Submitted:
01 May 2024
Posted:
03 May 2024
You are already at the latest version
Abstract
Keywords:
1. Introduction
2. Background
3. Methodology
3.1. Calculation of Heating/Cooling Loads
3.1.1. Heating Load Calculations
-
Walls: The value of unit thermal resistances is provided in Table 5-4a (construction 2) of the HVAC book [98]. This value can be determined by using thermal conductivity (k) for each material.
- o
- Construction 2 is taken for the project with a slight change. Aluminum siding, backed with 0.375 in. (9.5 mm) insulating board is incorporated in place of the brick whose conductance is taken as 3.123 W/m2-oC. These are installed in the space of reflective air space and constitute 20% of the space.
- o
- Two resistances are calculated, one considering reflective air space and one considering vertical furring instead of reflective air space. Since vertical furring only corresponded with 20%, the U value determined from resistances is multiplied by 0.2, while other resistance is multiplied by 0.8.
- o
- Utot for walls = 0.6814 W/m2-oC.
- o
- Utot for roof = 0.2839 W/m2-oC [Example 5-2 from HVAC book [98].
- o
- For a 0.15 m concrete floor with the average thermal conductivity of 1.7 W/m.K, fully covered by an insulation material with the thermal resistance of 0.88 m2.K/W on the ground with thermal conductivity of 0.1152 W/m.K (London, Ontario) [66], the edge heat loss coefficient (HLCedge) for floor slab is 0.8304 W/m-oC [98,100].
- The height of north and west facing windows are taken 0.914 m and 1.829 m. While the height of the door is considered 2.134 m.
-
For doors and windows
- o
- All windows and doors are assumed to be double glazing with 0.0127 m air space (wood/vinyl).
- Inside temperature i.e., space temperature which is to be maintained inside the house is assumed to be 22.22 oC, and outside temperature (to) is taken as -14.2 oC.
-
For Infiltration:
- o
- To determine the latent heat transfer, the humidity ratio for inside conditions (Wi) and humidity ratio for outside conditions (Wo) are ascertained. These are determined through a psychrometric chart [101] at an inside temperature of 22.22 oC and 30% relative humidity and met data for ambient conditions.
- o
- For our calculations, Wi is taken as 0.005 kg(w)/kg(a). hg is found out to be 2541150 J/kg and hf is found to be 93040 J/kg.
- o
- The amount of infiltration for space of the residential building air is considered as 0.5 air change per hour (ACH).
3.1.2. Cooling Load Calculations
-
All the required data mentioned below is taken from the HVAC handbook [98].
- o
- The design dry bulb temperature for the day (T) and daily range (DR) (which is the difference between the average maximum and average minimum for the hottest month of a location) is respectively taken from National Renewable Energy Laboratories (NREL) [97] and HVAC book [98]. The daily range is taken as 18.5oF. The design temperatures and daily ranges are also provided in Appendix B (Table B-1) of [98].
- o
- The hourly incident solar radiation is ascertained from NREL [97].
- o
- For determining solar heat gain constant for diffuse (d) and direct radiation (D), Table 7-3 from the HVAC handbook [98] is used.
- o
- The periodic response factors are available in Table 8-18 in the HVAC book [98]. Wall 1 and Roof 1 are considered for calculations while radiant time factors from Table 8-28 are assumed. The radiant time factors for low-weight, medium-weight, and heavy-weight buildings are available in Table 8-21 in the HVAC Book [98].
- o
- Heat transfer through the floor for cooling load calculations is neglected.
- From Table 8-2 in the HVAC book [98], the sensible and latent heat gain for occupants can be estimated. However, the sensible and latent heat gain for occupants is taken as 73.27 W and 58.61 W respectively from the HVAC Book [98] (Table 8-2 moderately active office work or standing, light work; walking) .
- The heat gain from lighting is considered as 21.5 W/m2 [98].
- The heat gain from equipment (refrigerator, microwave, and oven) is taken as 4.8 kW [98].
- The sensible and latent load associated with infiltration is determined in a similar manner as done for heating load calculations. For the calculations, the specific volume of outdoor air is considered as 0.89 m3/Kg. Humidity ratio values are taken at 85oF outdoor temperature and 72 oF indoor temperature.
- The cooling load essentially represents the incumbent energy removal rate to maintain the desired temperature and humidity in a space. It typically differs from heat gain because radiation from interior surfaces and direct solar radiation entering through openings doesn't immediately warm the air inside. Instead, this radiant energy is absorbed by floors, walls, and furniture, primarily cooled through convection as they reach temperatures higher than the room air. Only when this energy is transferred to the air by convection does it contribute to the cooling load. The thermal properties of the structure and interior objects determine the thermal lag, influencing the relationship between heat gain and the cooling load. The heat emitted by people and equipment operates similarly. The radiant energy portion generated by lights, equipment, or individuals is temporarily stored in the surroundings. Energy directly transferred into the air by lights and people, eventually transferred by the surroundings, becomes part of the cooling load. As the RTSM employs a radiant time series for the radiative segments of heat gain, designers need to categorize all heat gains into radiative and convective components. The radiative-convective splits for the heat gain are shown in Table 4.
