2 films. Opt. Mater. 2002, 18, 373–381. [Google Scholar] [CrossRef]
- Bai, J.; Zhou, B. Titanium Dioxide Nanomaterials for Sensor Applications. Chem. Rev. 2014, 114, 10131–10176. [Google Scholar] [CrossRef] [PubMed]
- Sun, X.; Wang, C.; Su, D.; Wang, G.; Zhong, Y. Application of Photocatalytic Materials in Sensors. Adv. Mater. Technol. 2020, 5, 1900993. [Google Scholar] [CrossRef]
- Chougala, L.; Yatnatti, M.; Linganagoudar, R.; Kamble, R.; Kadadevarmath, J. A Simple Approach on Synthesis of TiO2 Nanoparticles and its Application in dye Sensitized Solar Cells. J. Nano- Electron. Phys. 2017, 9, 04005–1. [Google Scholar] [CrossRef]
- Švagelj, Z.; Mandić, V.; Ćurković, L.; Biošić, M.; Žmak, I.; Gaborardi, M. Titania-Coated Alumina Foam Photocatalyst for Memantine Degradation Derived by Replica Method and Sol-Gel Reaction. Materials 2020, 13, 227. [Google Scholar] [CrossRef]
- Awan, A.M.; Khalid, A.; Ahmad, P.; Alharthi, A.I.; Farooq, M.; Khan, A.; et al. Defects oriented hydrothermal synthesis of TiO2 and MnTiO2 nanoparticles as photocatalysts for wastewater treatment and antibacterial applications. Heliyon 2024, 10, e25579. [Google Scholar] [CrossRef] [PubMed]
- Zhang, K.; Wang, J.; Ninakanti, R.; Verbruggen, S.W. Solvothermal synthesis of mesoporous TiO2 with tunable surface area, crystal size and surface hydroxylation for efficient photocatalytic acetaldehyde degradation. Chem. Eng. J. 2023, 474, 145188. [Google Scholar] [CrossRef]
- Sanchez Tobon, C.; Ljubas, D.; Mandić, V.; Panžić, I.; Matijašić, G.; Ćurković, L. Microwave-Assisted Synthesis of N/TiO2 Nanoparticles for Photocatalysis under Different Irradiation Spectra. Nanomaterials 2022, 12, 1473. [Google Scholar] [CrossRef] [PubMed]
- Gupta, D.; Jamwal, D.; Rana, D.; Katoch, A. Microwave synthesized nanocomposites for enhancing oral bioavailability of drugs. In Applications of Nanocomposite Materials in Drug Delivery, 1st ed.; Inamuddin, A., Mohammad, A., Eds.; Woodhead Publishing: Sawston, UK, 2018; pp. 619–632. [Google Scholar]
- Sanchez Tobon, C.; Panžić, I.; Bafti, A.; Matijašić, G.; Ljubas, D.; Ćurković, L. Rapid Microwave-Assisted Synthesis of N/TiO2/rGO Nanoparticles for the Photocatalytic Degradation of Pharmaceuticals. Nanomaterials 2022, 12, 3975. [Google Scholar] [CrossRef] [PubMed]
- Mironyuk, I.; Soltys, L.; Tatarchuk, T.; Savka, K. Methods of Titanium Dioxide Synthesis (Review). Phys. Chem. Solid State 2020, 21, 462–477. [Google Scholar] [CrossRef]
- Trindade, F.; Politi, M.J. Sol-Gel Chemistry—Deals With Sol–Gel Processes. In Nano Design for Smart Gels, 1st ed.; Bacani, R., Trindade, F., Politi, M.J., Triboni, E.R., Eds.; Elsevier: Amsterdam, Netherlands, 2019; pp. 15–34. [Google Scholar]
- Kappe, C.O. Microwave-Assisted Chemistry. In Comprehensive Medicinal Chemistry II, 2nd ed.; Taylor, J.B., Triggle, D.J., Eds.; Elsevier: Oxford, UK, 2007; pp. 837–860. [Google Scholar]
- Gawande, M.B.; Shelke, S.N.; Zboril, R.; Varma, R.S. Microwave-Assisted Chemistry: Synthetic Applications for Rapid Assembly of Nanomaterials and Organics. Accounts Chem. Res. 2014, 47, 1338–1348. [Google Scholar] [CrossRef]
- Henary, M.; Kananda, C.; Rotolo, L.; Savino, B.; Owens, E.A.; Cravotto, G. Benefits and applications of microwave-assisted synthesis of nitrogen containing heterocycles in medicinal chemistry. RSC Adv. 2020, 10, 14170–14197. [Google Scholar] [CrossRef]
- Nunes, D.; Pimentel, A.; Santos, L.; Barquinha, P.; Pereira, L.; Fortunato, E.; et al. Synthesis, design, and morphology of metal oxide anostructures. In Metal Oxide Nanostructures, 1st ed.; Korotcenkov, A., Ed.; Elsevier: Oxford, UK, 2019; pp. 21–57. [Google Scholar]
