Submitted:
01 May 2024
Posted:
02 May 2024
You are already at the latest version
Abstract
Keywords:
1. Introduction
2. Regional Vulnerability Assessment and Multicriteria Methods
- Step 1: We calculate the normalized decision matrix P with elements
- Step 2: We calculate the weight of each criterion using equations (1)–(3). Equation (1) represents entropy which, in information theory, is a measure of the amount of uncertainty presented by a discrete probability distribution:
- Step 3: We calculate the ideal () and anti-ideal () solution aswhere
- Step 4: We compute the weighted Euclidean distances between each alternative and , and between each alternative and aswhere
- Step 5: We calculate the relative proximity of each alternative to the ideal solution. The relative proximity of alternative with respect to is defined as
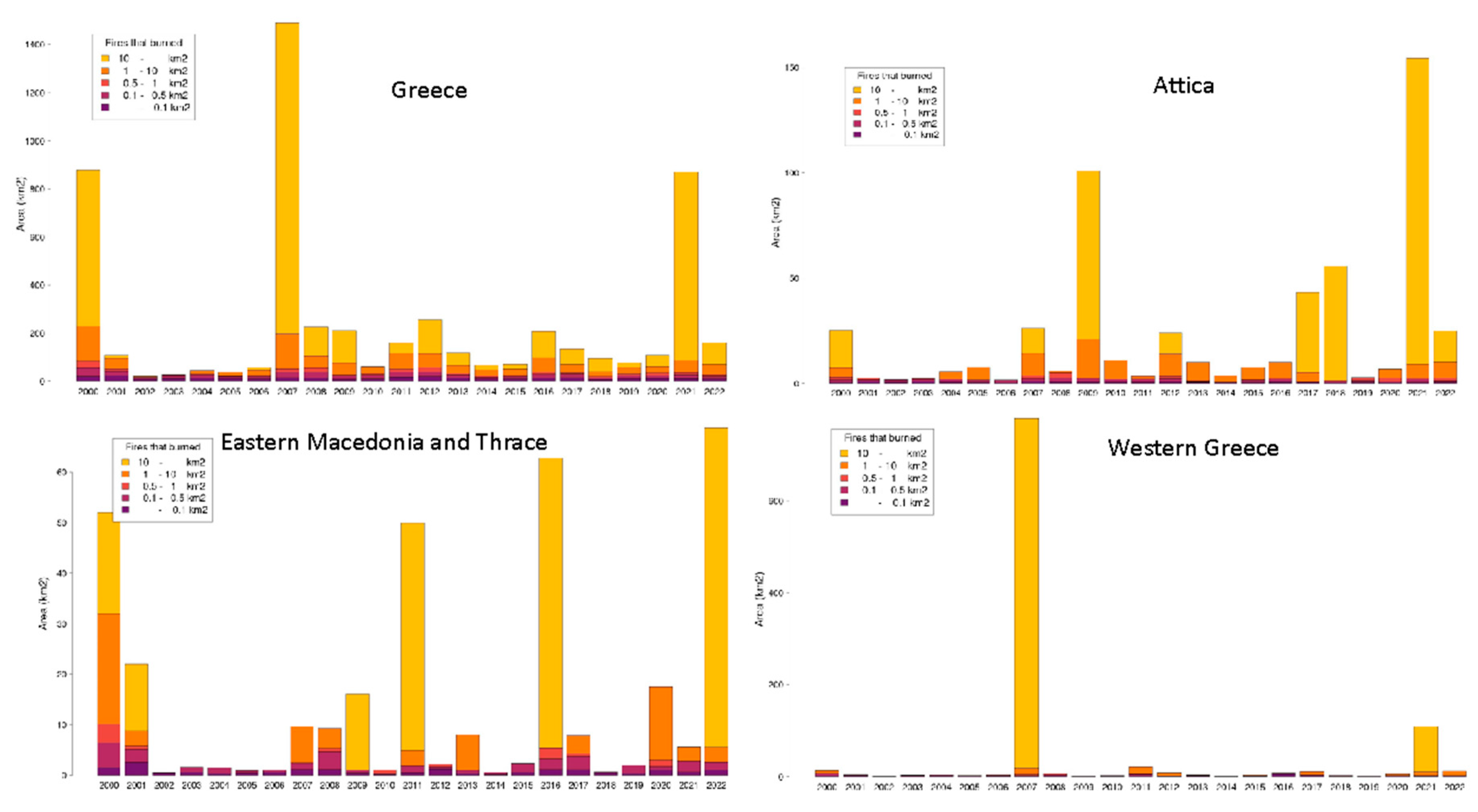
2.1. Regional Forest Fires in Greece
- the number of fires in each region that burned: between 10 and 50 hectares; between 50 and 100 hectares; between 100 and 1000 hectares; above 1000 hectares (four attributes),
- the total area burned for each category (four attributes), and
- the total area burned for the whole region9 (one attribute).