3.2. Black Box Heat Pump (BBHP) Model
3.2.1. Heating Mode
| Rated Capacity (BTU/hr) | COP Coefficients | |||
| 18000 | 3.202 | 0.0887 | 0.000386 | 99.55 |
| 24000 | 3.202 | 0.08879 | 0.000348 | 99.53 |
| 30000 | 3.232 | 0.09092 | -0.00048 | 99.11 |
| 36000 | 3.197 | 0.08875 | 0.000523 | 99.66 |
| 42000 | 3.093 | 0.0737 | 0.000217 | 99.44 |
| 48000 | 3.273 | 0.08474 | -0.00024 | 99.13 |
| 60000 | 2.967 | 0.07639 | 0.000272 | 99.43 |
3.2.2. Cooling Mode
| Rated Capacity (BTU/hr) | ||||||||
|---|---|---|---|---|---|---|---|---|
| 18000 | 24000 | 30000 | 36000 | 42000 | 48000 | 60000 | ||
| Coefficients of COP | 10.45648 | 9.14469 | 10.80332 | 10.66776 | 11.1678 | 10.7799 | 10.48214 | |
| -0.11064 | 0.012049 | -0.13687 | -0.12536 | -0.14811 | -0.12931 | -0.12989 | ||
| -0.21069 | -0.21788 | -0.18697 | -0.19849 | -0.208 | -0.1978 | -0.18888 | ||
| -0.17693 | -0.15915 | -0.18717 | -0.18142 | -0.19111 | -0.18515 | -0.18156 | ||
| -0.00038 | -5E-05 | -0.00024 | -0.00012 | 8.46E-05 | -0.00013 | -0.00014 | ||
| 0.001363 | -0.00014 | 0.001632 | 0.001463 | 0.001723 | 0.001535 | 0.001532 | ||
| 0.002596 | 0.002523 | 0.002229 | 0.002317 | 0.002419 | 0.002348 | 0.002227 | ||
| 0.002739 | -0.0001 | 0.003153 | 0.002864 | 0.003197 | 0.002939 | 0.00295 | ||
| 0.008582 | 0.008251 | 0.007745 | 0.007893 | 0.00789 | 0.00791 | 0.007562 | ||
| 0.000623 | 0.000609 | 0.000722 | 0.000671 | 0.000727 | 0.000694 | 0.000706 | ||
| -3.4E-05 | 1.16E-06 | -3.8E-05 | -3.3E-05 | -3.7E-05 | -3.5E-05 | -3.5E-05 | ||
| -0.00011 | -9.6E-05 | -9.2E-05 | -9.2E-05 | -9.2E-05 | -9.4E-05 | -8.9E-05 | ||
| 7.73E-06 | 9.2E-07 | 4.63E-06 | 2.34E-06 | -1.6E-06 | 2.54E-06 | 2.61E-06 | ||
| 99.96 | 99.98 | 99.97 | 99.98 | 99.98 | 99.98 | 99.98 | ||
3.3. Solar PV Sizing
3.4. Limited Data PV System Sizing
4. Results
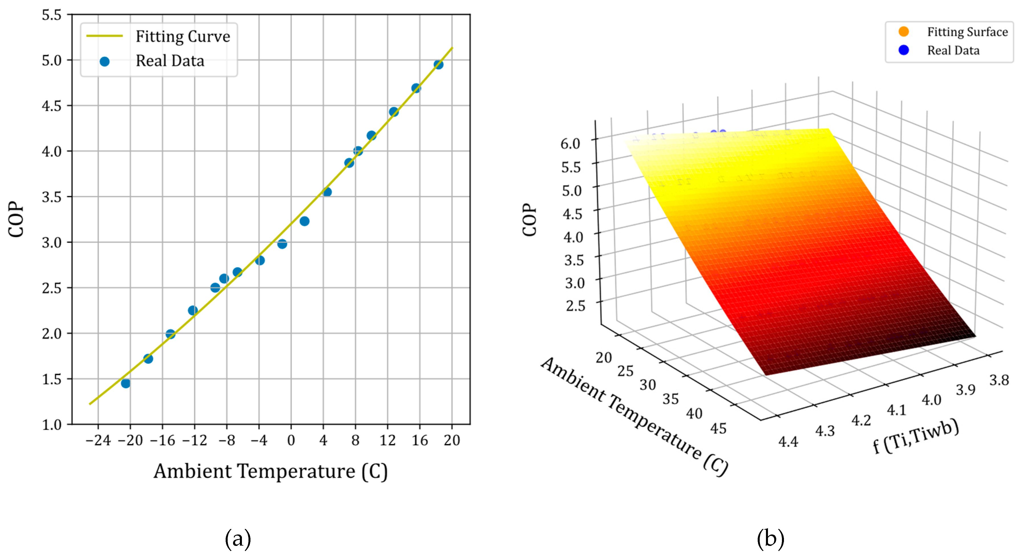
4.1. Validation
4.2. Heating/Cooling Load Demand
4.2.1. Monthly Load Demand
4.2.2. Daily Load Demand
4.2.3. Hourly Load Demand
4.3. Sizing of Heat Pump
4.4. Sizing of Solar PV
4.5. Impacts of the Limited Data Model on PV Sizing
5. Discussion
6. Conclusions
Author Contributions
Funding
Data Availability Statement
Conflicts of Interest
Nomenclature
| Abbreviations |
| ACH: Air Change per Hour |
| ANN: Artificial Neutral Network |
| ASHP: Air Source Heat Pump |
| AWHP: Air-Water Heat Pump |
| COP: Coefficient of Performance |
| E: Energy |
| EER: Energy Efficiency Ratio |
| HAP: Hourly Analysis Program |
| HP: Heat pump |
| HVAC: Heating, Ventilation & Air Conditioning |
| GHE: Ground Heat Exchanger |
| GHG: Greenhouse Gas |
| GSHP: Ground Source Heat Pump |
| NREL: National Renewable Energy Laboratories |
| PV: Photovoltaics |
| SAM: System Advisor Model |
| SC: Self-consumption |
| SS: Self-sufficiency |
| SHG: Solar Heat Gain |
| SHGC: Solar Heat Gain Constant |
| Latin symbols |
| dt/dx: Temperature gradient across the heat transfer surface |
| : Area normal to the direction of heat transfer [m2] |
| : Area of floor [m2] |
| : Area of frame [m2] |
| : Projected surface area of frame [m2] |
| : Area of glazing [m2] |
| : Actual surface area of the frame incorporating the depth at which the glass is placed inside the frame [m2] |
| : Absorptivity |
| : Solar absorptivity of exterior frame surface [W/m2] |
| : Conductance [W/(m2.K)] |
| : Specific heat of infiltrated air [kJ/(kg-K)] |
| : Daily range |
| : Direct irradiance [W/m2] |
| : Incident solar radiation [W/m2] |
| : Convective heat transfer coefficient [W/(m2.C)] |
| : Overall exterior surface conductance [1/(Ohmm)] |
| : Combined convection and conduction coefficient [W/(m2.C)] |
| : Height of ceiling [m] |
| : Latent heat of vaporization [J/Kg] |
| : Infiltration [m³/s] |
| : Thermal conductivity [W/(m. oC)] |
| : Mass flow rate [kg/s] |
| : Heat transfer rate [W] |
| : Conduction heat flux [W/m2] |
| : Latent heat transfer [W] |
| : Sensible heat transfer [W] |
| : Thermal unit resistance [(m2. oC)/W] |
| : Resistance [oC/W] |
| : Hourly temperature [oC] |
| : Hourly Sol-air temperature [oC] |
| : Temperature of fluid in contact with heat transfer surface [oC] |
| : Temperature of heat transfer surface [oC] |
| : (to-ti): Difference between indoor and outdoor dry bulb temperature [oC] |
| : Ambient temperature [oC] |
| : Overall heat transfer coefficient |
| : Space volume [m3] |
| : Specific Volume [m3/kg] |
| : Humidity ratio |
| : Percentage [%] |
| Subscripts and superscripts |
| : Conduction |
| : Convection |
| : Direct radiation |
| : Diffuse radiation |
| : Frame |
| : Glazing |
| : Inside |
| : Inside wet bulb |
| : Infiltration |
| : Outside |
| : Original |
| : Load |
| : Sunlit area |
| : Total |
References
- Dincer, I.; Rosen, M.A.; Ahmadi, P. Optimization of Energy Systems; John Wiley & Sons, 2017; ISBN 1-118-89443-X.