- Chia, S.R.; Nomanbhay, S.; Milano, J.; Chew, K.W.; Tan, C.-H.; Khoo, K.S. Microwave-Absorbing Catalysts in Catalytic Reactions of Biofuel Production. Energies 2022, 15, 7984. [Google Scholar] [CrossRef]
- Zhu, X.; Zhang, Y.; Zhou, Y.; Huang, X. Moisture Absorption Characteristics of Nanoparticle-Doped Silicone Rubber and Its Influence Mechanism on Electrical Properties. Polymers 2021, 13, 1474. [Google Scholar] [CrossRef]
- Praveen, P.; Viruthagiri, G.; Mugundan, S.; Shanmugam, N. Structural, optical and morphological analyses of pristine titanium di-oxide nanoparticles-Synthesized via sol-gel route. Spectrochim. Acta A 2013, 117, 622–629. [Google Scholar] [CrossRef]
- Wu, Q.; Huang, F.; Zhao, M.; Xu, J.; Zhou, J.; Wang, Y. Ultra-small yellow defective TiO2 nanoparticles for co-catalyst free photocatalytic hydrogen production. Nano Energy 2016, 24, 63–71. [Google Scholar] [CrossRef]
- Thommes, M.; Kaneko, K.; Neimark, A.V.; Olivier, J.P.; Rodriguez-Reinoso, F.; Rouquerol, J.; Sing, K.S.W. Physisorption of Gases, with Special Reference to the Evaluation of Surface Area and Pore Size Distribution (IUPAC Technical Report). Pure and Applied Chemistry 2015, 87, 1051–1069. [Google Scholar] [CrossRef]
- Lowell, S.; Shields, J.; Thomas, M.A.; Thommes, M. Characterization of Porous Solids and Powders: Surface Area. Porosity and Density; Springer, 2004. [Google Scholar]
- Thommes, M.; Cychosz, K. A. Physical adsorption characterization of nanoporous materials: progress and challenges. Adsorption 2014, 20, 233–250. [Google Scholar] [CrossRef]
- Landers, J.; Gor, G.Y.; Neimark, A.V. Density functional theory methods for characterization of porous materials. Colloid. Surfaces A: Physicochem. Eng. Aspects 2013, 437, 3–30. [Google Scholar] [CrossRef]
- Mele, G.; Del Sole, R.; Vasapollo, G.; Garcia-Lopez, E.; Palmisano, L.; Jun, L.; Slota, R.; Dyrda, G. TiO2-based photocatalysts impregnated with metallo-porphyrins employed for degradation of 4-nitrophenol in aqueous solutions: role of metal and mac-rocycle. Res. Chem. Intermed. 2007, 33, 433–448. [Google Scholar] [CrossRef]
- Sun, W.-J.; Li, J.; Yao, G.-P.; Zhang, F.-X.; Wang, J.-L. Surface-modification of TiO2 with new metalloporphyrins and their photocatalytic activity in the degradation of 4-notrophenol. Appl. Surf. Sci. 2011, 258, 940–945. [Google Scholar] [CrossRef]
- Ćurković, L.; Ljubas, D.; Juretić, H. Photocatalytic decolorization kinetics of diazo dye Congo Red aqueous solution by UV/TiO2 nanoparticles. React. Kinet. Mech. Catal. 2010, 99, 201–208. [Google Scholar] [CrossRef]





| TiO2 sample | Specific surface area, | Average pore diameter, | |
|---|---|---|---|
| T, °C | t, min | ||
| 150 | 30 | 321.9 | 2.0 |
| 200 | 10 | 191.6 | 6.1 |
| 200 | 20 | 181.1 | 5.4 |
| 200 | 30 | 168.5 | 9.1 |
Disclaimer/Publisher’s Note: The statements, opinions and data contained in all publications are solely those of the individual author(s) and contributor(s) and not of MDPI and/or the editor(s). MDPI and/or the editor(s) disclaim responsibility for any injury to people or property resulting from any ideas, methods, instructions or products referred to in the content. |
© 2024 by the authors. Licensee MDPI, Basel, Switzerland. This article is an open access article distributed under the terms and conditions of the Creative Commons Attribution (CC BY) license (http://creativecommons.org/licenses/by/4.0/).