2.2. Vulnerability of Greek Regions to Forest Fires
- a.
- Unadjusted physical vulnerability, , and adjusted regional area physical vulnerability, . is the number of fires or the area burned in a given region, and is the same quantity divided by the area of the region. The former quantifies aggregate losses in ecosystem services, while the latter captures losses per regional unit area. Therefore, large regions are relatively less vulnerable in terms of this metric for a similar number of fires or area burned.
- b.
- Economic vulnerability, , defined per regional GDP and obtained by dividing the attribute by the GDP of the region. Regions with relatively higher GDP are less vulnerable in terms of this metric.
- c.
- Social vulnerability, , defined per inhabitant of the region and obtained by dividing the attribute by the population of the region.
- d.
- Socioeconomic vulnerability, , which is obtained by calculating the quantitywhere is the attribute – number of fires or area burned – for region ; is the per capita GDP for region ; is the per capita GDP for Greece; and is the elasticity of the marginal utility of income which reflects society’s aversion to income inequality. Higher values for indicate stronger societal preference for equal income distribution. Typical values for range from 1 to 3. The distributional coefficient indicates that regions with GDP per capita below the national average are relatively more vulnerable than regions with GDP per capita above the national average for the same ratio. For , vulnerability depends only on the relation between the attribute and the regional GDP per capita and is not affected by the relation between the regional GDP per capita and the overall GDP per capita of the country.
- e.
- Vulnerability with respect to regional population density, . Vulnerability per capita that reflects damages from forest fires per person might not provide the whole picture with respect to the effects of the wildfires. This is because, apart from provisioning services and some cultural services, important regulating and supporting services have public good characteristics and their loss affects most or even the whole regional population. Furthermore, the smoke from wildfires also has public good characteristics and in densely populated regions affects relatively more people and therefore generates higher aggregate damages.12 Thus, a region with high population density could experience relatively higher impacts compared to regions with low population density. is defined then as the attribute multiplied by the regional population density (inhabitants per km2).
- Attica, which is the smallest region in terms of area but the most heavily populated both in terms of absolute number and density and has the highest GDP per capita, is the most vulnerable region in terms of density, , and per unit area, . This exemplifies the public good aspect of damages from wildfires.
- Peloponnese is highly vulnerable in almost every vulnerability type except This indicates that the area-adjusted indices should be interpreted carefully. This is because although the region is vulnerable in most of the indices, it is not vulnerable in the area-adjusted, , because it is a large region.
- Central Greece shows a similar pattern to Peloponnese.
- Eastern Macedonia and Thrace shows higher socioeconomic vulnerability at high preferences for equal distribution (). This suggests that damages in this region disproportionally affect relatively poor communities.
- For Central Greece, the vulnerability of almost all types increased during the period 2011–2022 relative to the previous period.