- Baghoolizadeh, M.; Rostamzadeh-Renani, R.; Rostamzadeh-Renani, M.; Toghraie, D. A Multi-Objective Optimization of a Building’s Total Heating and Cooling Loads and Total Costs in Various Climatic Situations Using Response Surface Methodology. Energy Reports 2021, 7, 7520–7538. [Google Scholar] [CrossRef]
- US EPA, O. Sources of Greenhouse Gas Emissions Available online:. Available online: https://www.epa.gov/ghgemissions/sources-greenhouse-gas-emissions (accessed on 20 September 2023).
- The Evidence Is Clear: The Time for Action Is Now. We Can Halve Emissions by 2030. — IPCC.
- Canada, E. and C.C. Available online: https://www.canada.ca/en/environment-climate-change/services/climate-change/greenhouse-gas-emissions/sources-sinks-executive-summary-2022.html (accessed on 4 July 2023).
- Canada: CO₂ Emissions per Capita 1970-2022 Available online:. Available online: https://www.statista.com/statistics/1290653/per-capita-emissions-in-canada/ (accessed on 20 September 2023).
- Canada, S. Net-Zero Emissions by 2050 Available online:. Available online: https://www.canada.ca/en/services/environment/weather/climatechange/climate-plan/net-zero-emissions-2050.html (accessed on 11 July 2023).
- Dubois, G.; Sovacool, B.; Aall, C.; Nilsson, M.; Barbier, C.; Herrmann, A.; Bruyère, S.; Andersson, C.; Skold, B.; Nadaud, F.; et al. It Starts at Home? Climate Policies Targeting Household Consumption and Behavioral Decisions Are Key to Low-Carbon Futures. Energy Research & Social Science 2019, 52, 144–158. [Google Scholar] [CrossRef]
- Gandzeichuk, I. Council Post: Smart Homes: Reducing Carbon Footprint And Expenses Available online:. Available online: https://www.forbes.com/sites/forbestechcouncil/2021/12/10/smart-homes-reducing-carbon-footprint-and-expenses/ (accessed on 11 July 2023).
- Canada, N.R. Heating Equipment for Residential Use Available online:. Available online: https://natural-resources.canada.ca/energy-efficiency/products/heating-equipment-for-residential-use/13740 (accessed on 25 February 2023).
- Zhang, C.; Nielsen, E.; Fan, J.; Furbo, S.; Li, Q. Experimental Investigation on a Combined Solar and Ground Source Heat Pump System for a Single-Family House: Energy Flow Analysis and Performance Assessment. Energy and Buildings 2021, 241, 110958. [Google Scholar] [CrossRef]
- El Hannach, M.; Ahmadi, P.; Guzman, L.; Pickup, S.; Kjeang, E. Life Cycle Assessment of Hydrogen and Diesel Dual-Fuel Class 8 Heavy Duty Trucks. International Journal of Hydrogen Energy 2019, 44, 8575–8584. [Google Scholar] [CrossRef]
- Mahjoob, A.; Ahmadi, P.; Afsaneh, H.; Vojdani, M.; Mortazavi, M. System Sizing and Transient Simulation of a Solar Photovoltaic Off-Grid Energy System in Various Climates with Air Heat Pumps. Sustainable Energy Technologies and Assessments 2022, 54, 102788. [Google Scholar] [CrossRef]
- Karayel, G.K.; Javani, N.; Dincer, I. Green Hydrogen Production Potential for Turkey with Solar Energy. International Journal of Hydrogen Energy 2022, 47, 19354–19364. [Google Scholar] [CrossRef]
- Matasci, S. How Solar Panel Cost & Efficiency Change Over Time | EnergySage. EnergySage Blog 2022.
- Masson, G. 2018 Snapshot of Global Photovoltaic Markets. Report IEA PVPS T1-33: 2018.
- Ahmadi, P.; Khoshnevisan, A. Dynamic Simulation and Lifecycle Assessment of Hydrogen Fuel Cell Electric Vehicles Considering Various Hydrogen Production Methods. International Journal of Hydrogen Energy 2022, 47, 26758–26769. [Google Scholar] [CrossRef]
- Mertens, K. Photovoltaics: Fundamentals, Technology, and Practice; John Wiley & Sons, 2018; ISBN 1-119-40104-6.
- Al-Falahi, M.D.; Jayasinghe, S.D.G.; Enshaei, H. A Review on Recent Size Optimization Methodologies for Standalone Solar and Wind Hybrid Renewable Energy System. Energy conversion and management 2017, 143, 252–274. [Google Scholar] [CrossRef]
- Goel, S.; Sharma, R. Performance Evaluation of Stand Alone, Grid Connected and Hybrid Renewable Energy Systems for Rural Application: A Comparative Review. Renewable and Sustainable Energy Reviews 2017, 78, 1378–1389. [Google Scholar] [CrossRef]
- Okoye, C.O.; Solyalı, O. Optimal Sizing of Stand-Alone Photovoltaic Systems in Residential Buildings. Energy 2017, 126, 573–584. [Google Scholar] [CrossRef]
- Shukla, A.K.; Sudhakar, K.; Baredar, P. Design, Simulation and Economic Analysis of Standalone Roof Top Solar PV System in India. Solar Energy 2016, 136, 437–449. [Google Scholar] [CrossRef]
- Al-Salaymeh, A.; Al-Hamamre, Z.; Sharaf, F.; Abdelkader, M.R. Technical and Economical Assessment of the Utilization of Photovoltaic Systems in Residential Buildings: The Case of Jordan. Energy conversion and management 2010, 51, 1719–1726. [Google Scholar] [CrossRef]
- Khatib, T.; Mohamed, A.; Sopian, K. A Review of Photovoltaic Systems Size Optimization Techniques. Renewable and Sustainable Energy Reviews 2013, 22, 454–465. [Google Scholar] [CrossRef]
- Sidrach-de-Cardona, M.; Lopez, L.M. A Simple Model for Sizing Stand Alone Photovoltaic Systems. Solar Energy Materials and Solar Cells 1998, 55, 199–214. [Google Scholar] [CrossRef]
- Kazem, H.A.; Khatib, T.; Sopian, K. Sizing of a Standalone Photovoltaic/Battery System at Minimum Cost for Remote Housing Electrification in Sohar, Oman. Energy and Buildings 2013, 61, 108–115. [Google Scholar] [CrossRef]
- Muhsen, D.H.; Nabil, M.; Haider, H.T.; Khatib, T. A Novel Method for Sizing of Standalone Photovoltaic System Using Multi-Objective Differential Evolution Algorithm and Hybrid Multi-Criteria Decision Making Methods. Energy 2019, 174, 1158–1175. [Google Scholar] [CrossRef]
- Ridha, H.M.; Gomes, C.; Hizam, H.; Ahmadipour, M.; Heidari, A.A.; Chen, H. Multi-Objective Optimization and Multi-Criteria Decision-Making Methods for Optimal Design of Standalone Photovoltaic System: A Comprehensive Review. Renewable and Sustainable Energy Reviews 2021, 135, 110202. [Google Scholar] [CrossRef]
- Amara, S.; Toumi, S.; Salah, C.B.; Saidi, A.S. Improvement of Techno-Economic Optimal Sizing of a Hybrid off-Grid Micro-Grid System. Energy 2021, 233, 121166. [Google Scholar] [CrossRef]
- Do Grid-Tied Photovoltaic Systems Really Have an Advantage? Available online:. Available online: https://www.greenbuildingadvisor.com/article/do-grid-tied-photovoltaic-systems-really-have-an-advantage (accessed on 11 October 2023).
- Hayibo, K.S.; Pearce, J.M. A Review of the Value of Solar Methodology with a Case Study of the U.S. VOS. Renewable and Sustainable Energy Reviews 2021, 137, 110599. [Google Scholar] [CrossRef]
- The Role of Net Metering in the Evolving Electricity System | National Academies Available online:. Available online: https://www.nationalacademies.org/our-work/the-role-of-net-metering-in-the-evolving-electricity-system (accessed on 19 July 2023).
- Nicoletti, F.; Cucumo, M.A.; Arcuri, N. Cost Optimal Sizing of Photovoltaic-Battery System and Air–Water Heat Pump in the Mediterranean Area. Energy Conversion and Management 2022, 270, 116274. [Google Scholar] [CrossRef]
- O’Shaughnessy, E.; Cutler, D.; Ardani, K.; Margolis, R. Solar plus: A Review of the End-User Economics of Solar PV Integration with Storage and Load Control in Residential Buildings. Applied Energy 2018, 228, 2165–2175. [Google Scholar] [CrossRef]
- Pearce, J.M.; Sommerfeldt, N. Economics of Grid-Tied Solar Photovoltaic Systems Coupled to Heat Pumps: The Case of Northern Climates of the U.S. and Canada. Energies 2021, 14, 834. [Google Scholar] [CrossRef]
- Padovani, F.; Sommerfeldt, N.; Longobardi, F.; Pearce, J.M. Decarbonizing Rural Residential Buildings in Cold Climates: A Techno-Economic Analysis of Heating Electrification. Energy and Buildings 2021, 250, 111284. [Google Scholar] [CrossRef]
- Sommerfeldt, N.; Pearce, J.M. Can Grid-Tied Solar Photovoltaics Lead to Residential Heating Electrification? A Techno-Economic Case Study in the Midwestern U.S. Applied Energy 2023, 336, 120838. [Google Scholar] [CrossRef]
- Pena-Bello, A.; Schuetz, P.; Berger, M.; Worlitschek, J.; Patel, M.K.; Parra, D. Decarbonizing Heat with PV-Coupled Heat Pumps Supported by Electricity and Heat Storage: Impacts and Trade-Offs for Prosumers and the Grid. Energy Conversion and Management 2021, 240, 114220. [Google Scholar] [CrossRef]
- Battaglia, M.; Haberl, R.; Bamberger, E.; Haller, M. Increased Self-Consumption and Grid Flexibility of PV and Heat Pump Systems with Thermal and Electrical Storage. Energy Procedia 2017, 135, 358–366. [Google Scholar] [CrossRef]
- Asgari, N.; Hayibo, K.S.; Groza, J.; Rana, S. Greenhouse Applications of Solar Photovoltaic Driven Heat Pumps in Northern Environments. 2023.