3. Climate Change and Expected Forest Fires
3.1. Results
3.1.1. Greece
3.1.2. Greek Regions
4. Conclusions
Appendix A. The Regions of Greece

Appendix B. Area Burned and Number of Forest Fires in Greece

Appendix C. The Climate Simulations
| Simulation name | RCM | GCM |
| CNRM-CERFACS-CNRM-CM5_KNMI-RACMO22E | RACMO22E | CNRM-CM5 |
| ICHEC-EC-EARTH_CLMcom-CCLM4 | CLM4 | EC-Earth |
| ICHEC-EC-EARTH_DMI-HIRHAM5 | HIRHAM5 | EC-Earth |
| MOHC-HadGEM2-ES_KNMI-RACMO22E | RACMO22E | HadGEM2-ES |
| MOHC-HadGEM2-ES_SMHI-RCA4 | RCA4 | HadGEM2-ES |
| MPI-M-MPI-ESM-LR_MPI-CSC-REMO2009 | REMO2009 | MPI-ESM-LR |
| MPI-M-MPI-ESM-LR_SMHI-RCA4 | RCA4 | MPI-ESM-LR |
| 1 | For a general view of the impacts of fire on forests, see e.g., [6]. |
| 2 | For a general discussion of the value of ecosystem services, see for example, [15]. |
| 3 | Mediterranean forests are, in general, characterized by low timber productivity due to the climate and poor pasture production [16]. |
| 4 | The non-declining productive base consists of the sum of produced, human, and natural capital, valued at appropriate accounting prices. |
| 5 | For a detailed analysis of MCDM methods, see, e.g., [21,22]. |
| 6 | For a detailed description of the regions, see Appendix 1. |
| 7 | If an element of the normalization matrix is zero, then the corresponding term of the sum in the definition of will be zero since . |
| 8 | Graphs for the rest of the regions are presented in Appendix 2. |
| 9 | The total area burned for the whole region includes the small fires that burned between 0 and 0.1 km2. |
| 10 | The smoke from wildfires contains carbon dioxide and pollutants such as carbon monoxide, volatile organic compounds, hydrocarbons, nitrogen, and particulate matter including that which is smaller than 2.5 micrometers in diameter (PM2.5). |
| 11 | |
| 12 | The study of the diffusion of smoke from wildfires which could affect neighboring regions is beyond the scope of the present paper. |
| 13 | STATA was used for all the econometric estimations. For details of the methods used see [30]. |
References
- IPCC. Climate Change 2022: Impacts, Adaptation and Vulnerability. Working Group II Contribution to the IPCC Sixth Assessment Report, Pörtner, H.-O.; Roberts, D.C., Tignor, M., Poloczanska, E.S., Mintenbeck, K., Alegría, A., Craig, M., Langsdorf, S., Löschke, S., Möller, V., Okem, A., Rama, B., Eds.; Cambridge University Press: Cambridge, UK; New York, NY, USA, 2022. [Google Scholar]
- IPCC. Climate Change 2014: Synthesis Report. Contribution of Working Groups I, II and III to the Fifth Assessment Report of the Intergovernmental Panel on Climate Change, Core Writing Team, Pachauri, R.K.; Meyer, L.A., Ed.; IPCC: Geneva, Switzerland, 2014. [Google Scholar]
- Abatzoglou, J.T.; Williams, A.P.; Barbero, R. Global emergence of anthropogenic climate change in fire weather indices. Geophys. Res. Lett. 2019, 46, 326–336. [Google Scholar] [CrossRef]
- Jones, M.W.; Smith, A.; Betts, R.; Canadell, J.G.; Prentice, I.C.; Le Quéré, C. Climate change increases the risk of wildfires. ScienceBrief Review 2020, 116. [Google Scholar]
- 5. Pronto et al., 2023, Research for REGI Committee-Forest Fires of Summer 2022, European Parliament, Policy Department for Structural and Cohesion Policies, Brussels. Available online: https://www.europarl.europa.eu/RegData/etudes/STUD/2023/747280/IPOL_STU(2023)747280_EN.pdf (accessed 2 January 2024).
- Robinne, F.-N. Impacts of disasters on forests, in particular forest fires. UNFFS Background paper. 2021. Available online: https://www.un.org/esa/forests/wp-content/uploads/2021/08/UNFF16-Bkgd-paper-disasters-forest-fires_052021.pdf (accessed on 10 November 2021).
- Arianoutsou et al., 2023. Climate change and resilience of forest ecosystems. In Resilience of Forest Ecosystems of Greece to Climate Change; Committee for the Resilience of the Greek Forest Ecosystems to Climate Change (EADO); Arianoutsou, M.; Zerefos, C.; Kalabokidis, K.; Poupkou, A.; Aravanopoulos, F., Eds.; Academy of Athens, Athens, Greece, 2023.
- Kassomenos, P. Synoptic circulation control on wild fire occurrence. Phys. Chem. Earth, Parts A/B/C 2010, 35, 544–552. [Google Scholar] [CrossRef]
- Papadopoulos, A.; Paschalidou, A.K.; Kassomenos, P.A.; McGregor, G. Investigating the relationship of meteorological/climatological conditions and wildfires in Greece. Theor. Appl. Climatol. 2013, 112, 113–126. [Google Scholar] [CrossRef]
- Koutsias, N.; Xanthopoulos, G.; Founda, D.; Xystrakis, F.; Nioti, F.; Pleniou, M.; Mallinis, G.; Arianoutsou, M. On the relationships between forest fires and weather conditions in Greece from long-term national observations (1894–2010). Int. J. Wildland Fire 2012, 22, 493–507. [Google Scholar] [CrossRef]
- Sarris, D.; Christopoulou, A.; Angelonidi, E.; Koutsias, N.; Fulé, P.Z.; Arianoutsou, M. Increasing extremes of heat and drought associated with recent severe wildfires in southern Greece. Reg. Environ. Change 2014, 14, 1257–1268. [Google Scholar] [CrossRef]
- Millennium Ecosystem Assessment. Ecosystems and Human Well-being: Synthesis; Island Press: Washington, DC, USA, 2005. [Google Scholar]
- TEEB. The Economics of Ecosystems and Biodiversity. Ecological and Economic Foundations, Kumar, P., Ed.; Earthscan: London and Washington, 2010.
- De Groot, R.; Brander, L.; Solomonides, S. Ecosystem Services Valuation Database (ESVD) Version June 2020.
- Costanza, R.; De Groot, R.; Sutton, P.; Van der Ploeg, S.; Anderson, S.J.; Kubiszewski, I.; Farber, S.; Turner, R.K. Changes in the global value of ecosystem services. Glob. Environ. Change 2014, 26, 152–158. [Google Scholar] [CrossRef]
- Enríquez-de-Salamanca, Á. Valuation of ecosystem services: A source of financing Mediterranean loss-making forests. Small-scale For. 2023, 22, 167–192. [Google Scholar] [CrossRef]
- Xepapadeas, A. Cost-benefit analysis of the increase in the resilience of Forests. In Resilience of Forest Ecosystems of Greece to Climate Change; Committee for the Resilience of the Greek Forest Ecosystems to Climate Change (EADO); Arianoutsou, M.; Zerefos, C.; Kalabokidis, K.; Poupkou, A.; Aravanopoulos, F., Eds.; Academy of Athens, Athens, Greece, 2023.
- Arrow, K.J.; Dasgupta, P.; Goulder, L.H.; Mumford, K.J.; Oleson, K. Sustainability and the measurement of wealth. Environ. Dev. Econ. 2012, 17, 317–353. [Google Scholar] [CrossRef]
- Thomson, A.M.; Calvin, K.V.; Smith, S.J.; Page Kyle, G.; Volke, A.; Patel, P.; Delgado-Arias, S.; Bond-Lamberty, B.; Wise, M.A.; Clarke, L.E.; et al. RCP4.5: A pathway for stabilization of radiative forcing by 2100. Clim. Change 2011, 109, 77. [Google Scholar] [CrossRef]
- Riahi, K.; Rao, S.; Krey, V.; Cho, C.; Chirkov, V.; Fischer, G.; Kindermann, G.; Nakicenovic, N.; Rafaj, P. RCP 8.5—A scenario of comparatively high greenhouse gas emissions. Clim. Change 2011, 109, 33. [Google Scholar] [CrossRef]
- Triantaphyllou, E. Multi-criteria decision making methods. In Multi-criteria Decision Making Methods: A Comparative Study; Applied Optimization, vol. 44; Springer: Boston, MA, USA, 2000; pp. 5–21. [Google Scholar]
- Papathanasiou, J.; Ploskas, N. Multiple Criteria Decision Aid. Methods, Examples and Python Implementations; Springer Nature: Switzerland, 2018. [Google Scholar]
- Huang, J. Combining entropy weight and TOPSIS method for information system selection. 2008 IEEE Conference on Cybernetics and Intelligent Systems, 2008, pp. 1281–1284.