- Bloess, A.; Schill, W.-P.; Zerrahn, A. Power-to-Heat for Renewable Energy Integration: A Review of Technologies, Modeling Approaches, and Flexibility Potentials. Applied Energy 2018, 212, 1611–1626. [Google Scholar] [CrossRef]
- Rana, S.; Sommerfeldt, N.; Pearce, J.M. Best Practices of Techno-Economic Methods for Solar Photovoltaic Coupled Heat Pump Analysis in Cold Climates. To be published.
- Heidarinejad, M.; Mattise, N.; Dahlhausen, M.; Sharma, K.; Benne, K.; Macumber, D.; Brackney, L.; Srebric, J. Demonstration of Reduced-Order Urban Scale Building Energy Models. Energy and Buildings 2017, 156, 17–28. [Google Scholar] [CrossRef]
- Jin, H.; Spitler, J.D. A Parameter Estimation Based Model of Water-to-Water Heat Pumps for Use in Energy Calculation Programs. ASHRAE transactions 2002, 108, 3. [Google Scholar]
- Staffell, I.; Brett, D.; Brandon, N.; Hawkes, A. A Review of Domestic Heat Pumps. Energy & Environmental Science 2012, 5, 9291–9306. [Google Scholar]
- 46. Ground-Source versus Air-Source Heat Pumps. Dandelion Energy.
- Casasso, A.; Sethi, R. Efficiency of Closed Loop Geothermal Heat Pumps: A Sensitivity Analysis. Renewable Energy 2014, 62, 737–746. [Google Scholar] [CrossRef]
- Cho, H.; Choi, J.M. The Quantitative Evaluation of Design Parameter’s Effects on a Ground Source Heat Pump System. Renewable energy 2014, 65, 2–6. [Google Scholar] [CrossRef]
- Guo, Y.; Zhang, G.; Zhou, J.; Wu, J.; Shen, W. A Techno-Economic Comparison of a Direct Expansion Ground-Source and a Secondary Loop Ground-Coupled Heat Pump System for Cooling in a Residential Building. Applied Thermal Engineering 2012, 35, 29–39. [Google Scholar] [CrossRef]
- Lazzarin, R. Heat Pumps and Solar Energy: A Review with Some Insights in the Future. International Journal of Refrigeration 2020, 116, 146–160. [Google Scholar] [CrossRef]
- Lim, T.H.; De Kleine, R.D.; Keoleian, G.A. Energy Use and Carbon Reduction Potentials from Residential Ground Source Heat Pumps Considering Spatial and Economic Barriers. Energy and Buildings 2016, 128, 287–304. [Google Scholar] [CrossRef]
- Aditya, G.R.; Mikhaylova, O.; Narsilio, G.A.; Johnston, I.W. Comparative Costs of Ground Source Heat Pump Systems against Other Forms of Heating and Cooling for Different Climatic Conditions. Sustainable Energy Technologies and Assessments 2020, 42, 100824. [Google Scholar] [CrossRef]
- Nguyen, H.V.; Law, Y.L.E.; Alavy, M.; Walsh, P.R.; Leong, W.H.; Dworkin, S.B. An Analysis of the Factors Affecting Hybrid Ground-Source Heat Pump Installation Potential in North America. Applied Energy 2014, 125, 28–38. [Google Scholar] [CrossRef]
- Baxter, V.D.; Groll, E.; Sikes, K. IEA HPT Annex 41 Cold Climate Heat Pumps—Final Report (HPT-AN41-1). IEA Heat Pump Centre: London, UK.
- Zhang, L.; Jiang, Y.; Dong, J.; Yao, Y. Advances in Vapor Compression Air Source Heat Pump System in Cold Regions: A Review. Renewable and Sustainable Energy Reviews 2018, 81, 353–365. [Google Scholar] [CrossRef]
- Canada, N.R. Heating and Cooling With a Heat Pump Available online:. Available online: https://natural-resources.canada.ca/energy-efficiency/energy-star-canada/about/energy-star-announcements/publications/heating-and-cooling-heat-pump/6817 (accessed on 7 July 2023).
- Zhang, Y.; Ma, Q.; Li, B.; Fan, X.; Fu, Z. Application of an Air Source Heat Pump (ASHP) for Heating in Harbin, the Coldest Provincial Capital of China. Energy and Buildings 2017, 138, 96–103. [Google Scholar] [CrossRef]
- Kegel, M.; Sager, J.; Thomas, M.; Giguere, D.; Sunye, R. Performance Testing of Cold Climate Air Source Heat Pumps. In Proceedings of the Proc. 12th IEA Heat Pump Conf. Rotterdam, Netherlands, May; 2017; pp. 15–18. [Google Scholar]
- Global Heat Pump Sales Continue Double-Digit Growth – Analysis Available online:. Available online: https://www.iea.org/commentaries/global-heat-pump-sales-continue-double-digit-growth (accessed on 7 July 2023).
- Asaee, S.R.; Ugursal, V.I.; Beausoleil-Morrison, I. Techno-Economic Feasibility Evaluation of Air to Water Heat Pump Retrofit in the Canadian Housing Stock. Applied Thermal Engineering 2017, 111, 936–949. [Google Scholar] [CrossRef]
- Udovichenko, A.; Zhong, L. Techno-Economic Analysis of Air-Source Heat Pump (ASHP) Technology for Single-Detached Home Heating Applications in Canada. Science and Technology for the Built Environment 2020, 26, 1352–1370. [Google Scholar] [CrossRef]
- Kegel, M.; Tamasauskas, J.; Sunye, R.; Giguère, D. Heat Pumps in the Canadian Residential Sector. In Proceedings of the 11th IEA Heat Pump Conference. International Energy Agency, Montreal; 2014. [Google Scholar]
- Fischer, D.; Lindberg, K.B.; Madani, H.; Wittwer, C. Impact of PV and Variable Prices on Optimal System Sizing for Heat Pumps and Thermal Storage. Energy and Buildings 2016, 128, 723–733. [Google Scholar] [CrossRef]
- Zaya, N.E.; Hassan, L.H.; Bilgil, H. Mathematical Modeling for Prediction of Heating and Air-Conditioning Energies of Multistory Buildings in Duhok City. Academic Journal of Nawroz University 2018, 7, 153–167. [Google Scholar] [CrossRef]
- Ashrae, A.H.F.; Atlanta, G. American Society of Heating. Refrigerating and Air-Conditioning Engineers 2009, 1. [Google Scholar]
- Hourly Analysis Program | Carrier Carrier Commercial North America Available online:. Available online: https://www.carrier.com/commercial/en/us/software/hvac-system-design/hourly-analysis-program/ (accessed on 7 June 2023).