- Kim, Y.; Chung, E.S. Assessing climate change vulnerability with group multi-criteria decision making approaches. Clim. Change 2013, 121, 301–315. [Google Scholar] [CrossRef]
- Andersen, L.M.; Sugg, M.M. Geographic multi-criteria evaluation and validation: A case study of wildfire vulnerability in Western North Carolina, USA following the 2016 wildfires. Int. J. Disaster Risk Sci. 2019, 39, 101123. [Google Scholar] [CrossRef]
- Gould, C.F.; Heft-Neal, S.; Johnson, M.; Aguilera, J.; Burke, M.; Nadeau, K. Health effects of wildfire smoke exposure. Ann. Rev. Med. 2023, 75, 277–292. [Google Scholar] [CrossRef] [PubMed]
- Zhang, Y.; Workman, A.; Russell, M.A.; Williamson, M.; Pan, H.; Reifels, L. The long-term impact of bushfires on the mental health of Australians: A systematic review and meta-analysis. Eur. J. Psychotraumatol. 2022, 13, 2087980. [Google Scholar] [CrossRef] [PubMed]
- OECD. Cost-Benefit Analysis and the Environment: Further Developments and Policy Use; OECD Publishing: Paris, France, 2018. [Google Scholar]
- Im, U.; Brandt, J.; Geels, C.; Hansen, K.M.; Christensen, J.H.; Andersen, M.S.; Solazzo, E.; Kioutsioukis, I.; Alyuz, U.; Balzarini, A.; et al. Assessment and economic valuation of air pollution impacts on human health over Europe and the United States as calculated by a multi-model ensemble in the framework of AQMEII3. Atmos. Chem. Phys. 2018, 18, 5967–5989. [Google Scholar] [CrossRef] [PubMed]
- Cameron, A.C.; Trivedi, P.K. Microeconometrics using Stata, Vols. 1,2, 2nd ed.; Stata Press: College Station, TX, USA, 2022. [Google Scholar]
- Van Wagner, C.E. Development and structure of the Canadian Forest Fire Weather Index System. Canadian Forestry Service: Ottawa, Ontario, Canada. Canadian Forestry Technical Report 35, 1987.
- Stocks, B.J.; Lawson, B.D.; Alexander, M.E.; Wagner, C.V.; McAlpine, R.S.; Lynham, T.J.; Dube, D.E. The Canadian forest fire danger rating system: An overview. The Forestry Chronicle 1989, 65, 450–457. [Google Scholar] [CrossRef]
- Viegas, D.X.; Bovio, G.; Ferreira, A.; Nosenzo, A.; Sol, B. Comparative study of various methods of fire danger evaluation in southern Europe. Int. J. Wildland Fire 1999, 9, 235–246. [Google Scholar] [CrossRef]
- Moriondo, M.; Good, P.; Durao, R.; Bindi, M.; Giannakopoulos, C.; Corte-Real, J. Potential impact of climate change on fire risk in the Mediterranean area. Clim. Res. 2006, 31, 85–95. [Google Scholar] [CrossRef]
- Good, P.; Moriondo, M.; Giannakopoulos, C.; Bindi, M. The meteorological conditions associated with extreme fire risk in Italy and Greece: Relevance to climate model studies. Int. J. Wildland Fire 2008, 17, 155–165. [Google Scholar] [CrossRef]
- Rovithakis, A.; Grillakis, M.G.; Seiradakis, K.D.; Giannakopoulos, C.; Karali, A.; Field, R.D.; Lazaridis, M.; Voulgarakis, A. Future climate change impact on wildfire danger over the Mediterranean: The case of Greece. Environ. Res. Lett. 2022, 17, 045022. [Google Scholar] [CrossRef]
- Kapsomenakis, J.; Douvis, C.; Poupkou, A.; Zerefos, S.; Solomos, S.; Stavraka, T.; Melis, N.S.; Kyriakidis, E.; Kremlis, G.; Zerefos, C. Climate change threats to cultural and natural heritage UNESCO sites in the Mediterranean. Environ. Dev. Sustain. 2023, 25, 14519–14544. [Google Scholar] [CrossRef]
- Copernicus Climate Change Service, Climate Data Store. Fire danger indices historical data from the Copernicus Emergency Management Service. Copernicus Climate Change Service (C3S) Climate Data Store (CDS), 2019. [CrossRef]
- Hersbach, H.; Bell, B.; Berrisford, P.; Biavati, G.; Horányi, A.; Muñoz Sabater, J.; Nicolas, J.; Peubey, C.; Radu, R.; Rozum, I. ERA5 hourly data on pressure levels from 1940 to present; Copernicus Climate Change Service (C3S) Climate Data Store (CDS), 2023. [CrossRef]
- Long, J.S.; Freese, J. Regression Models for Categorical Dependent Variables using Stata, 3rd ed.; Stata Press, 2014.
- Hilbe, J.M. Negative Binomial Regression, 2nd ed.; Cambridge University Press: Cambridge, UK, 2011. [Google Scholar]
- Jacob, D.; Petersen, J.; Eggert, B.; Alias, A.; Bøssing Christensen, O.; Bouwer, L.M.; Braun, A.; Colette, A.; Déqué, M.; Georgievski, G.; et al. EURO-CORDEX: new high-resolution climate change projections for European impact research. Reg. Environ. Change 2014, 14, 563–578. [Google Scholar] [CrossRef]
- Schwalm, C.R.; Glendon, S.; Duffy, P.B. RCP8.5 tracks cumulative CO2 emissions. Proc. Natl Acad. Sci. U.S.A. 2020, 117, 19656–19657. [Google Scholar] [CrossRef] [PubMed]
- Wooldridge, J.M. Econometric Analysis of Cross Section and Panel Data, 2nd ed; The MIT Press: Cambridge, MA, USA, 2010. [Google Scholar]
- Kohler, U.; Kreuter, F. Data Analysis using Stata, 3rd ed.; Stata Press, 2012.





| Vulnerability attributes | … | |||||
| Weights | … | |||||
| Regions | ||||||
| … | ||||||
| … | ||||||
| … | … | … | … | … | … | |
| … | ||||||
![]() |
| Dependent variable | VP1 (BE) |
VP1 (PA) |
VSE , η=1 (PA) |
VSE , η=1 (RE)* |
|---|---|---|---|---|
| Constant | 0.1819487 | 0.1820646 | 0.7478916 | 0.7530574 |
| 0.03 | 0.0 | 0.010 | 0.0014 | |
| avg_dens | 0.0004962 | 0.0004953 | ||
| 0.013 | 0.01 | |||
| avg_gdp | −0.00003 | −0.0000303 | ||
| 0.108 | 0.124 | |||
| Wald χ2(1) | 8.68 | 10.22 | 2.58 | 2.36 |
| P > χ2 | 0.013 | 0.0014 | 0.1083 | 0.1241 |
| Fires/year that burned… | more than 100 ha | more than 50 ha | more than 10 ha | |||
|---|---|---|---|---|---|---|
| Days/year with… | FWI>30 | FWI>45 | FWI>30 | FWI>45 | FWI>30 | FWI>45 |
| Eastern Macedonia & Thrace | 0.322 | 0.270 | 0.365 | 0.259 | 0.370 | 0.222 |
| Central Macedonia | 0.594 | 0.506 | 0.653 | 0.710 | 0.681 | 0.686 |
| Western Macedonia | 0.292 | 0.606 | 0.344 | 0.622 | 0.374 | 0.509 |
| Epirus | 0.457 | 0.600 | 0.530 | 0.474 | 0.624 | 0.505 |
| Thessaly | 0.255 | 0.408 | 0.329 | 0.450 | 0.478 | 0.469 |
| North Aegean | 0.204 | 0.082 | 0.221 | 0.160 | 0.073 | 0.058 |
| South Aegean | 0.407 | 0.460 | 0.372 | 0.518 | 0.186 | 0.212 |
| Central Greece | 0.383 | 0.570 | 0.476 | 0.524 | 0.501 | 0.459 |
| Western Greece | 0.434 | 0.652 | 0.505 | 0.572 | 0.607 | 0.494 |
| Peloponnese | 0.594 | 0.563 | 0.690 | 0.688 | 0.736 | 0.741 |
| Ionian Islands | 0.208 | 0.068 | 0.414 | 0.061 | 0.375 | 0.308 |
| Crete | 0.024 | 0.173 | 0.061 | 0.232 | 0.240 | 0.364 |