- Freeman, J.M.; DiOrio, N.A.; Blair, N.J.; Neises, T.W.; Wagner, M.J.; Gilman, P.; Janzou, S. System Advisor Model (SAM) General Description (Version 2017.9.5); 2018; p. 7041; -4. [Google Scholar]
- Ibrahim, I.A.; Khatib, T.; Mohamed, A. Optimal Sizing of a Standalone Photovoltaic System for Remote Housing Electrification Using Numerical Algorithm and Improved System Models. Energy 2017, 126, 392–403. [Google Scholar] [CrossRef]
- Ibrahim, H.; Anani, N. Evaluation of Analytical Methods for Parameter Extraction of PV Modules. Energy Procedia 2017, 134, 69–78. [Google Scholar] [CrossRef]
- Egido, M.; Lorenzo, E. The Sizing of Stand Alone PV-System: A Review and a Proposed New Method. Solar energy materials and solar cells 1992, 26, 51–69. [Google Scholar] [CrossRef]
- Solar Photovoltaic Software - Appropedia, the Sustainability Wiki Available online:. Available online: https://www.appropedia.org/Solar_photovoltaic_software (accessed on 11 July 2023).
- ESP-r Available online:. Available online: https://web.archive.org/web/20200202174513/http://www.esru.strath.ac.uk:80/Programs/ESP-r.htm (accessed on 20 September 2023).
- s.r.o, © Solargis Solargis :: pvPlanner Available online:. Available online: https://solargis.info/pvplanner/#tl=Google:hybrid&bm=satellite (accessed on 20 September 2023).
- Solar, L. Generate Solar Permit Packages in Minutes | Lyra Solar Available online:. Available online: https://get.solardesigntool.com/ (accessed on 20 September 2023).
- Aurora Solar: The World’s #1 Solar Design Software Available online:. Available online: https://aurorasolar.com/ (accessed on 20 September 2023).
- PVsyst – Logiciel Photovoltaïque.
- Laplace Systems Co., Ltd. Available online:. Available online: https://www.lapsys.co.jp/english/products/pro.html (accessed on 20 September 2023).
- Welcome | TRNSYS : Transient System Simulation Tool Available online:. Available online: https://www.trnsys.com/ (accessed on 11 April 2023).
- RETScreen Available online:. Available online: https://www.deassociation.ca/retscreen (accessed on 26 May 2023).
- HOMER - Hybrid Renewable and Distributed Generation System Design Software Available online:. Available online: https://www.homerenergy.com/ (accessed on 20 September 2023).
- iHOGA / MHOGA – Simulation and Optimization of Stand-Alone and Grid-Connected Hybrid Renewable Systems.
- Hybrid2 | Wind Energy Center Available online:. Available online: https://www.umass.edu/windenergy/research/topics/tools/software/hybrid2 (accessed on 20 September 2023).
- Connolly, D.; Lund, H.; Mathiesen, B.V.; Leahy, M. A Review of Computer Tools for Analysing the Integration of Renewable Energy into Various Energy Systems. Applied energy 2010, 87, 1059–1082. [Google Scholar] [CrossRef]
- Bajpai, P.; Dash, V. Hybrid Renewable Energy Systems for Power Generation in Stand-Alone Applications: A Review. Renewable and Sustainable Energy Reviews 2012, 16, 2926–2939. [Google Scholar] [CrossRef]
- Cui, W.; Li, X.; Li, X.; Si, T.; Lu, L.; Ma, T.; Wang, Q. Thermal Performance of Modified Melamine Foam/Graphene/Paraffin Wax Composite Phase Change Materials for Solar-Thermal Energy Conversion and Storage. Journal of Cleaner Production 2022, 367, 133031. [Google Scholar] [CrossRef]
- Ani, V.A. Feasibility and Optimal Design of a Stand-Alone Photovoltaic Energy System for the Orphanage. Journal of Renewable Energy 2014, 2014. [Google Scholar] [CrossRef]
- Li, H.; Hou, K.; Xu, X.; Jia, H.; Zhu, L.; Mu, Y. Probabilistic Energy Flow Calculation for Regional Integrated Energy System Considering Cross-System Failures. Applied Energy 2022, 308, 118326. [Google Scholar] [CrossRef]
- Schelly, C.; Louie, E.P.; Pearce, J.M. Examining Interconnection and Net Metering Policy for Distributed Generation in the United States. Renewable Energy Focus 2017, 22–23, 10–19. [Google Scholar] [CrossRef]
- Revesz, R.L.; Unel, B. The Future of Distributed Generation: Moving Past Net Metering. Envtl. L. Rep. News & Analysis 2018, 48, 10719–10725. [Google Scholar]
- Bruno, R.; Bevilacqua, P.; Carpino, C.; Arcuri, N. The Cost-Optimal Analysis of a Multistory Building in the Mediterranean Area: Financial and Macroeconomic Projections. Energies 2020, 13, 1243. [Google Scholar] [CrossRef]
- Angenendt, G.; Zurmühlen, S.; Rücker, F.; Axelsen, H.; Sauer, D.U. Optimization and Operation of Integrated Homes with Photovoltaic Battery Energy Storage Systems and Power-to-Heat Coupling. Energy Conversion and Management: X 2019, 1, 100005. [Google Scholar] [CrossRef]
- Beck, T.; Kondziella, H.; Huard, G.; Bruckner, T. Optimal Operation, Configuration and Sizing of Generation and Storage Technologies for Residential Heat Pump Systems in the Spotlight of Self-Consumption of Photovoltaic Electricity. Applied Energy 2017, 188, 604–619. [Google Scholar] [CrossRef]
- Lindberg, K.B.; Doorman, G.; Fischer, D.; Korpås, M.; Ånestad, A.; Sartori, I. Methodology for Optimal Energy System Design of Zero Energy Buildings Using Mixed-Integer Linear Programming. Energy and Buildings 2016, 127, 194–205. [Google Scholar] [CrossRef]
- Lyden, A.; Tuohy, P.G. Planning Level Sizing of Heat Pumps and Hot Water Tanks Incorporating Model Predictive Control and Future Electricity Tariffs. Energy 2022, 238, 121731. [Google Scholar] [CrossRef]
- Dongellini, M.; Naldi, C.; Morini, G.L. Influence of Sizing Strategy and Control Rules on the Energy Saving Potential of Heat Pump Hybrid Systems in a Residential Building. Energy Conversion and Management 2021, 235, 114022. [Google Scholar] [CrossRef]
- Bruno, R.; Bevilacqua, P.; Arcuri, N. Assessing Cooling Energy Demands with the EN ISO 52016-1 Quasi-Steady Approach in the Mediterranean Area. Journal of Building Engineering 2019, 24, 100740. [Google Scholar] [CrossRef]
- NSRDB Available online:. Available online: https://nsrdb.nrel.gov/ (accessed on 6 November 2023).