| Attica | 0.329 | 0.413 | 0.510 | 0.620 | 0.342 | 0.491 |
| Greece | 0.561 | 0.772 | 0.652 | 0.709 | 0.686 | 0.552 |
| Variable | Mean | Std. dev. | Min | Max |
|---|---|---|---|---|
| N100 | 20.6 | 19.175 | 1 | 78 |
| N50 | 34.1 | 27.501 | 6 | 120 |
| N10 | 114.0 | 64.056 | 36 | 321 |
| tsum | 23.29 | 0.7067 | 22.24 | 25.014 |
| psum | 102.42 | 42.52 | 37.518 | 224.436 |
| tspr | 12.26 | 0.778 | 10.89 | 14.296 |
| pspr | 209.55 | 34.482 | 147.659 | 268.986 |
| Dependent variable | N10 (GPR) | N50(GPR) | N100(PR) |
|---|---|---|---|
| tsum | 0.2049 | 0.4941 | 0.2227 |
| 0.071 | 0.023 | 0.0 | |
| psum | −0.0065 | −0.006 | −0.0086 |
| 0.0 | 0.015 | 0.0 | |
| pspr | −0.0033 | −0.0023 | −0.0067 |
| 0.096 | 0.466 | 0.0 | |
| Constant | 1.2315 | −6.99 | |
| 0.659 | 0.187 | ||
| Wald χ2(3) | 35.92 | 17.48 | 4844.8 |
| Pseudo | 0.46 | 0.64 | 0.30 |
| MNF Est. | 105.4 | 30.3 | 18.1 |
| MNF data (Table 4) | 114 | 34.1 | 20.6 |
| 2031-2060 RCP 4.5 | 190.387 (67.01%) | 72.5404 (112.73%) | 39.6955 (92.7%) |
| 2071-2100 RCP 4.5 | 218.535 (91.7%) | 97.783 (186.75%) | 47.2403 (129.32%) |
| 2031-2060 RCP 8.5 | 210.161 (84.35%) | 89.9841 (163.88%) | 44.9298 (118.11%) |
| 2071-2100 RCP 8.5 | 394.921 (246.42%) | 344.548 (910.41%) | 95.4483 (363.34%) |
| Variable | Panel Data | |||
|---|---|---|---|---|
| Fixed effects1 13 Regions |
PA estimator2 13 Regions |
ZINB3 13 Regions |
Fixed effects1 9 Regions |
|
| tsum | 0.3839 | 0.0544 | 0.0537 | 0.5052 |
| 0.0 | 0.0 | 0.0 | 0.0 | |
| psum | −0.0071 | −0.0048 | −0.0045 | −0.0041 |
| 0.01 | 0.007 | 0.016 | 0.063 | |
| pspr | −0.0061 | −0.0027 | −0.0027 | −0.0061 |
| 0.0 | 0.003 | 0.05 | 0.001 | |
| Constant | −7.2102 | −9.9985 | ||
| 0.003 | 0.0 | |||
| Wald χ2(3) | 61.45 | 12.95 | 37.81 | 23.0 |
| 0.338 | ||||
| 0.049 | ||||
| MNF Est | 1.23 | 1.54 | 1.56 | 1.70 |
| MNF Data | 1.59 | 1.59 | 1.59 | 1.84 |
| 2031-2060 RCP4.5 | 1.846 (16.09%) | 1.73 (9.03%) | 1.74 (9.61%) | 2.6 (41.22%) |
| 2071-2100 RCP4.5 | 2.404 (51.18%) | 1.82 (14.4%) | 1.83 (14.95%) | 3.64 (97.95%) |
| 2031-2060 RCP8.5 | 2.231 (40.29%) | 1.79 (12.8%) | 1.80 (13.35%) | 3.31 (79.99%) |
| 2071-2100 RCP8.5 | 6.951 (337.162%) | 2.25 (41.31%) | 2.25 (41.28%) | 13.67 (643.17%) |
| Region | Attica | Central Greece | Central Macedonia | Crete | E. Macedonia & Thrace | North Aegean | Peloponnese | Western Greece | Western Macedonia |
|---|---|---|---|---|---|---|---|---|---|
| Est. Meth. | GPR | PR | PR | ZIPR | ZINB | ZIPR | PR | PR | ZINB |
| Dep. Var. | N100 | N100 | N50 | N50 | N50 | N50 | N100 | N50 | N50 |
| tsum | 0.4878 | 0.1242 | 0.6039 | 0.63524 | 0.04691 | 0.07767 | 0.16103 | 0.09753 | 0.152441 |
| 0.035 | 0.0 | 0.05 | 0.01 | 0.0 | 0.001 | 0.0 | 0.0 | 0.018 | |
| psum | −0.00956 | −0.01409 | −0.029586 | ||||||
| 0.02 | 0.0 | 0.040 | |||||||
| pspr | −0.00993 | −0.00404 | −0.0073 | −0.00687 | −0.01198 | −0.00998 | −0.00574 | ||
| 0.029 | 0.095 | 0.077 | 0.111 | 0.01 | 0.0 | 0.012 | |||
| Constant | −10.746 | −12.77 | |||||||
| 0.072 | 0.014 | ||||||||
| Wald | 8.92 | 210.4 | 23.28 | 12.3 | 274.52 | 61.58 | 6.31 | ||
| Prob > | 0.011 | 0.0 | 0.0 | 0.0021 | 0.0 | 0.0 | 0.047 | ||
| Pseudo | 0.11 | 0.16 | 0.14 | 0.10 | 0.19 | 0.20 | 0.07 | 0.49 | |
| LR | 11.57 | 15.44 | |||||||
| Prob > | 0.0031 | 0.001 | |||||||
| MNF Est. | 2.13 | 3.4 | 1.4 | 2.28 | 2.21 | 1.47 | 3.59 | 2.35 | 0.74 |
| MNF Smpl. | 1.91 | 3.8 | 1.6 | 2.04 | 2.09 | 1.13 | 4.21 | 2.48 | 1.3 |
| 2031-2060 RCP4.5 | 2.78 (45.73%) |
5.39 (41.82%) |
2.73 (70.45%) |
1.83 (-10.54%) |
3.08 (47.43%) |
1.303 (15.34%) |
5.98 (42.16%) |
2.42 (-2.46%) |
1.87 (43.54%) |
| 2071-2100 RCP4.5 | 4.02 (110.48%) |
6.08 (59.9%) |
4.1 (156.15%) |
2 (-1.95%) |
3.16 (51.29%) |
1.53 (35.56%) |
7.61 (80.93%) |
2.75 (11.08%) |
1.96 (50.84%) |
| 2031-2060 RCP8.5 | 3.71 (94.29%) |
6.04 (59.06%) |
3.48 (117.45%) |
1.97 (-3.61%) |
3.15 (50.58%) |
1.5 (32.52%) |
7.33 (74.1%) |
2.72 (9.61%) |
1.8 (38.23%) |
| 2071-2100 RCP8.5 | 12.82 (571.1%) | 9.5 (149.85%) | 18.47 (1054.61%) | 2.69 (31.93%) |
3.55 (69.79%) |
1.97 (74.13%) |
15.1 (258.65%) |
4.12 (66.18%) |
4.11 (216.5%) |
Disclaimer/Publisher’s Note: The statements, opinions and data contained in all publications are solely those of the individual author(s) and contributor(s) and not of MDPI and/or the editor(s). MDPI and/or the editor(s) disclaim responsibility for any injury to people or property resulting from any ideas, methods, instructions or products referred to in the content. |
© 2024 by the authors. Licensee MDPI, Basel, Switzerland. This article is an open access article distributed under the terms and conditions of the Creative Commons Attribution (CC BY) license (http://creativecommons.org/licenses/by/4.0/).