- McQuiston, F.C.; Parker, J.D.; Spitler, J.D.; Taherian, H. Heating, Ventilating, and Air Conditioning: Analysis and Design; John Wiley & Sons, 2023; ISBN 978-1-119-89416-2.
- Rana, S.; Jamil, U.; Asgari, N.; Hayibo, K.S.; Groza, J.; Pearce, J.M. Residential Sizing of Solar Photovoltaic Systems and Heat Pumps to Provide Net Zero Sustainable Electrical and Thermal Building Energy 2023.
- Knapstein, K. Below-Grade Insulation - Part 2: Preventing Heat Transfer Available online:. Available online: https://framebuildingnews.com/below-grade-insulation-part-2-preventing-heat-transfer/ (accessed on 12 February 2024).
- Horan, P.; Luther, M.B. Using the Psychrometric Chart in Building Measurements. In Proceedings of the Proceedings of the 44th Annual Conference of the Architectural Science Association, Auckland, New Zealand; pp. 20101–8.
- Heat Pump | GSZ16 | up to 16 SEER | 9.0 HSPF | Goodman Available online:. Available online: https://www.goodmanmfg.com/products/heat-pumps/16-seer-gsz16 (accessed on 8 January 2023).
- Li, S.; Gong, G.; Peng, J. Dynamic Coupling Method between Air-Source Heat Pumps and Buildings in China’s Hot-Summer/Cold-Winter Zone. Applied Energy 2019, 254, 113664. [Google Scholar] [CrossRef]
- Hayibo, K.S.; Pearce, J.M. Vertical Free-Swinging Photovoltaic Racking Energy Modeling: A Novel Approach to Agrivoltaics. Renewable Energy 2023, 218, 119343. [Google Scholar] [CrossRef]
- Hayibo, K.S.; Pearce, J.M. Vertical Free-Swinging Photovoltaic Racking Energy Modelling - Data and Performance Code. Open Science Framework 2023. [Google Scholar]
- Vandewetering, N.; Hayibo, K.S.; Pearce, J.M. Impacts of Location on Designs and Economics of DIY Low-Cost Fixed-Tilt Open Source Wood Solar Photovoltaic Racking. Designs 2022, 6, 41. [Google Scholar] [CrossRef]
- Ciocia, A.; Amato, A.; Di Leo, P.; Fichera, S.; Malgaroli, G.; Spertino, F.; Tzanova, S. Self-Consumption and Self-Sufficiency in Photovoltaic Systems: Effect of Grid Limitation and Storage Installation. Energies 2021, 14, 1591. [Google Scholar] [CrossRef]
- Zheng, Z.; Zhuang, Z.; Lian, Z.; Yu, Y. Study on Building Energy Load Prediction Based on Monitoring Data. Procedia Engineering 2017, 205, 716–723. [Google Scholar] [CrossRef]
- An, J.; Yan, D.; Hong, T. Clustering and Statistical Analyses of Air-Conditioning Intensity and Use Patterns in Residential Buildings. Energy and Buildings 2018, 174, 214–227. [Google Scholar] [CrossRef]
- Abbes, D.; Martinez, A.; Champenois, G. Life Cycle Cost, Embodied Energy and Loss of Power Supply Probability for the Optimal Design of Hybrid Power Systems. Mathematics and Computers in Simulation 2014, 98, 46–62. [Google Scholar] [CrossRef]
- Coppitters, D.; De Paepe, W.; Contino, F. Robust Design Optimization of a Photovoltaic-Battery-Heat Pump System with Thermal Storage under Aleatory and Epistemic Uncertainty. Energy 2021, 229, 120692. [Google Scholar] [CrossRef]
- Wolisz, H.; Schütz, T.; Blanke, T.; Hagenkamp, M.; Kohrn, M.; Wesseling, M.; Müller, D. Cost Optimal Sizing of Smart Buildings’ Energy System Components Considering Changing End-Consumer Electricity Markets. Energy 2017, 137, 715–728. [Google Scholar] [CrossRef]
- Liu, X.; Zhang, P.; Pimm, A.; Feng, D.; Zheng, M. Optimal Design and Operation of PV-Battery Systems Considering the Interdependency of Heat Pumps. Journal of Energy Storage 2019, 23, 526–536. [Google Scholar] [CrossRef]
- Duman, A.C.; Erden, H.S.; Gönül, Ö.; Güler, Ö. Optimal Sizing of PV-BESS Units for Home Energy Management System-Equipped Households Considering Day-Ahead Load Scheduling for Demand Response and Self-Consumption. Energy and Buildings 2022, 267, 112164. [Google Scholar] [CrossRef]
- Fioriti, D.; Pellegrino, L.; Lutzemberger, G.; Micolano, E.; Poli, D. Optimal Sizing of Residential Battery Systems with Multi-Year Dynamics and a Novel Rainflow-Based Model of Storage Degradation: An Extensive Italian Case Study. Electric Power Systems Research 2022, 203, 107675. [Google Scholar] [CrossRef]
- Cruz-Peragón, F.; Gómez-de La Cruz, F.J.; Palomar-Carnicero, J.M.; López-García, R. Optimal Design of a Hybrid Ground Source Heat Pump for an Official Building with Thermal Load Imbalance and Limited Space for the Ground Heat Exchanger. Renewable Energy 2022, 195, 381–394. [Google Scholar] [CrossRef]
- Government of Canada, C.E.R. CER – Provincial and Territorial Energy Profiles – Ontario Available online:. Available online: https://www.cer-rec.gc.ca/en/data-analysis/energy-markets/provincial-territorial-energy-profiles/provincial-territorial-energy-profiles-ontario.html (accessed on 28 November 2023).
- Household Energy Use and Greenhouse Gas Emissions Available online:. Available online: https://caroliniancanada.ca/article/household-energy-use-and-greenhouse-gas-emissions-20201125 (accessed on 28 November 2023).
- Melo, F.C.; Carrilho da Graça, G.; Oliveira Panão, M.J.N. A Review of Annual, Monthly, and Hourly Electricity Use in Buildings. Energy and Buildings 2023, 293, 113201. [Google Scholar] [CrossRef]





| Rated Capacity (BTU/hr) | COP Coefficients | |||
| 18000 | 3.202 | 0.0887 | 0.000386 | 99.55 |
| 24000 | 3.202 | 0.08879 | 0.000348 | 99.53 |
| 30000 | 3.232 | 0.09092 | -0.00048 | 99.11 |
| 36000 | 3.197 | 0.08875 | 0.000523 | 99.66 |
| 42000 | 3.093 | 0.0737 | 0.000217 | 99.44 |
| 48000 | 3.273 | 0.08474 | -0.00024 | 99.13 |
| 60000 | 2.967 | 0.07639 | 0.000272 | 99.43 |
| Radiative (%) | Convective (%) | |
|---|---|---|
| Wall, window | 63 | 37 |
| Roof | 84 | 16 |
| People | 70 | 30 |
| Lighting | 67 | 33 |
| Equipment | 20 | 80 |
| Window solar | 90 | 10 |
| Infiltration | 0 | 100 |
| Temperature | ||
|---|---|---|
| Solar heat gain | ||
| Conduction | ||
| Heat transfers due to infiltration | ||
| Radiant Time Series | ||










| Space area/perimeter | Direction | Bedroom | Bathroom | Kitchen and exit | Dining and living | Side space |
|---|---|---|---|---|---|---|
| Wall (m2) | North | 8.36 | 6.16 | 8.95 | - | 141.7 |
| West | 6.40 | - | - | - | - | |
| East | - | - | 10.60 | 5.57 | 26.60 | |
| South | - | - | - | 11.09 | 63 | |
| Window (m2) | North | 0.40 | 6.16 | 0.40 | - | - |
| West | 2.71 | - | - | - | - | |
| East | - | - | - | 2.74 | - | |
| South | - | - | - | 2.74 | - | |
| Roof (m2) | - | 15.78 | 7.82 | 20.86 | 27.97 | 139.40 |
| Door (m2) | North | - | - | 1.89 | - | - |
| South | - | - | - | 3.90 | - | |
| Floor slab (m) | - | 7.34 | 2.71 | 9.14 | 11.40 | 9.60 |
| Overall heat transfer coefficient | ||
|---|---|---|
| Conduction | ||
| Convection | ||
| Heat transfers due to infiltration | ||
| Temperature | ||
|---|---|---|
| Solar heat gain | ||
| Conduction | ||
| Heat transfers due to infiltration | ||
| Radiant Time Series | ||
| Radiative (%) | Convective (%) | |
|---|---|---|
| Wall, window | 63 | 37 |
| Roof | 84 | 16 |
| People | 70 | 30 |
| Lighting | 67 | 33 |
| Equipment | 20 | 80 |
| Window solar | 90 | 10 |
| Infiltration | 0 | 100 |
| COP/EER | SCOP/EER | |
| Heat pump | On Worst day | |
| Heating Mode | 2.06 | 3.14 |
| Cooling Mode | 4.42 | 5.06 |
| Parameters | Value |
|---|---|
| System Type | Residential |
| Total PV Capacity (kWp) | 6.88 |
| PV Module | SunPower SPR-M430-H-AC |
| Module DC Rating (Wp) | 429.6 |
| Number of Modules | 16 |
| DC/AC Ratio | 0.99 |
| Inverter Capacity (kW) | 7.21 |
| Number of Inverters | 1 |
| Number of Strings | 2 |
| Modules per Strings | 8 |
| Azimuth (°) | 180 |
| Tilt Angle (Optimal tilt angle in London ON) | 34 |
| DC Losses (%) (Default SAM values) [67] | 4.44 |
| Location | London ON |
| Parameters | Thermal Model Data | Gaussian Distribution Data |
|---|---|---|
| Estimated PV Rating (kW) | 6.85 | 6.85 |
| Real PV Rating (kW) | 6.88 | 6.88 |
| Load Demand (MWh) | 218.57 | 218.57 |
| PV Energy (MWh) | 221.03 | 221.03 |
| Energy to Grid (MWh) | 154.69 | 88.66 |
| Energy from Grid (MWh) | 152.22 | 86.19 |
| Self-Consumption (%) | 30.02 | 59.89 |
| Self-Sufficiency (%) | 30.06 | 60.56 |
Disclaimer/Publisher’s Note: The statements, opinions and data contained in all publications are solely those of the individual author(s) and contributor(s) and not of MDPI and/or the editor(s). MDPI and/or the editor(s) disclaim responsibility for any injury to people or property resulting from any ideas, methods, instructions or products referred to in the content. |
© 2024 by the authors. Licensee MDPI, Basel, Switzerland. This article is an open access article distributed under the terms and conditions of the Creative Commons Attribution (CC BY) license (http://creativecommons.org/licenses/by/4.0/).